1. Introduction
Ecuador is considered one of the richest countries in the world as regards diversity of plants and animals: it occupies sixth place worldwide in number of species and has 10% of all plant species on the planet in its territory. The Ecuadorian flora has been recognized and studied for a considerable amount of time, and the presence of more than 16,000 plant species has been documented1. The Ecuadorian territory occupies an area of 256,370 km 2(2) , in which about 20,000 species of vascular plants grow, 5,000 to 8,000 of which are medicinal3.
Medicinal plants have been employed to cure or alleviate diseases since ancient times, and their therapeutic use as a substitute for pharmaceutical medicines is now being considered4. However, sufficient scientific evidence for consolidating herbal medicine within health systems is not yet available5.
Research groups from the Technical University of Manabí (UTM) recently had two articles published related to the phytochemical study of plant species Zanthoxylum sprucei and Melampodium divaricatum6, and species Bidens pilosa L. and Croton floccosus7. Better conditions for the qualitative extraction of its metabolites were studied using maceration, ultrasonic bath, and soxhlet extraction techniques, as well as determination of their antioxidant capacity using the ABTS and DPPH methods.
Nerium oleander L. is an Ecuadorian species that provides medicinal properties directly related to the cardiovascular system and the heart8, although other biological activities have also been reported, such as antifungal9, antibacterial, insecticidal10, anti-inflammatory11, antimicrobial 12)(13) , antimalarial14, and antioxidant 15) activities. It is a large glabrous evergreen shrub with milky juice. The root is bitter, aphrodisiac, tonic good for chronic pain in the abdomen and pain in the joints. Leaves and roots of this plant have shown considerable antimicrobial and antibacterial properties. Moreover, Cestrum nocturnum L. has been reported to exhibit antibacterial16, antimicrobial17, and antioxidant activities18.
Einali and others19 reported the antioxidant activity using the DPPH radical, and the antimicrobial activity of aqueous and ethanolic extracts of Nerium oleander L leaves. These authors found a better response in the antioxidant and antimicrobial assays in the ethanolic extracts, which contained a higher concentration of phenols and flavonoids. The extracts were obtained by distillation for 24 h using water and ethanol as solvent.
The aim of this article is to present a detailed phytochemical analysis of the extracts obtained from the leaves of Cestrum nocturnum L. (Solanaceae) and Nerium oleander L. (Apocynaceae), cultivated in Manabí, to enrich and justify their medicinal use among the Ecuadorian population.
2. Materials and Methods
Fresh leaves of the species studied were collected, washed, and dried for analysis in the Botanical Garden at the Technical University of Manabí (UTM), Portoviejo, in the Manabí province, western Ecuador, in June 2021. The species Cestrum nocturnum L. is found at coordinates 1º2'19.30"S (latitude) and 80º27'37.40"W (longitude), while the coordinate axes of Nerium oleander L. are 1º2'15.30"S (latitude) and 80º27'43.00"W (longitude); 100 g of sample were taken from each species.
2.1 Drying and Extraction Process
The leaves were dried in an oven at 40 °C and 50 °C until their moisture content reached a range of 8-12%. Reduction was subsequently carried out in a sprayer in order to obtain greater uniformity 1-mm particle size.
The extracts were obtained using various extraction methods: Soxhlet, maceration, and ultrasound, using the same amount of plant material (10 g) for each one. The Soxhlet extractions were carried out using 225 mL of solvent ethanol and petroleum ether, and the maceration static for 72 hours and ultrasonic bath 50 w extractions were carried out using 100 mL of solvent. The mixtures were then passed through 125 mm filter paper to remove impurities, after which they were stored in amber-colored bottles at 4 ºC to prevent oxidation.
2.2 Phytochemical Screening
The extracts obtained by the Soxhlet method were used to determine the presence or absence of secondary metabolites. This is one of the most efficient extraction methods, with the highest percentage of yield7.
2.3 Antioxidant Activity
2.3.1 ABTS Test
This is based on the quantification of the discoloration of the 2,2'-azino-bis-(3-ethyl benzo-thiazolin-6-sulfonate ammonium) radical (ABTS), as proposed by Rioja- Antezana and others20.
2.3.2 ABTS•+ Radical Method
The ABTS•+ radical was formed after the reaction of 3.5 mM ABTS with 1.25 mM potassium persulfate (final concentration). The samples were incubated at room temperature and in the dark for 16-24 h. Once the ABTS radical was formed, it was diluted with ethanol until obtaining an absorbance of 0.7± 0.05 at 734 nm.
