Serviços Personalizados
Journal
Artigo
Links relacionados
Compartilhar
Agrociencia (Uruguay)
versão impressa ISSN 1510-0839versão On-line ISSN 2301-1548
Agrociencia Uruguay vol.16 no.2 Montevideo dez. 2012
Soluble Carbohydrates in Onion Cultivars Stored on Field Conditions in the South West of Negro River, Argentina
Abrameto Mariza A.1, 2, Gil María I.2, Pozzo Ardizzi María Cristina2, Ashckar Gabriela M.2, Avilés Lucrecia2, Van Konijnenburg Adriana3, Pellejero Graciela 2
1 Universidad Nacional de Río Negro. Don Bosco y Avenida Leloir, (8500) Viedma, RN, Argentina. Correo electrónico: mabrameto@unrn.edu.ar
2Universidad Nacional del Comahue. Ayacucho y Esandi, (8500) Viedma, RN, Argentina.
3 Instituto Nacional de Tecnología Agropecuaria (INTA) Ruta Nacional 3, km 971 (8500) Viedma, RN, Argentina.
Recibido: 23/11/10 Aceptado: 24/8/11
Summary
Concentrations of soluble carbohydrates were analysed during storage in three onion cultivars (Allium cepa L.): Valcatorce INTA, Grano Oro (both with brown skin) and Antartica INTA (with white skin). These cultivars are produced in the Low Valley Negro River, to internal and external market. Carbohydrates were assessed by Gas Chromatography with Flame Ionization Detector (GC-FID), based in methanol-water extraction 80%. The ANOVA revealed highly significant difference (P<0.001) between cultivars and glucose, fructose, and total carbohydrates. Total sugar compositions throughout storage have scarcely increased after eight weeks and varied within cultivars (P < 0.05). The ratio monosaccharide to disaccharide had a significant cultivar effect (P < 0.001), and over twelve weeks of storage was monosaccharide domineering. Valcatorce INTA had the higest ratio (17.5-13.2); Grano Oro intermediate (12.1-10.9), and Antartica INTA the lowest (4.7-3.5). There was a peak of sucrose level that would be announcing the onset of sprouting four weeks post harvest, which was significantly different for Valcatorce and Antártica (Tukey test P<0.05), and was not significantly different for Grano Oro. These results are evidence of quantitative differences of sugars, due mainly to genetic factors. The implications of quality and storability are discussed.
Key words: ALLIUM CEPA L, REDUCING SUGARS, SUCROSE, POST HARVEST
Resumen
Carbohidratos solubles en cultivares de cebolla, almacenados en condiciones de campo en el suroeste del Río Negro, Argentina
Las concentraciones de carbohidratos solubles se analizaron durante el almacenamiento en tres cultivares de cebolla (Allium cepa L): Valcatorce INTA y Grano Oro ambas con catáfilas de protección cobrizas, y Antártica INTA, con catáfilas de protección blancas. Estos cultivares son producidos en el Valle Inferior del río Negro, tanto para el mercado externo como para el interno. Los carbohidratos fueron determinados por Cromatografía Gaseosa con Detector por Ionización de Llama (GC-FID), basado en una extracción metanol:agua 80%. El ANOVA reveló diferencias altamente significativas (P<0,001) entre cultivares, glucosa, fructosa, y carbohidratos totales. La composición de azúcares totales a través del almacenamiento apenas se incrementó después de ocho semanas y varió con los cultivares (P<0,05). La razón de monosacáridos a disacáridos tuvo un significativo efecto de cultivar (P<0,001) y fue mono sacárido dominante sobre las doce semanas del almacenamiento. La razón más alta fue para Valcatorce INTA (17,5-13,2); intermedia para Grano ORO (12,1-10,9), y baja para Antártica INTA (4,7-3,5). Hubo un pico en el nivel de sacarosa que estaría anunciando el rebrote a las cuatro semanas post cosecha, que fue significativamente diferente para Valcatorce y Antártica (Tukey test P<0,05) y no significativo para Grano ORO. Estos resultados son evidencia de diferencias cuantitativas de azúcares debido principalmente a factores genéticos. Se discuten inferencias entre calidad y almacenabilidad
Palabras clave: ALLIUM CEPA L, AZÚCARES REDUCTORES, SACAROSA, POST COSECHA
Introduction
Onion production in Argentina is oriented to internal and external market; Brasil and Europe are the main markets for exported onions. Valcatorce INTA is a long day cultivar, which represents 67% of total acreage. In order to obtain more competitive products it is necessary to increase the regional yields, optimize postharvest storage-which is made on piles on field-and reduce the incidence of diseases produced by fungus infection.
