1. Introduction
Citrus tristeza virus (CTV) is a major pathogen affecting citrus crops, responsible for the death of millions of citrus plants worldwide in the mid-20th century and still limiting citrus production in certain regions (1)(2) . CTV belongs to the genus Closterovirus (family Closteroviridae), and possesses a single-stranded, positive-sense RNA genome3. It is a phloem-limited pathogen of Rutaceae family, mainly of the genus Citrus. Infected plants may remain asymptomatic or exhibit a wide range of symptoms, depending on the CTV genotype isolate, rootstock/cultivar combination, and environmental conditions1. CTV induces three major syndromes: quick decline, stem pitting, and seedling yellows2.
Disease management strategies include the use of certified nurse plant, cross-protection programs, and use of tristeza-tolerant rootstocks (1)(4) 5. In Uruguay, as in other citrus growing areas where CTV is endemic, a high proportion of citrus plants are grafted onto P. trifoliata and its hybrids, which confer resistance to CTV decline1. However, isolates capable of replicating and systemically infecting trifoliate rootstocks have been identified (6)(7) 8) and classified as resistance-breaking (RB) strains. Although numerous RB isolates have been reported worldwide (9)(10) 11)(12) , limited information is available regarding the physiological response of P. trifoliata and grafted scions to RB infection.
Viruses often affect structural and biochemical processes involved in the photosynthetic pathway, disrupting chloroplast function, altering enzyme activity, and affecting carbohydrate metabolism and transport (13)(14) , giving rise to an increase in reactive oxygen species (ROS) production, cellular damage, and symptoms such as leaf chlorosis, impaired growth or even plant death (15)(16) 17. In this infection process, numerous host metabolic responses are triggered and enzymatic and non-enzymatic defense mechanisms can be activated. In Citrus, some of these mechanisms have been reported, such as synthesis of antioxidant enzymes (i.e. ascorbate peroxidase, catalase, among others (17)(18) ), pathogen-related proteins19 or the activation of the xanthophyll cycle20.
CTV induces a wide range of physiological and biochemical responses in its hosts15. A reduction in photosynthetic activity, and changes in gene expression and protein profile have been reported in Mexican lime (Citrus aurantifolia), regardless of the severity of the isolate21. Activation of defense mechanisms has been observed, with non-enzymatic (total flavonoids, ascorbic acid, phenolic acid) and enzymatic antioxidants (catalase, superoxide dismutase and peroxidase) showing increased activity16. However, despite these responses, oxidative damage has also been observed21.
The objective of this study was to evaluate the physiological response of P. trifoliata to infection with an RB isolate and to determine its effect on grafted scions. To achieve this, two model species were used: navel orange (Citrus sinensis) and Mexican lime (Citrus aurantifolia). The findings of this study provide valuable insights into the use of P. trifoliata in citrus-growing regions where CTV is endemic and RB strains have been reported.
2. Materials and Methods
2.1 Virus isolate, plant material, and experimental conditions
The isolate RB-UY1 was obtained from a CTV field isolate in Uruguay. Its RB phenotype was confirmed by inoculation and multiplication in P. trifoliata11 and its genome was then sequenced by the Sanger method (GenBank accession number OP448604). RB-UY1 was maintained on P. trifoliata seedlings in an insect-proof greenhouse according to standard procedures22.
The physiological response induced by the RB-UY1 isolate was evaluated in three plants model: a) P. trifoliata seedlings; b) Mexican lime (ML; Citrus aurantifolia) grafted onto P. trifoliata; and c) Navel orange (N; Citrus sinensis) grafted onto P. trifoliata. Five plants of each combination were inoculated with RB-UY1 isolate, while another set (five plants) of uninoculated combinations remained as control.
CTV infection was confirmed by real-time RT-PCR according to the protocol described by Bertolini and others23. The experiment was conducted in an insect-proof and temperature-controlled greenhouse (18-24 °C), for 4 years. The plants were kept in 5L pots and the substrate consisted of a mixture of peat and sand. Irrigation and fertilization were carried out according to standard horticultural practices, and the plants were pruned at the same size, once a year, in autumn. Rootstocks were guided to form a single main branch, while the scions were guided to three branches. All plants were placed randomly on the same table, inside the greenhouse.
