1. Introducción
El cultivo del duraznero ha sido de gran significación en toda la región a partir de su introducción en la época colonial. La evolución de este frutal se ha visto condicionada tanto por las particularidades edafoclimáticas, como por las culturales y económicas, que imperan en cada uno de los países del Cono Sur.
Los desafíos tecnológicos han ido cambiando a lo largo de la historia, así como las técnicas y las prácticas aplicadas en el cultivo para dar respuesta a los primeros.
Hoy nos encontramos con un mercado que ha reducido su consumo, a la vez que aumentado las exigencias con respecto al producto. Y esas exigencias no solo refieren a las características del propio producto, sino que alcanzan a todo el proceso productivo. Los consumidores informados buscan, más allá de una fruta de buen aspecto y sabor, una que signifique un aporte a su salud, y que en el proceso productivo no genere impactos negativos sobre el ambiente.
Cubrir los distintos aspectos que caracterizan al cultivo de durazneros en Uruguay, Brasil y Argentina fue la propuesta que se abordó con este trabajo. Nos importa analizar el proceso y la realidad presente, para proyectar sobre bases firmes el esfuerzo que permita seguir promoviendo la producción de duraznos y aumentando su consumo.
2. Uruguay
2.1 Historia
El cultivo de durazneros en Uruguay se inició a partir de las introducciones realizadas por los colonizadores e inmigrantes europeos a partir del siglo xvii.
Los relatos del siglo xix de Pérez Castellano1 y el botánico presbítero Dámaso Antonio Larrañaga2 dan cuenta de la existencia de estos frutales a lo largo y ancho del país. Citan introducciones de cultivares desde Galicia y otras partes de España, de Mendoza y Buenos Aires (Argentina), Cochabamba (Bolivia) y Chile. Clasifican los duraznos entre «abridores» -término que intercambian con «priscos»- y los «melocotones», para denominar a los enteramente amarillos, con pulpa firme y adherida al carozo. Especial fue el interés por los duraznos de pulpa blanca, tan populares en Europa en aquellos tiempos1)(2.
Desde fines del siglo xix hasta los 70 del xx fue significativa a nivel privado la influencia de los viveros Domingo Basso. A partir de la mitad del siglo xx y bajo la dirección del Ing. Agr. Raúl Tuneu, fueron introducidos cultivares desde Italia (ej. serie de cultivares de durazneros Morettini) y Estados Unidos (ej. cultivares Dixired, Red Haven, Southland), evaluados y ofrecidos luego en sus catálogos anuales, que fueron fuente de conocimiento para varias generaciones de fruticultores uruguayos. Asimismo, a nivel oficial se realizaron estudios varietales en la Dirección de Agronomía (Ministerio de Ganadería y Agricultura) y Facultad de Agronomía en la zona de Sayago, donde fue seleccionado el cultivar Sayago, de alta adaptación3. Otros cultivares, como Rey del Monte y Pavía Moscatel, fueron adoptados por el uso y significaron opciones para consumo en fresco e industrialización.
Más allá de todos los aportes de productores y técnicos en la generación de información local, hay un cambio importante a partir de 1964, con la instalación en medio de la zona productiva del Centro de Investigación en Fruticultura, Horticultura y Vitivinicultura, cuyo primer director fue el Ing. Agr. Washington Babuglia. Transformado hoy en la Estación Experimental «Wilson Ferreira Aldunate» Regional inia Las Brujas, fue la sede donde se inició en 1965 un fuerte programa de introducción, evaluación y selección de cultivares y portainjertos de Prunus. A partir de los trabajos realizados y junto con productores, se fue generando información local de gran valor para el sector productivo.
2.2 Superficie y producción
El cultivo de durazneros y nectarinos se encuentra localizado en la zona sur del país, en los departamentos de Montevideo, Canelones, San José y Colonia, donde se concentra cerca del 90 % de la superficie y la producción. El restante es producido en el litoral norte, principalmente en los departamentos de Salto y Artigas4)(5.
Para el año 2016 se contabilizaron 550 y 229 productores de duraznos y nectarinos, respectivamente. La mayoría de esos productores son familiares o de pequeña escala donde más del 80 % poseen menos de 3.000 plantas en producción6.
Según los datos más recientes disponibles en faostat7, en 2018 Uruguay cuenta con una superficie total destinada al cultivo de durazneros y nectarinos de 1.530 hectáreas, con una producción de 16.414 toneladas, lo que supone una producción promedio de 10.728 kg por hectárea (Figura 1).