The Low Valley Negro River is a semiarid region. Its proximity to the Atlantic Ocean and Negro River moderates thermal values. In this region Pozzo Ardizzi et al. (2005a) found quadratic correlation between total carbohydrates content from national cultivars and the pathogen incidences (R2> 0.7). The total carbohydrates content in marketable onion bulbs was measured colorimetrically by the phenol sulphuric acid method on fresh tissues (Pozzo Ardizzi et al., 2005b): the incidence rates were lowest (35-40%) for Valuno INTA, Antartica INTA and Navideña INTA cultivars, and the highest (70-80%) for Cobriza and Valcatorce INTA.
Fructose, glucose, sucrose and fructans (degrees of polymerization 3-15) have been the only non-structural carbohydrates found in onion bulb tissues (Darbyshire and Henry, 1981) and can contribute up to 65% or more of dry weight. Research to date has reported on temporal changes in carbohydrate composition in onion bulbs during development or storage (Kahane et al., 2001; Kaack et al., 2004).
Benkeblia and Shiomi (2004), Benkeblia et al. (2004a) and Susuki and Cutcliffe (1989) had similar changes along time in carbohydrate composition in controlled conditions.
However, the relationship between variations of sugar from national cultivar storage in natural conditions has not yet been researched. Different methods have been developed to quantify soluble sugars (Abrameto et al., 2010). Discrepancies between each tested cultivar demonstrated that the monosaccharide to disaccharides ratio is affected by the extractive method applied (Davies et al., 2007).
The aim of this study was to research composition changes on non structural carbohydrates produced during storage on field condition, from moderate to high pungency onion Argentine cultivars, with emphasis on the identification of biochemical signals for the end of dormancy.
Materials and Methods
Plant Material
This work was carried out with Argentine cultivars, Valcatorce INTA, Grano ORO and Antartica INTA, cultivated in Low Valley Negro River area, right margin of Negro River, Argentina, obtained from a local farmer (Figure 1).
The statistical design was completely randomly balanced. The treatments were taken random at each experimental unit, out of ten onions bulbs, with four replications for each cultivar.
The design used was complete blocks at random, with four repetitions. Every experimental unit was composed by five rows 10 m long, with two lines of sowing. The conservation method was conventional by the construction of piles. The bulbs freshly harvested on March 2007 were placed on piles or trojas on the field, built with leaves and roots. The piles were maintained on the field at environmental conditions until onions were packed in commercial plastic-net bags.
Bulbs were analysed at harvest, four, eight and 12 weeks in storage. They were harvested in nylon bags of 50 kg of weight. All the subsequent analyses were conducted on 10 bulb composite samples with four replications by each cultivar.
The bulbs were prepared by dry scales removing and then individual quarters of the top of the bulb, included outer and inner scales. They were stored in plastic bags briefly at -40 ºC before being lyophilized in a HETO Dry winner DW3 and returned to the freezer until their use. The weather information (Table 1) was taken from records of the DAVIS Meteorological Automatic Station (Experimental Station Low Valley INTA, Rio Negro Province).
Soluble Sugars Analysis
The modified procedure of Chapman and Horvat (1989) capillary Gas Chromatography analysis of major sugar from onion extracts has been used. Lyophilized tissue composite samples (30 mg) were extracted by 24 hours with methanol:water 80% (v/v). Next, 1 ml of supernatant was put into micro centrifuge tubs and freezer stored until analysis.
Volumes of 35 µL sugar extract were evaporated to dryness using nitrogen gas flow by 60 minutes.