All measurements were carried out at the same time, every six months, except when some treatments did not have sufficient foliage (example P. trifoliata), or for gas exchange parameters, which were measured one time a year.
2.2 Plant growth parameters and CTV symptoms
The length of each branch was measured from the base of the plant to its highest point, and the average height per plant was calculated. For stem diameter determination, measurements were taken at 10 cm above the ground. Leaf area was determined in five randomly selected leaves per plant, and analyzed using a LI-3100 leaf area meter (LICOR, USA). All growth parameters measurements were recorded per plant, and the average for each treatment was subsequently calculated. The presence of CTV visible symptoms such as vein clearing, leaf cupping, vein corking, stunting, and their severity were scored according to Garnsey and others24; also, stem pitting was evaluated at the end of experiment.
2.3 Chlorophyll fluorescence parameters
Leaf fluorescence parameters were assessed using an OS5p portable fluorometer (Opti-Sciences, USA) in all plants of each treatment, using three mature leaves per plant randomly selected. Chlorophyll fluorescence parameter Fv/Fm, which represents the maximum efficiency of photosystem II (PSII) photochemistry, was determined following the procedures of van Kooten and Snell25, using a modulated light pulse emission after a dark period of 30 min. Quantum yield (ΦPSII) was measured in the same leaves after actinic light adaptation. Other variables such as minimum fluorescence (Fo), maximum fluorescence (Fm), maximum fluorescence under regular PAR (Fm'), and non-photochemical quenching (NPQ) were analyzed to determine possible changes in different photosynthetic stages. Calculations and terminology were applied as in Kramer and others26.
2.4 Chlorophyll index
Leaf chlorophyll content was determined using a Chlorophyll Meter SPAD 502 DLPlus (Spectrum Technologies, USA). Measurements were taken on three mature leaves, from all plants in each treatment.
2.5 Gas exchange parameters
Leaf gas exchange parameters were measured with a CIRAS-3 portable gas analyzer (PP Systems, USA) under ambient CO2 and humidity. Supplemental light was provided by a PAR lamp with a photon flux density of 1200 µmol m-2 s-1, and air flow was set at 300 µmol s-1. Measurements were taken on three mature leaves from all plants in each treatment. Net CO2 assimilation rate (A; µmol m-2s-1), ratio of intracellular to ambient CO2 concentration (Ci/Ca), stomatal conductance (gs; mol m-2 s-1), and transpiration rate (E) were evaluated. Leaf-to-air vapor pressure difference was calculated from cuvette air temperature, relative humidity, and cuvette TL, assuming that leaf water was saturated at TL. Ci/Ca was calculated from leaf internal CO2 partial pressure (Ci).
2.6 Determination of malondialdehyde, hydrogen peroxide, and superoxide radicals in plant tissues
The concentration of malondialdehyde (MDA) was determined following the method described by Dhindsa and Matowe27. In this procedure, leaf tissue (250mg) was ground using liquid nitrogen and homogenized in 0.1% trichloroacetic acid (TCA; Merck KGaA), filtered, and maintained on ice. The reaction was initiated by adding an equal volume of 0.1% thiobarbituric acid (TBA; Merck KGaA) prepared in 20% TCA. The mixture was then incubated at 95 °C for 30 minutes, followed by rapid cooling on ice and centrifugation. The supernatant was analyzed by spectrophotometry at 440, 534, and 600 nm, and the MDA concentration was calculated according to the formula proposed by the original authors.