A fines de la década del 80 y durante toda la década del 90, la superficie destinada a estos cultivos era superior al doble de la superficie actual, llegando a su auge en el año 1996 con 4.000 hectáreas7. De todas formas, la producción total se mantuvo más o menos estable, entre 15.000 y 25.000 toneladas por año. A partir del año 2000, la superficie destinada a estos frutales de carozo bajó drásticamente, pero la producción total igualmente se mantuvo, marcando el aumento progresivo en el rendimiento por hectárea, reflejando así la incorporación de nuevas tecnologías, principalmente la adopción de alta densidad de plantación (Figura 1).
2.3 Mejoramiento genético y cultivares
Se inicia en 1965 el proyecto de Introducción, Evaluación y Selección de Cultivares de Frutales de Hoja Caduca en el Centro de Investigación en Fruticultura, Horticultura y Vitivinicultura (cifhv) en Rincón del Colorado, Canelones, Uruguay. Ese Centro, posteriormente, fue incorporado al Centro de Investigaciones Agrícolas «Dr. Alberto Böerger» del Ministerio de Ganadería, Agricultura y Pesca, y que actualmente es la sede del inia Las Brujas. Los trabajos de evaluación de cultivares se llevaron a cabo tanto en el área de influencia del inia Las Brujas en el sur del país, como en la zona norte desde la Estación Experimental inia Salto Grande8.
Las recomendaciones del cultivar de cosecha temprana June Gold por el Ing. Agr. Rodolfo Tálice en 1975 (origen: Viveros Amstrong, California, ee. uu.)9 y del cultivar de cosecha muy temprana EarliGrande por el Ing. Agr. Omar Borsani en 1980 (origen: Texas A&M University, ee. uu.)10 fueron significativos aportes para la duraznicultura uruguaya.
En el año 1999, se comenzó con los primeros cruzamientos dirigidos y polinizaciones libres, buscando identificar más y mejores opciones para diversificar y/o sustituir a los antiguos cultivares. Un programa de recuperación y mejoramiento de recursos genéticos locales en duraznero se implementó a partir de 2004 entre el inia y la Junta Nacional de la Granja del Ministerio de Ganadería, Agricultura y Pesca, con valiosos resultados11)(12)(13. Los objetivos que actualmente se plantea el Programa de Mejoramiento genético del inia en frutales de carozo son: adaptación al ambiente (principalmente a la falta de frío invernal), calidad de fruto, época de cosecha y resistencia a las principales enfermedades, como lo son la bacteriosis (Xanthomonas arboricola pv. pruni) y la podredumbre morena (Monilinia fructicola)14.
2.3.1 Cultivares
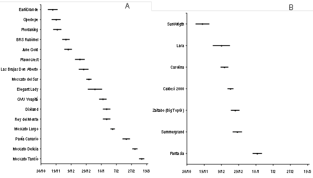
El destino de la producción de duraznos y nectarinas en Uruguay es para su consumo en fresco. En el año 2016, solamente se destinó el 2 % de la producción para industria y no se registraron exportaciones6. Por este motivo, los cultivares utilizados son todos cultivares de mesa (para consumo en fresco) o con doble propósito (Figura 2A).

Figura 2: Época de maduración de cultivares de durazno (A) y nectarina (B) para consumo en fresco (sur del Uruguay)
El periodo de cosecha de los duraznos es de más de cuatro meses (Figura 2A), extendiéndose a cinco meses al considerarse también la cosecha del norte de Uruguay, que se inicia en el mes de octubre.
Tradicionalmente, en Uruguay los cultivares de duraznero se dividen en cuatro grupos dependiendo de la fecha de cosecha. Estos grupos son: muy tempranos (octubre y noviembre), tempranos (diciembre), de estación (enero) y tardíos (febrero y marzo)8. El grupo de cultivares muy tempranos (294 ha) está liderado por el cultivar EarliGrande con el mayor aporte de producción (55 %). El grupo de cultivares tempranos es el más grande, con 525 ha cultivadas, y es liderado por los cultivares June Gold y Flavorcrest, que aportan el 50 % de la producción. Entre los cultivares de estación (407 ha), el principal cultivar es Dixiland con más del 53 % de la producción en este grupo, mientras que entre los tardíos (162 ha) se destaca el cultivar Pavía Canario, con 60 % de la producción6.
La zafra de cosecha de nectarinas se reduce a un poco más de dos meses en el sur del Uruguay (Figura 2B), siendo que tres cultivares representan el 62 % de la producción de este frutal (Fantasia 43 %, Carolina 12 % y Lara 7 %). La producción total de nectarinas en los últimos años varió entre 1400 y 2300 toneladas6.