The Trolox calibration curve y=-0.011x + 0.369 (R2) 0.996 is obtained according to the following dilutions (5, 10, 15, 20 and 25) µM. 1 mL of ABTS solution and 1 mL of the standards or samples are added. The solution is left to stand for 30 minutes at room temperature and in the dark. It is then measured with a spectrophotometer (Thermo Scientific Genesys180) at a wavelength of 734 nm.
The results of the ABTS method are expressed in Trolox Equivalent Antioxidant Activity (TEAC). This is calculated from the following expression21:
TEAC=(C*V)/m
Where:
C: concentration stabilized by the curve
V: Volume of the sample
m: Mass of the sample
2.3.3 DPPH Test
The antioxidant activity was determined using a spectrophotometer and the DPPH molecule as a reagent to generate the free radical following the methodology described by Ruiz-Reyes and others 6)(7) . DPPH reagent preparation: 0.02 g of the DPPH reagent was weighed out and made up to volume with 100 mL of methanol in a flask. This was then homogenized and left to react for 24 hours in an amber bottle in the dark.
2.4 Total Phenolic Content
The Folin-Ciocalteu (FC) method, which is based on the oxidation of phenolic compounds, is fast and easy to perform22.
2.4.1 Determination of Total Phenols
Determination of the total content of phenols in the extracts was carried out using the Follin-Ciocalteau reaction and by employing gallic acid as the reference phenolic compound. The gallic acid calibration curve was prepared by weighing 2 mg of gallic acid and making it up to a volume of 10 mL with distilled water, which is the stock solution at a concentration of 0.2 mg/mL. Aliquots of 50 μL were subsequently taken, after which 200 μL of Follin-Ciocalteau reagent and 2mL of 7% Na2CO3 were added, and the solution was made up to 5 mL. After the absence of light for 30 minutes and at room temperature, the absorbance at 725 nm was measured using the prepared solution as a blank without the analyte.
2.4.2 Total Flavonoid Content
This test was performed using the Aluminum Chloride reagent. The procedure employed was the following:
Total flavonoid content was determined using quercetin as standard. For the preparation of the quercetin standard, 2 mg of the quercetin standard was weighed and dissolved with 70% methanol in a 10 mL volumetric flask, which is considered the mother solution with a concentration of 0.2 mg/mL. The aluminum chloride solution was subsequently prepared by weighing 500 mg of AlCl3 and dissolving it with a solution of 25 mL 5% acetic acid in methanol, which led to a solution with a concentration of 20 mg/mL and aluminum chloride. In order to perform the calibration curve with the quercetin standard, aliquots of 5, 10, 15, 20, 25, 30, 35, 40 μL of the standard solution were taken and made up to 1 mL with methanol (70%), after which 1 mL of the AlCl3 solution was added. The same solution was used as a blank without adding the standard compound. After waiting 15 min for the reaction, the absorbance of the solution was measured at a wavelength of 430 nm in the UV-Vis spectrophotometer. The preparation of the extracts was carried out by taking 5 mg of the sample, which was dissolved in 5 mL of 70% aqueous methanol. The determination procedure for total flavonoids was carried out by taking 200 μL aliquots of different extracts of the sample in triplicate and making them up with 1 mL of methanol (70%), after which 1 mL of the AlCl3 solution was added. After waiting 15 min, the absorbance of the solution was measured at a wavelength of 430 nm in the UV-Vis Thermo Scientific Genesys 180 spectrophotometer. Both methodologies were described by Ruiz-Reyes and others 6)(7) , Tomás-Barberán and ohers23, and Camacho & Melgarejo24.
3. Results
3.1 Analysis of Extraction Processes (Yields) and Multiple Range Tests
A multifactorial statistical analysis of variance (ANOVA) was performed with a maximum order of interaction of 2 for the yield values of both plants. The analysis of variance for the extraction yield of Cestrum nocturnum L. and Nerium oleander L. made it possible to determine that there was a statistically significant difference among the solvent factors and extraction methods.
Figure 1 and Figure 2 shows the influence of the factors of the experimental design on the extraction yield. Petroleum ether is the non-polar solvent we had in the laboratory and we wanted to compare the results of antioxidant activity and phenol and flavonoid content with the polar ethanol extracts. There is a notable decrease in yields when petroleum ether is used for the extraction process. The Soxhlet extraction process with ethanol obtained the best yield values for both cases when drying at 40-50 °C.