After oximation all sample extracts and standards were added 25 µL of Hydroxyl amine-HCl in pyridine (25 mg Hydroxyl amine-HCl to 1 ml of pyridine), the vials were treated with 70µL of BSTFA+1%TMCS (N,O-bis (trimethylsilyl) trifluoroacetamide and trimethyl chlorosilane through the vial septum to TMS derivatization. All the chemical reagents used were Fluka®.
Measurement of the oxime-TMS sugar was carried out with a Perkin Elmer Auto System XL chromatograph with Flame Ionization Detector (FID) and equipped with an J & W, Scientific, Folsom, Ca, USA capillary column (30 m long x 0.32 mm (ID), 0.25 µm film thickness). The injector was kept at 250 ºC and operated in split less mode. The injection volume was 1.0 µL. Nitrogen was employed as a carrier gas at a constant flow rate of 1.7 ml min-1.
The Gas Chromatograph oven was programmed from 150 ºC and held 30 seconds, to 180 ºC at 4 ºC min-1, to 193 ºC at 1 ºC min-1 and held 30 seconds, to 280 ºC at 7 ºC min-1 and held at 280 ºC for 10 minutes.
The individual sugar was identified by comparing the retention time with compounds that had gone through the same procedure. Quantification of sugars was performed by internal standard procedure using Phenyl-b-D-glucopyranoside (2.2 g was added as internal standard, and diluted in 800 ml methanol with 200 ml High Performance Liquid Chromatography grade water).
The Statistical Analysis
The statistical tests used were the 2-way ANOVA to study the effect of two factors: cultivars and post harvest storage time on sugar concentration. ANOVA comparisons between post-harvest storage times are made assuming independence between observations along time. The Tukey Test was also used for mean comparison (Walpole and Myers, 1992).
Results and Discussion
During the post harvest period, during May and June, the conservation was made to mean temperatures 15.7 to 7.8 °C. Thermal values means were similar to their historical averages. There were a major number of days with intense frosts in relation to previous years. From April to June, climate was extremely dry, being the rainfall in June just 8% of the historical average (Table 1).
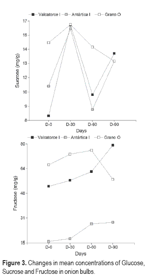
The Chapman and Horvat method applied to analysis of sugars, originated for determining sugar from fruits and sweet potatoes, has several advantages, specially its extractive solvents. Although in the methanol-water 80% system the polarity index (6.12) is comparable to the one obtained by Viola and Davies (1992) ethanol-water 80% method (6.20), the first system was choosen. The ternary mix of sugar, fructose and glucose is about 1.3-2 times more soluble, and sucrose is 1.6-3 times more soluble in a water-methanol mix than in water-ethanol mix (Macedo and Peres, 2001) (Figure 2).These cultivars have been previously characterized as low to high soluble solids (SS) and moderate to high pungency (Abrameto et al., 2010). The results of the ANOVAs determine if there was a significant difference in total carbohydrates and reducing sugars (i.e. fructose and glucose) to sucrose ratio in the three cultivars at different post harvest days and storage at field conditions (Table 2).
Evidences of differences in the mean sugar content between cultivars were detected. Only sucrose showed highly significant differences (P<0.0001) to several dates post harvest. There was evidence of interaction between glucose, sucrose and total carbohydrate concentrations and evaluation time.
During this study, there was little increase in mean sugar compositions throughout storage and there was variation between cultivars (Table 3).
Glucose content increased in Grano Oro and Valcatorce, but this increment was significantly different only to Valcatorce INTA at the end of storage. Four weeks after harvest, there was a peak of sucrose concentration in all tested cultivars. The differences were not significant to Grano Oro (Table 3).
The ratio of monosaccharide to disaccharide varied from harvest to 12 weeks of storage between 4.7-3.5 cultivar Antartica INTA, 12.1-10.9 Grano Oro and Valcatorce INTA 17.5-13.2. Towards the end of storage, this ratio showed a tendency to increase; better explained by the observed decrease in sucrose than because of glucose increase.