En total, existen 40 cultivares de duraznos y seis cultivares de nectarinas en el Registro Nacional de Cultivares (rnc) del Instituto Nacional de Semillas (inase), donde varios de ellos se podrían calificar como obsoletos.
2.4 Manejo del monte
El relieve de las zonas frutícolas de Uruguay se caracteriza por ser plano a suavemente ondulado. El primer paso para la planificación de la instalación del cultivo es la elección del sitio de plantación, evitando las zonas bajas para reducir los problemas de quemado por heladas y la asfixia radicular. Se recomiendan pendientes del 1 a 2 %. Otras recomendaciones de manejo del monte son: uso de entrefilas empastadas, filas con longitud menor a 100 m, uso de caminos rebajados y empastados, y empleo de cortinas forestales (rompevientos) que protegen de los fuertes vientos que son comunes en Uruguay15 y a la vez ayudan en la prevención de la incidencia de bacteriosis (Xanthomonas arboricola pv. pruni) y otras enfermedades16.
La presencia de un horizonte subsuperficial arcilloso (Bt) puede constituir un obstáculo al drenaje interno, perjudicando el cultivo del duraznero. La humedad excesiva del suelo puede determinar una severa limitación del rendimiento, e incluso de la sobrevivencia de las plantas, como ocurrió en la región sur en el año 2000. En ese momento la mortalidad de plantas por asfixia radicular sobrepasó el 34 %, lo que representó más de 1000 hectáreas perdidas4)(17. Para intentar mitigar las condiciones negativas de este horizonte Bt, se recomienda el uso del laboreo vertical profundo luego del laboreo de la capa superficial. Para ello se utilizan subsoladores y cinceles flexibles o rígidos, además de la ejecución de la plantación luego de realizar el alomado del suelo15.
El cultivo del duraznero se encuentra en su mayoría con riego por goteo: 55 % del total de plantas de duraznero y 61 % de nectarinos6. Actualmente son pocos los montes nuevos que se instalan sin contar con esta tecnología. El total de agua de riego necesaria para el cultivo del duraznero varía de año en año, debido a la variabilidad de la ocurrencia de precipitaciones. Para un correcto manejo del riego en durazneros se recomienda disponer de 6.800 m3 por ha para cubrir la demanda total de agua en el 50 % de los años. El consumo máximo de un duraznero adulto es alrededor de 6 mm por día, por lo que al regar 20 horas por día y con una eficiencia de riego del 80 % ello implica un caudal de 3.750 l por hora por cada hectárea de cultivo, lo que tiene que considerarse en el diseño del equipo de riego18.
El marco de plantación del monte depende mucho del sistema de conducción utilizado, así como del vigor del cultivar. Los montes más antiguos, conducidos en su gran mayoría en sistema libre en vaso abierto, tenían un marco de plantación de 5 m entre líneas y 3 m entre plantas, con densidades de plantación de 667 plantas por ha, o incluso menos en algunos casos. Los marcos de plantación que se recomiendan actualmente varían entre 1000 y 1600 plantas por ha, tendiéndose a los sistemas apoyados, aunque sea para los primeros años de formación del monte frutal19.
2.5 Manejo de la planta
La calidad de las plantas de vivero es un factor clave para tener éxito con el cultivo. Deben preferirse plantas certificadas y producidas por viveros acreditados por el inase. Una planta debe tener no menos de 10 mm de diámetro de tronco, medidos a 10 cm por encima del injerto; buena relación entre la parte aérea y radicular y debe priorizarse la utilización de plantas testadas a virus (categoría B)15.
Habitualmente, para duraznero se usan portainjertos de propagación por semilla del cultivar Pavía Moscatel. Es el más empleado en nuestro país, sobre el que está injertado el 94 % de los durazneros. Este portainjerto tiene buena adaptación edafoclimática, es fácilmente propagado, presenta baja emisión de rebrotes y confiere mayor tamaño de fruta a los cultivares productores17.
El sistema de conducción más utilizado en montes antiguos era el vaso abierto, manejado con poda corta, lo que llevaba a la formación de una «sombrilla», dificultando la entrada de luz. Sustituyendo este manejo, se optó por la poda larga combinada con sistemas de conducción como: vaso moderno o triple líder, eje central y épsilon («Y»)19. En los últimos años, con la incorporación de nuevas tecnológicas de manejo como el raleo mecánico, poda mecánica y uso de plataformas de cosecha, se está tendiendo al uso de sistemas apoyados y delgados, como los de muro frutal o palmeta20.