3.2 Extraction Method
The best yield was obtained by applying Soxhlet extraction, since the differences between the yields obtained using the maceration and ultrasound methods were highly significant (Figure 3 and Figure 4). The Soxhlet extraction method made it possible to obtain a greater volume of samples, thus making it the most efficient technological procedure.
3.4 Temperature
The results show that there are no significant differences between the operating temperatures employed in the process. With regard to species Cestrum nocturnum L. (Figure 5), it is observed that higher yields were obtained for the dry plant material at 50 °C in all the different extraction processes. A greater variation in yields was not, however, obtained for species Nerium oleander L. with respect to the temperature conditions used (Figure 6).
Indeed, the higher the temperature, the faster dehydration occurred. The drying temperature is determined by the sensitivity of the active ingredients of the plant, signifying that there is an ideal drying temperature for each species25.
3.5 Solvents
In the case of species Cestrum nocturnum L. and Nerium oleander L., the extractions carried out with ethanol were more efficient than those carried out with petroleum ether (Figure 7 and Figure 8). A yield of 33.8% was attained for Cestrum nocturnum L. This was greater than that attained by Cruz Ymata & Zapata Miranda26, which was 25.5% when applying the same Soxhlet and solvent (ethanol) method to dry leaves from a plant of the Cestrum genus. This is related to the polarity of the solvents, since plant metabolites are more easily extracted by polar solvents.
3.6 Data Obtained from Phytochemical Tests
Table 1 shows the qualitative results of the phytochemical screening carried out on the ethanolic extracts when employing the Soxhlet extraction method at 40-50 °C. An abundance of phenols, flavonoids, and saponins was obtained for both species. With regard to Cestrum nocturnum L., a moderate presence of alkaloids, catechins was detected. A greater abundance of reducing sugars was obtained when extracted at 50 °C. The species Nerium oleander L. had an abundance of reducing sugars and catechins, and a moderate presence of alkaloids. These results coincide with those of other authors, who have attained similar values as regards the content of secondary metabolites27.
3.7 Total Content of Phenols and Flavonoids
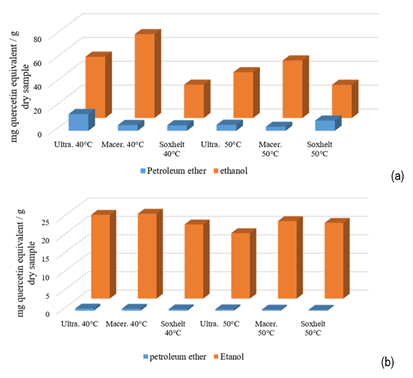
The mg Gallic Acid Equivalents (GAE) per gram of dry sample (DS) were obtained for Cestrum nocturnum L. and Nerium oleander L species. The ethanolic extracts contained the highest concentrations for both plants, with the maceration extraction method obtaining the highest content of total phenols (56.763 ± 1.583 mg GAE/g DS) for the first species and the Soxhlet extraction method obtaining the highest content of total phenols (60.334 ± 2.997 mg GAE/g DS) for the second one.

Figure 9: Phenolic content of the ethanolic extracts and petroleum ether of (a) Cestrum nocturnum L. and (b) Nerium oleander L.
Figure 9 (a) shows the results obtained for Cestrum nocturnum L. species. The content of total phenolic compounds for the ethanolic extracts varies between 38.034 ± 1.279 and 56.763 ± 1.583 mg GAE/g DS, while for the extracts of petroleum ether the phenolic content varies between 4.245 ± 0.854 and 34.558 ± 1.815 mg GAE/g DS.
Figure 9 (b) shows the content of total phenolic compounds for the ethanolic extracts of Nerium oleander L. species. This varies between 34.954 ± 0.764 and 60.334 ± 2.997 mg GAE/g DS. A similar study highlighted that the total phenolic content of the Nerium oleander L. leaf is 12.626 g GAE per 100 g dry extract (DE), and this result was obtained for a methanolic extract28. Another piece of research states that the ethanol content of oleander leaves is 43.88 ± 0.49 mg GAE/ g DS, a value similar to the results obtained in this study19.
3.8 Total Flavonoid Test Content
The results of the flavonoid content are presented in mg Quercetin Equivalent (QE) in grams of DS for Cestrum nocturnum L. and Nerium oleander L. The ethanolic extracts have a larger amount of flavonoids when compared to those of petroleum ether at 40 and 50 °C. This is explained by the polarity, since it is known that flavonoids are polar metabolites and that their extraction is easily carried out when extracted with high polarity solvents such as ethanol29. Moreover, the solvents most frequently used for the determination of phenolic compounds and antioxidant activity by means of the DPPH method are methanol and ethanol30.