The concentrations of non structural carbohydrates reported in this work were within the range of the low levels of glucose, fructose and sucrose previously found (Table 4). Fructose and glucose were the most abundant carbohydrates in cultivars Valcatorce INTA, Grano Oro, Antártica INTA (Figure 3), as found also for cultivar Hysam by Jaime et al. (2000). In contrast, in cultivar Shakespeare sucrose was the most abundant (Terry et al., 2005; Davis et al., 2007) (Figure 4).
Benkeblia et al. (2004b; 2005b) has suggested that an increments in sucrose concentration acts as a trigger for release from dormancy and the onset of sprouting. All energy and nutrients required by the growing sprout in a stored onion must be sourced from within the bulb. A decrease in carbon reserves should be expected to occur at the time with an increase in sprout growth (Chope et al., 2007) .
From these experiments found evidences that supports these hypothesis. After four weeks; with mean temperature of 9.7 °C; sucrose concentration increased and then decreased to the end of storage period to cultivars Antartica INTA and Valcatorce INTA (Table 3).
There was a decrease in sucrose concentration between days 39 and 81during storage at 12 ºC in cultivar SS1 whereas Renata and Red Baron sucrose concentration increased between days 0 to 26, and remained stable in cultivar Red Baron (Chope et al., 2007).
Benkeblia and Shiomi (2004) and Benkeblia et al. (2005a) have reported for cold treated bulbs (kept at 0 °C in the dark during four weeks and then transferred in dark to 20 ºC), soluble sugars increased from 15 to 19 mg g-1 FW (time of sprouting). Afterwards, soluble sugars decreased to 5-7 mg g-1. After four weeks for Grano Oro, and eight weeks for Valcatorce INTA and Antartica INTA, we observed these peaks in experimental environmental condition of storage (Table 1). This variability shows the breakage of bulb dormancy (Table 3), confirmed by interaction cultivar and storage time (Table 2) (Coolong et al., 2008).
The results of the current study show that differences in sugar composition are due mainly to genetic factors. The ratio monosaccharide to disaccharide sugars was significantly different between cultivars.
There was no change in the ratio of monosaccharide to disaccharide during the storage although the mean temperature diminished between 15.7 to 7.8 ºC
Changes in sucrose metabolism will be associated to growing sprout. These events suggest that the catabolism of sucrose is influenced by the physiological state independently of the environmental conditions in which the conservation of bulbs is made.
Acknowledgements
We would like to thank Dr. Timothy W. Coolong and Dr. William M. Randle from Horticulture Department, Georgia University, US, for the technical support (2006). Financial support was provided by National Institute of Agricultural Technology and National Comahue University, Neuquén Argentina.
References
Abrameto MA, Pozzo Ardizzi MC, Gil MI, Molina LM. 2010. Analysis of methodologies for the study of composition and biochemical carbohydrates changes in harvest and post harvest onion bulbs. Phyton International Journal of Experimental Botany, 79: 123 - 132.
Benkeblia N, Ueno K, Onodera S, Shiomi N. 2005a. Variation of fructo-oligosaccharides and their metabolizing enzymes in onion bulb (Allium cepa L. cv Tenshin) during long term storage. Journal of Food Science, 70(3): 208 - 214.
Benkeblia N, Onodera S, Shiomi N. 2005b. Variation in 1-fructo-exohydrolase (1-FEH) and 1-kestose-hydrolysing (1-KH) activities and fructo-oligosaccharide (FOS) status in onion bulbs. Influence of temperature and storage time. Journal of the Science of Food and Agriculture, 85: 227 - 234.
Benkeblia N, Shiomi N. 2004. Chilling effect on soluble sugar, respiration rate, total phenolics, peroxidase activity and dormancy of onion bulbs. Scientia Agricola, 61(3): 281 - 285.
Benkeblia N, Onodera A, Shiomi N. 2004a. Effect of gamma irradiation and temperature on fructans (fructo-oligosaccharides) of stored onion bulbs Allium cepa L. Food Chemistry, 87: 377 - 382.
Benkeblia N, Onodera S, Yoshihira T, Kosaka S, Shiomi N. 2004b. Effect of temperature on soluble invertase activity, and glucose, fructose and sucrose status of onion bulbs (Allium cepa) in store. International Journal of Food Sciences and Nutrition, 55(4): 325 – 331.