La poda se realiza principalmente en el reposo de la actividad vegetativa, entre la caída de hojas y la brotación en la primavera. Se busca lograr un equilibrio en la relación hoja/brindilla, buscando dejar un número determinado de brindillas que puedan dar una producción de calidad, de acuerdo con la edad y el vigor del árbol. Generalmente se agregan además podas de verano, eliminando la vegetación vigorosa -los «chupones»-, principalmente en plantas en formación y en copas densas y con poca entrada de luz y aire. Hay variaciones entre la poda realizada según la etapa del árbol, de las que se pueden destacar la poda de formación, de fructificación y de rejuvenecimiento. Los tipos de cortes que se realizan en la poda son: raleo de brindillas (eliminación de brindillas enteras y dejando 1 a 2 cm -«poda sucia»-); rebaje de ramas (cortes en madera de más de un año, disminuyendo el tamaño y dando forma a la copa); y despunte (eliminación del tercio superior de la brindilla, poco utilizado, solo en cultivares de alto cuajado, como forma de «raleo»)19. Es común la adopción de tijeras de podar eléctricas y en algunos casos neumáticas. La poda mecánica está comenzando a ser implementada. Para ello los montes deben estar preparados con esa finalidad, conducidos en «muro frutal», aunque existen experiencias de montes que tuvieron una transición desde la conducción estándar a montes aptos para el empleo tanto de la poda como el raleo mecánico20.
No es común la utilización de productos para la superación de la dormancia. Cuando son utilizados, generalmente se emplea aceite mineral, cianamida hidrogenada o una mezcla de ambos. Con estos productos se busca uniformizar la brotación y floración o anticipar la cosecha en algunos días.
El raleo generalmente es manual y es realizado antes de la lignificación del carozo. Varios productores utilizan el raleo temprano de yemas de flor, disminuyendo la competencia temprana entre estas estructuras. En el caso de usarse esta técnica, se realiza en estado de botón floral, antes de la aparición de las brotaciones vegetativas. El raleo químico es poco practicado, y cuando es utilizado, se realiza con productos quemantes y antes de la brotación vegetativa para no producir daños. El raleo mecánico es una de las prácticas que se está comenzando a adoptar. Se utilizan herramientas mecánicas de mano, generalmente acopladas al mismo equipo que se utiliza para la tijera de poda eléctrica, o se emplean herramientas acopladas al tractor (tipo «Darwin»). El monte debe estar preparado para esta finalidad21.
2.6 Principales plagas y enfermedades
2.6.1 Plagas
La grafolita (Cydia molesta, =Grapholita molesta) es la principal plaga de los frutales de carozo en Uruguay. Fue detectada por primera vez en 1935 y actualmente se encuentra en toda la zona frutícola del país22. Actualmente, esta plaga se gestiona dentro de un Manejo Regional de Plagas, que abarca más del 85 % de las plantaciones de frutales de carozo y pepita de la zona sur de Uruguay. Dentro de ese manejo, el control de grafolita y carpocapsa (Cydia pomonella) se realiza mediante la utilización de feromonas a través de la técnica de confusión sexual, complementada con el seguimiento constante de las poblaciones mediante monitoreo de daños y presencia de adultos23)(24.
La escama o piojo de San José (Diaspidiotus perniciosus, =Quadraspidiotus perniciosus) es una plaga polífaga que ataca a los frutales de hoja caduca en general, y dentro de ellos, los frutales de carozo. En ataques importantes se observa disminución del vigor y la productividad de las plantas, llegando incluso a su muerte. También ataca frutos, principalmente nectarinas que al no tener pilosidad carecen de la barrera que ella significa para el establecimiento de la plaga22.
La cochinilla blanca del duraznero (Pseudaulacaspis pentagona) es otra plaga que ataca frutales de carozo en Uruguay. Los daños se observan sobre ramas y troncos. Cuando la densidad de población de la plaga es alta puede llegar a matar esas estructuras. En general, los ataques se dan en plantas aisladas y son de mucha menor magnitud que los de piojo de San José, y debido a su aspecto blanquecino su detección es mucho más sencilla22.
Los trips son una plaga asociada al cultivo de nectarinos y cultivares de durazneros que tienen frutos de poca o corta pilosidad. Los perjuicios son atribuidos, principalmente, a Frankliniella occidentalis y Thrips tabaci. Los daños consisten en deformaciones, rugosidades en la piel, manchas pardas con aspecto de costra, plateados o blanqueados de frutos22. Además de los daños directos, existe evidencia experimental que indica la transmisión de virus (pnrsv y pdv) por acción de trips en plantas herbáceas25.