In the case of Cestrum nocturnum L., the extractions carried out by employing maceration and ultrasound contained the highest concentrations under both temperature conditions (40 °C), 70.330 ± 6.227 mg QE/g DS, as observed in Figure 10 (a). Species from the same family (Solanaceae) have yielded data of 148.52 ± 0.1 mg g-1 DS as regards the content of total flavonoids31. In another publication, values from 7.8 ± 0.3 to 13.3 ± 0.3 mg g-1 were reported, both with methanolic extracts32.
The values of the ethanolic extracts for Nerium oleander L. species are very similar, and as shown in Figure 10(b), they vary from 17.765 ± 0.541 to 23.028 ± 0.696 mg QE/g DS, although those obtained by means of maceration stand out: 23.028 ± 0.696 mg g-1 at 40 °C and 21.027 ± 0.389 mg g-1 at 50 °C. In another study, a value of 16.55 ± 0.82 mg QE/g DS was identified, which shows that the results obtained in this research are higher19.
3.9 Antioxidant Capacity (DPPH)
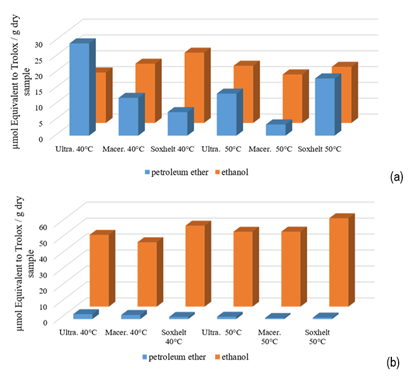
Figure 11 (a) and Table 5 of the Supplementary Material show that the concentration range for Cestrum nocturnum L. species varies between 15.327 ± 0.038 and 22.207 ± 2.114 µmol Trolox eq. /g DS for the ethanolic extracts and 3.536 ± 0.551 and 29.157 ± 3.466 for the petroleum ether extracts. When comparing the results of the antioxidant activity of Cestrum auriculatum L. (93.29 µmol equivalent to Trolox/ g DS)26, it is possible to state that they may be lower, depending on the study conditions. Godos presented the result of the in vitro antioxidant activity for this same genus, but with methanol as a solvent (190.57 ± 49.04 mM trolox eq. /g DS)32.
Figure 11 (b) and Table 6 of the Supplementary Material show the established range of antioxidant activity, which varies from 40.350 ± 3.001 to 55.366 ± 1.375 µmol Trolox eq. /g DS for ethanolic extracts, and obtains a better concentration with the Soxhlet method at 50 °C. In a medicinal study carried out by Balkan and others33, the antioxidant activity results of 71.38 ± 0.23 nmol Trolox /mg of ethanolic extract and 2.65 ± 0.01 nmol trolox / mg of hexane extract are detailed for Nerium oleander L. flowers.
3.10 Antioxidant Capacity (ABTS)
Figure 12 (a) and Table 3 of the Supplementary Material show the results obtained for the ethanolic extracts and petroleum ether. The concentration ranges vary from 188.167 ± 5.238 to 229.247 ± 7.259 and 6.363 ± 0.581 to 42.279 ± 4.211 µmol equi. Trolox/g-1 DS, respectively. The method that attained the highest concentration was ultrasonic bath. The results obtained in the ethanolic extracts are superior to those reported in Tovar del Río34, in which the antioxidant capacity of methanolic extracts was analyzed for several species belonging to the same family (Solanaceae), and the antioxidant activity was higher than that of certain fruits, the results for which varied from 2 ± 0.1 to 67.6 ± 0.4 µmol equi. Trolox/g-1 DS.
Figure 12 (b) and Table 4 of the Supplementary Material show the values of the ethanolic extracts of the Nerium oleander L. plant; the concentration varies from 170.507 ± 8.953 to 216.047 ± 4.749 µmol equi. Trolox /g DS, and the extractions carried out with the Soxhlet method reflect the highest amount of antioxidant activity at 40 °C. In the case of the petroleum ether extracts, the concentration ranges vary from 0.176 ± 0.087 to 2.520 ± 0.394 μmol TEAC/g-1. If these results are compared with those obtained for species from the same family (Apocynaceae), it is possible to state that better results were obtained using the ethanolic extracts34.
4. Discussion
Table 2 shows the phenolic and flavonoid contents and the trolox equivalent antioxidant capacity of the species studied by our working group 6)(7) .