To evaluate oxidative stress, the accumulation of hydrogen peroxide (H₂O₂) and superoxide radicals (O₂-) was assessed through histological staining, based on the methodology of Ramel and others28, with slight modifications. The presence of O₂- was detected using thiazolyl blue tetrazolium bromide (MTT; Sigma, St. Louis), whereas H₂O2 accumulation was visualized using 3,3'-diaminobenzidine (DAB; Sigma, St. Louis) staining. In both cases, leaf discs were incubated in the respective staining solutions for four hours in the dark. After incubation, the samples were subjected to a bleaching process in a mixture of acetic acid, glycerol, and ethanol (1/1/3) (v/v/v) at 100 °C, followed by preservation in a glycerol-ethanol solution. The stained tissues were subsequently photographed to document the distribution of reactive oxygen species. To quantify these compounds, the leaves were pulverized in liquid nitrogen, and the extracted pigments were solubilized in either DMSO for O₂- detection or HClO₄ for hydrogen peroxide analysis. The absorbance of the solutions was then measured at 570 nm for O₂- and 405 nm for H₂O₂, using appropriate blanks for reference.
2.7 Determination of total phenolic content and enzyme activity
Total phenolic content and enzyme activity were analyzed to assess the plant response to RB-UY1-CTV infection at the end of the experiment. Phenolic compounds were quantified using the Folin-Ciocalteu reagent method29. In brief, lyophilized leaf samples (50 mg) were extracted with methanol at 80%, homogenized, and centrifuged. The resulting supernatant was then mixed with the Folin-Ciocalteu reagent and incubated for 3 min. Finally, sodium carbonate was added, and after incubation in darkness for 2 hours, absorbance was measured at 760 nm. A gallic acid standard curve was constructed, and the total phenols content in the samples was calculated by extrapolation absorbance values to the calibration curve.
To evaluate antioxidant enzyme activity, ascorbate peroxidase (APX) and catalase (CAT) activities were measured using spectrophotometric assays. Enzyme extracts were obtained by homogenizing ground tissue (250 mg) in potassium phosphate buffer (100 mM, PH=7.0), followed by centrifugation. Protein concentration in the extracts was determined using the Bradford method30, with bovine serum albumin (Sigma-Aldrich) as the standard. CAT activity was determined by quantifying the decrease in absorbance at 240 nm (E = 39.4 mM⁻¹ cm⁻¹). The reaction mixture included the plant extract, potassium phosphate buffer (100mM), and H₂O₂ (100mM, Sigma-Aldrich). The reaction was initiated by adding H₂O₂31 and the absorbance was recorded at 1-minute intervals over 4 minutes. APX activity was evaluated by monitoring the decrease in absorbance at 290 nm (E = 2.8 mM⁻¹ cm⁻¹) in a reaction mixture containing plant extract, potassium phosphate buffer (100mM), ascorbic acid (0.5mM, Sigma-Aldrich), and H₂O₂ (4mM, Sigma-Aldrich). Absorbance values were recorded at 2 and 5 minutes32.
2.8 Statistical analysis
Data were processed using R software, version 4.2.3. Data normality was analyzed by Shapiro-Wilk test. According to this, data were processed by mixed linear model. The means of the different variables were compared between treatments (control vs. inoculated plants, in each model plants); least significant difference was determined by Tukey test at p≤0.05.
3. Results
3.1 Plant growth and CTV symptoms
The presence of the virus was confirmed in inoculated plants approximately one year after inoculation by real-time RT-PCR. Consequently, this time point was considered as the baseline for infection in the data analysis. Regarding growth variables, plant height and leaf area were significantly reduced in RB-inoculated P. trifoliata and ML/P. trifoliata plants compared to control plants, 48 months post-inoculation. In contrast, growth in RB-inoculated N/P. trifoliata plants remained unaffected by virus infection, although a slight initial growth restriction was observed, but the difference was not statistically significant compared to the control plants (Figure 1). Foliar symptoms associated with CTV were observed exclusively in ML/P. trifoliata plants, which exhibited mild vein clearing and leaf cupping, both classified as mild symptoms of the disease. However, by the end of the experimental period, RB-inoculated P. trifoliata plants showed mild to moderate stem pitting (Figure 2).