Chapman G, Horvat R. 1989. Determination of Non-volatile Acids and sugar from fruits and sweet potato extracts by capillary GLC and GLC/MS. Journal of Agricultural and Food Chemistry, 37: 947 – 950.
Chope GA, Terry L, White P. 2007. Preharvest application of exogenous abscisic acid (ABA) or an ABA analogue does not affect endogenous ABA concentration of onion bulbs. Plant Growth Regulation, 52: 117 – 129.
Coolong T, Randle W, Wicker L. 2008. Structural and chemical differences in the cell wall regions in relation to scale firmness of three onion (Allium cepa L.) selections at harvest and during storage. Journal of the Science of Food and Agriculture, 88: 1277 – 1286.
Darbyshire B, Henry RJ. 1981. Differences in Fructan content and synthesis in some Allium species. The New Phytologist, 87: 249 – 256.
Davis F, Terry LA, Chope GA, Faul CFJ. 2007. Effect of Extraction Procedure on Measured Sugar Concentrations in Onion (Allium cepa L.) Bulbs. Journal of Agricultural and Food Chemistry, 55: 4299 – 4306.
Jaime L, Martinez F, Martin Cabrejas M, Molla E, Lopez Andreu F, Waldron K, Esteban R. 2000. Study of total fructan and fructooligosaccharide content in different onion tissues. Journal of the science of Food and Agriculture, 81: 177 - 182.
Kaack K, Christensen LP, Hansen SL, Grevsen K. 2004. Non-structural carbohydrates in processed soft fried onion (Allium cepa L.). European Food Research and Technology, 218(4): 1 – 20.
Kahane R, Vialleguerin E, Boukema I, Tzanoudakis D, Bellamy C, Chamaux C, Kik C. 2001. Changes in non structural carbohydrate composition during bulbing in sweet and high-solid onions in field experiments. Environmental and Experimental Botany, 45: 73 – 83.
Macedo EA, Peres AM. 2001. Thermodynamics of ternary mixtures containing sugar. SLD of d-fructose in pure and mixed solvents: Comparison between modified uniquac and modified unifac. Industrial and Engineering Chemistry Research, 40: 4633 – 4640.
Pozzo Ardizzi MC, Abrameto MA, Pellejero G, Aschkar G, Gil MI, Van Konijnemburg A. 2005a. Relación entre el contenido de azúcares totales en bulbos de cebolla (Allium cepa L) y la Incidencia de Aspergillus niger en postcosecha en el Valle Inferior del río Negro. In: Libro de resúmenes XXVIII : Congreso Argentino de Horticultura. General Roca : ASAHO. pp. 1 – 408.
Pozzo Ardizzi MC, Abrameto MA, Pellejero G, Aschkar G, Gil M, Van Konijnemburg A. 2005b. Efecto del período de conservación sobre algunas propiedades nutracéuticas y organolépticas en los bulbos de cultivares nacionales de cebollas (Allium cepa L.) en el valle Inferior del río Negro. Revista de Investigaciones Agropecuarias, 34(3): 115 - 130.
Suzuki M, Cutcliffe JA. 1989. Fructans in onions bulbs in relation to storage life. Canadian Journal of Plant Science, 69: 1327 - 1333.
Terry L, Law KA, Hipwood KJ, Bellamy PH. 2005. Non-structural carbohydrate Profiles in Onion Bulbs Influence Taste Preference [On line]. In: Information and Technology for Sustainable Fruit and Vegetable Production. FRUTIC 05; 12 - 16 September 2005; Montpellier, France. Montpellier: Cemagref. pp. 33 - 40. Cited: October 31st 2012. Available from. http://www.symposcience.fr/exl-doc/colloque/ART-00001575.pdf.
Viola R, Davies HV. 1992. A micro plate reader assay for rapid enzymatic quantification of sugars in potatoes tubers. Potato Research, 35: 55 – 58.
Walpole RE, Myers RH. 1992. Probability and statistics. 4th ed. Mexico : McGraw Hill Interamericana. 797 p.