Table 2: Comparison of the content of phenols, flavonoids, and the antioxidant capacity of the plants studied
| Studied species in the Manabí province in western Ecuador | Phenolic content (mg GAE/ g DS) | Total flavonoid content (mg QE/ g DS) | Antioxidant activity equivalent to Trolox (μmol equivalent trolox/ g DS) |
| Melampodium divaricatum | 457.63 | 79.06 | 121.677* |
| Zanthoxylum sprucei | 493.77 | 59.32 | 73.431* |
| Bidens pilosa L. | 48.609 | 17.795 | 239.33 |
| Croton floccosus | 128.212 | 34.139 | 644.125 |
| Cestrum nocturnum L. | 56.763 | 70.330 | 229.247 |
| Nerium oleander L. | 60.334 | 23.028 | 216.047 |
*Antioxidant capacity of the DPPH radical IC50 (µg/mL)
It allows us to make a comparison of the results for the leaves of the six plants studied in ethanolic extract. It is important to highlight whether all reported results were obtained under the same experimental conditions. The leaves of the Zanthoxylum sprucei species have a higher phenolic content of 493.77 mg GAE/g DS and the leaves of the Bidens pilosa L. species have the lowest content of 48.609 mg GAE/g DS. Furthermore, the leaves of the species Melampodium divaricatum show the highest content of flavonoids 79.06 mg QE/ g DS, while the species Bidens pilosa L. have the lowest content of flavonoids 17.795 mg QE/ g DS. Although the DPPH radical IC50 (µg/mL) was used to measure the antioxidant capacity of the species Melampodium divaricatum and Zanthoxylum sprucei, we can say that the values obtained correspond to those reported in the literature 35)(36) .
We can also conclude that Cestrum nocturnum L. species presented the best Trolox equivalent response with 229.047 μmol trolox equivalent/g DS. Studies of antioxidant capacity by DPPH and GC-MS for the same species report that the polar fraction of the extract presents the compounds L-arabinitol (22.85%), trans-Z-a-bisabolene epoxide (17.04%), isoeugenol (8.21%), diosgenin (4.64%), 3-tetradecynoic acid (4.63%), D-mannitol (3.89%), and methoxyeugenol (3.44%) influencing the response37. Finally, we observed that there is a relationship between the phenolic and flavonoid content and the antioxidant capacity of the species studied, similar to what is reported by other authors for these species 38)(39) 40. This comparative evaluation serves as a foundation for selecting the most promising species for further clinical investigations. The data presented here provide insights into the bioactive potential of these plants, facilitating the design of targeted antioxidant applications.
5. Conclusions
The use of phytochemical tests to identify secondary metabolites shows that the plants studied have a series of chemical compounds that contain tannins/phenols, alkaloids, flavonoids, saponins, catechins, and reducing sugars in the case of both species. The best results for the content of total phenols were obtained for the Nerium oleander L. species when employing the ethanolic extracts, with the best yield obtained using Soxhlet extraction with plant material at 50 °C (60.334 ± 2.997 mg GAE/ g DS). The maceration extraction method proved to be ideal for the quantification of the content of total flavonoids (23.028 ± 0.696 mg QE/ g of DS at 40 °C). The best phenolic content results were obtained for the Cestrum nocturnum L. species when employing extraction by maceration method, with a value of 56,763 ± 1,583 mg GAE/g of DS. The highest concentration of content of flavonoids (70.330±6.227 mg QE/g of DS) was obtained when using extraction by maceration, both methods at 40 °C. Finally, with regard to antioxidant activity, it was shown that Cestrum nocturnum L. species had a better inhibitory power, with a value of 229.247 ± 7.259 μmol equivalent to Trolox /g DS, when compared to Nerium oleander L. (216.047 ± 4.749 μmol equivalent to Trolox/g DS).
Furthermore, comparisons with other species, such as Bidens pilosa L. and Zanthoxylum sprucei, highlight the diverse pharmacological value within Ecuador’s native flora. These findings directly contribute to the integration of medicinal plants into Ecuador’s healthcare system by providing robust scientific evidence of their bioactive properties. By identifying species with high antioxidant capacities and optimizing extraction techniques, this study paves the way for the development of standardized phytotherapeutic products. This integration not only promotes the sustainable use of Ecuador’s rich biodiversity but also aligns with global trends towards incorporating traditional medicine into formal healthcare practices. Ultimately, the results of this research strengthen the foundation for clinical and bioequivalence studies, fostering a more inclusive and sustainable healthcare model that leverages the medicinal potential of Ecuadorian plants.






