Figure 1: Growth parameters evaluated in P. trifoliata seedlings, ML/P. trifoliata, and N/P. trifoliata at 12 and 48 months post-inoculation with RB-UY1-CTV isolate
3.2 Chlorophyll fluorescence parameters
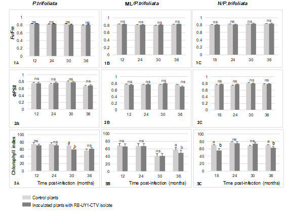
The maximum fluorescence yield in dark-adapted leaves (Fv/Fm) remained stable at approximately 0.8 in all treatments throughout the experiment, regardless of plant species or virus infection (Figure 3; 1A, 1B, 1C). Similarly, the quantum yield efficiency in light-adapted leaves (ΦPSII) was not affected (Figure 3; 2A, 2C, 2B). Despite of this, a slight decreasing trend was observed for this parameter in RB-inoculated ML/P. trifoliata plants by the third year post-inoculation.
3.3 Leaf chlorophyll index
This parameter showed a slight tendency to decrease in RB-inoculated plants, and was significantly lower in ML/P. trifoliata and N/P. trifoliata plants at the last assessment (Figure 3; 3B, 3C).
3.4 Gas exchange parameters
The leaf net assimilation rate (A) did not show significant differences between RB-inoculated and non-inoculated plants throughout the experimental period. However, a reduction in A was observed in ML/P. trifoliata in the last evaluation (Figure 4 ; 1A, 1B, 1C). The stomatal conductance (gs) and Ci/Ca ratio were generally higher in RB-inoculated plants during the early stages of infection (up to 24 months), with P. trifoliata exhibiting the most marked response (Figure 4; 2A, B; 3A, B). Conversely, in RB-inoculated N/P. trifoliata plants, gs and Ci/Ca ratio were lower during the first year post-inoculation (Figure 4; 2C, 3C), but exhibited a similar trend to P. trifoliata and ML/P. trifoliata at 24 months. By the end of the experiment, gas exchange variables showed no significant differences associated with the presence of the virus.
3.5 Oxidative damage and ROS in plant tissues
Oxidative damage in response to infection with the RB-UY1 isolate was assessed by measuring MDA concentration in leaf tissue. No significant differences were observed in this parameter between inoculated and control plants in any of the evaluated species (Figure 5). Regarding H₂O₂ and O₂⁻ concentrations at the end of the experimental period, staining leaf tissues of RB-inoculated plants showed significantly higher absorbance values at 570 nm compared to control plants, indicating a higher concentration of the O₂⁻ radical. Additionally, RB-inoculated N/P. trifoliata plants exhibited higher absorbance at 405 nm than control plants, indicating a significantly higher H₂O₂ content (Figure 6). However, these plants also showed staining in the cut area of the leaf tissue (picture in Figure 6); likely, the oxidative stress generated there may have also contributed to the increased radical levels.

Figure 5: Oxidative damage in response to infection by the RB-UY1-CTV isolate assessed by Malondialdehyde (MDA) concentration in leaf tissue of P. trifoliata seedlings (A), ML/P. trifoliata (B), and N/P. trifoliata (C)
3.6 Total phenolic content and ROS scavenging enzymes
The total phenolic content was significantly higher in RB-inoculated P. trifoliata and N/P. trifoliata plants (Table 1). In contrast, no statistically significant differences were found in enzymatic activity for APX and CAT among control and RB-inoculated plants (Table 1).
Table 1: Plant antioxidant response to infection by the RB-UY1-CTV isolate evaluated through the total phenolic content and ascorbate peroxidase (APX) and catalase (CAT) activities in leaf tissue of P. trifoliata, ML/P. trifoliata, and N/P. trifoliata, control and inoculated (RB-UY1) plants at the end of the experiment (36 months post-infection)

Data are the means values of three replicates ± standard error. Different letters denote significant differences at P≤0.05.
4. Discussion
P. trifoliata was the only genotype resistant to most CTV strains until the RB strain was identified. Consequently, this rootstock is widely used in citrus growing regions where the virus is endemic. The RB-UY1 isolate was the first RB isolate reported in Uruguay11 and it was biologically characterized on indicator plants as a mild isolate33. However, CTV isolates are known to exhibit different biological responses depending on the host species, scion-rootstock combinations, infection timing, and environmental conditions 1)(15) . Therefore, the RB-UY1 isolate could affect the performance of P. trifoliata.
As expected, bioassays revealed that RB-inoculated P. trifoliata and N/P. trifoliata plants did not exhibit foliar symptoms associated with CTV infection. The virus generally does not induce foliar symptoms in N/P. trifoliata plants, and most RB isolates characterized worldwide cause asymptomatic infections in P. trifoliata 7)(9) . Instead, mild symptoms were observed in ML, the most susceptible species to CTV, confirming RB-UY1 as a mild isolate. However, mild to moderate stem pitting was observed in P. trifoliata four years post-inoculation; this symptom is commonly associated with reduced growth and yield of affected plants15. The stem pitting observed exclusively in the rootstock can be attributed to the specific interaction between RB strains and trifoliate rootstocks 15)(34) , as its manifestation and severity depends on the differential expression of p33, p18, and p13 CTV genes in the host species 35)(36) . Nevertheless, reports from China and Southern Africa indicate that RB strains have also induced stem pitting in sweet orange, grapefruit, and lime plants 12)(37) .
Despite the absence of visible symptoms, all viral infections represent a stress for the plant and affect its normal metabolism. Some studies have indicated that the photosynthetic capacity of ML plants may be reduced by CTV infection21. However, other studies have demonstrated that long-term infections do not induce significant changes in this process38. Our results indicate that the photosynthetic activity of P. trifoliata and the grafted species was not affected by infection with the RB-UY1 isolate. The photochemical efficiency, expressed as Fv/Fm, remained at approximately 0.8 across all treatments, indicating that the plants were able to grow under optimal physiological conditions39. Conversely, previous studies have reported a decrease in Fv/Fm and ΦPSII in ML infected with CTV, attributing this effect to alterations in the electron transport and a possible photoinhibition process21. The RB-UY1 isolate only affected the chlorophyll index, inducing a significant reduction in ML/P. trifoliata and N/P. trifoliata plants four years post-inoculation. This could have reduced the efficiency of the light-harvesting complexes21. However, the absence of changes in Fo values suggest that the antenna complex was not damaged and that energy capture was not compromised. Therefore, the RB-UY1 isolate had no significant impact on chlorophyll fluorescence parameters.
Furthermore, viral infection can also affect the mechanism involved in CO₂ assimilation, such as stomatal opening and mesophyll diffusion40. In our experiment, RB-inoculated plants exhibited higher stomatal conductance and CO₂ availability within the sub-stomatal cells (Ci), during the early stages of infection. Therefore, there would be no discernible limitations in CO2 assimilation between inoculated and control plants. According to PérezClemente and others41 the increased stomatal conductance observed in CTV-infected plants is a consequence of the lower abscisic acid (ABA) levels, in order to prioritize defense signaling pathways increasing the production of salicylic and jasmonic acid. However, when A was negatively affected by the RB-UY1 isolate in N/P. trifoliata plants at the beginning of the experiment and in ML/P. trifoliata plants at the end of it, a reduction in gs was observed. This indicates that limitations in CO₂ availability and/or diffusion contributed to a decreased rate of CO₂ fixation. In these instances, lower Ci/Ca values were recorded, evidencing the presence of stomatal limitations. PérezClemente and others21, on the other hand, observed a reduction in A and gs values in CTV-inoculated ML; however, this was accompanied by an increase in the Ci/Ca ratio, which was attributed to a decline in carboxylative efficiency. Conversely, Hančević and others38 did not detect alterations in leaf gas exchange parameters or chlorophyll content in CTV-inoculated ML over an extended period (10 years). These authors assume that in long-term infections regulatory mechanisms may exist between the host and the virus, allowing both to coexist, which is consistent with our results since some parameters were altered only in early stages of infection. Recent studies suggest a potential trade-off between photosynthetic activity and defense against pathogens, mediated by stomatal anatomy42 and the hormonal regulation.
Regarding oxidative damage, as indicated by MDA levels, no evidence of oxidative burst was observed in any of the treatments. Although higher levels of H₂O₂ and O2 - radicals were detected in RB-inoculated plants, these did not result in cellular damage. However, these values may have been overestimated due to oxidative stress induced by leaf discs cutting during staining procedure. It is also likely that antioxidant mechanisms were activated, contributing to the prevention of oxidative damage. Indeed, RB-inoculated N/P. trifoliata and the rootstock exhibited a significantly increased concentration of phenolic compounds, consistent with the findings of Munir and others43, who reported that elevated phenolic content may serve as an antioxidant response to CTV in sweet oranges. These compounds can restrict viral movement, generate defense signals, and neutralize oxidative stress, among other functions44. In contrast, no increase in phenolic content was observed in RB- inoculated ML/P. trifoliata plants. This response is characteristic of susceptible hosts, which often exhibit lower production of secondary metabolites45. With respect to antioxidant enzyme activity, no significant differences in APX or CAT levels were observed across treatments. However, the involvement of other antioxidant enzymes cannot be excluded. Previous studies have reported changes in superoxide dismutase (SOD) and polyphenol oxidase (PPO) activity in response to CTV infection 16)(38) .
The growth parameters, specifically plant height and leaf area, were significantly affected in RB-inoculated Poncirus trifoliata and ML/P. trifoliata plants four years post-inoculation. However, no such effects were observed in N/P. trifoliata plants. Since photosynthetic parameters remained unchanged and there was no evidence of oxidative damage, we inferred that growth limitations were not due to reduced carbohydrate synthesis. Instead, these constraints are more likely attributable to disruptions in carbohydrate transport, alterations in their metabolism, or even hormonal imbalances 46)(47) . A critical factor contributing to this limitation could be stem pitting formation, as it induces changes in cell differentiation and development35, leading to abnormal phloem formation, which interfere with the normal transport of carbohydrates. Moreover, recent studies have confirmed that during stem pitting formation, CTV also invades xylem cells5. Consequently, stem pitting can disrupt the transport of carbohydrates, nutrients, and water, affecting plant growth. These findings reinforce the hypothesis that growth limitations in plants infected with RB-UY1 are primarily associated with disruptions in resource transport due to structural modifications in the phloem and xylem, rather than a deficiency in carbohydrate production. In contrast, N/P. trifoliata plants exhibited no symptoms or physiological alterations in the scion, consistent with field trials on grapefruit trees, where RB isolates did not negatively impact plant performance despite achieving high viral loads37. Therefore, the results suggest a clear interaction between genotype-host and viral isolate (RB-UY1), likely mediated by differential gene expression in either the host or virus, or by variations in the virus’s ability to move and colonize host tissues 15)(36) . Further studies of the host response to infection are required to elucidate the metabolic and genetic pathways involved in the interaction between P. trifoliata and RB-CTV.
5. Conclusions
This study demonstrated that the photosynthetic activity was not affected by the RB-UY1 isolate in P. trifoliata nor grafted species. Additionally, no evidence of oxidative damage attributable to viral infection was detected, despite increased levels of H₂O₂ and O₂- radicals in RB-UY1 inoculated plants. Nonetheless, a significant reduction in growth was observed in P. trifoliata and LM/P. trifoliata, while no such decline occurred in N/P. trifoliata. Notably, these rootstock growth limitations did not compromise the physiological performance of the N/P. trifoliata scion, providing strong evidence of a clear host-viral isolate interaction. Our results suggest that growth reductions are primarily associated with alterations in carbohydrate transport and metabolism, likely due to the presence of stem pitting. In response to the RB-UY1 infection, a significant increase in phenol concentration was detected in the rootstock and N/P. trifoliate plants. However, no significant changes were observed in the enzyme activity of catalase and ascorbate peroxidase. This study represents the first comprehensive assessment of the effects of RB-CTV infection in P. trifoliata and a commercially relevant sweet orange scion, providing evidence of long-term physiological alterations in the rootstock. Further research is necessary to elucidate the molecular and physiological mechanisms underlying the host response to RB-CTV infection.


