Las moscas de la fruta (Ceratitis capitata y Anastrepha fraterculus) habitualmente no generaban daños de importancia en frutales de carozo, aunque en las últimas zafras han surgido problemas asociados con estas plagas. Se realizan monitoreos con trampas Mc Phail y Jackson y, cuando la población aumenta, se realizan aplicaciones de cebos tóxicos. La eficiencia de estos tratamientos es muy dependiente del momento de aplicación y de la densidad de la plaga. Otras estrategias de control alternativas, como el trampeo masivo y la técnica de insecto estéril (tie) se están utilizando e investigando26.
Otros insectos plaga que pueden atacar con incidencia bastante dispar, dependiendo de los años y de la historia del monte, son los pulgones (Myzus persicae subsp. persicae) y las hormigas cortadoras (Atta spp. y Acromyrmex spp.). Estas últimas son especialmente problemáticas en viveros y plantaciones nuevas.
2.6.2 Enfermedades
El cultivo de durazneros y nectarinos es afectado en Uruguay, como en otras regiones de producción con clima húmedo, por una serie de patógenos que atacan a las plantas en la etapa del vivero, en producción y en la postcosecha16.
La podredumbre morena (Monilinia fructicola) es la principal enfermedad fúngica. Ataca flores, brotes y frutos. Los cultivares utilizados en nuestro país son susceptibles y las condiciones climáticas (primaveras lluviosas y veranos cálidos) favorecen su desarrollo16. El control de esta enfermedad se realiza a través de prácticas culturales (eliminación de inóculo, manejo del microclima mediante la poda y fertilización balanceada, y el correcto manejo de la cosecha y poscosecha) y con la aplicación de fungicidas. De todas formas, cuando las condiciones climáticas son favorables a su desarrollo, se torna una enfermedad de difícil control16)(27.
El torque o rulo del duraznero (Taphrina deformans) es una enfermedad que puede ocasionar la destrucción de la primera brotación en la primavera, si no se realizan medidas de control adecuadas, mediante la aplicación de fungicidas cúpricos en el momento previo a la brotación. Cuando ocurren condiciones predisponentes para esta enfermedad (períodos fríos y húmedos durante la brotación en primavera) se debe recurrir a fungicidas como el ziram16.
La viruela de la púa (Phomopsis amygdali, =Fusicoccum amygdali) era una enfermedad asociada a montes antiguos, pero últimamente se ha convertido en un grave problema sanitario en todo tipo de montes. Su importancia radica en que afecta las ramas productivas provocando su muerte, disminuyendo el número de frutos cosechados y debilitando los árboles. El síntoma puede ser confundido con M. fructicola. Sin embargo, P. amygdali produce cancros blanquecinos en las yemas muertas, sin brotar. A partir de esa yema infectada, la rama se muere hacia su parte distal y las hojas se secan rápidamente, permanecen adheridas a la rama y extendidas, produciendo el síntoma característico de «hoja bandera»16.
La mancha bacteriana o bacteriosis (Xanthomonas arboricola pv. pruni) es una enfermedad bacteriana de incidencia errática, aunque cuando las condiciones climáticas se tornan propicias a su desarrollo puede constituir el principal problema sanitario del cultivo. Su importancia radica en que provoca defoliaciones severas y daña directamente a los frutos disminuyendo su valor comercial. Las condiciones ambientales favorables a la infección son la alta humedad, y por otro lado los vientos, que asociados a lluvias aumentan la severidad de la enfermedad. Para su manejo es necesario realizar fertilizaciones balanceadas evitando excesos de nitrógeno, utilizar cortinas rompevientos (puede reducir hasta 70 % la incidencia), utilizar cultivares menos susceptibles, así como eliminar ramas con cancros. El control químico de la mancha bacteriana es preventivo y se realiza con aplicaciones de fungicidas con efecto bacteriostático16.
En la etapa de poscosecha se pueden producir podredumbres blandas ocasionada por Rhizopus stolonifer o por M. fructicola. En la etapa de vivero, se vuelven importantes las enfermedades que atacan el sistema radicular como la agalla de corona, ocasionada por la bacteria Agrobacterium tumefaciens, y enfermedades causadas por nemátodos del género Meloidogyne que causan nódulos radiculares16.
El virus de la mancha necrótica anular de los Prunus (Prunus necrotic ring spot virus, pnrsv) y el virus del enanismo de los Prunus (Prune dwarf virus, pdv) son las enfermedades causadas por virus más importantes y de mayor distribución. No existe un único síntoma relacionado a la infección por estos virus y generalmente son resultado de infecciones mezcladas entre ambos. Provocan daños serios en vivero, como bajo prendimiento de injertos, y disminuyen el vigor de las plantas. En árboles adultos, también reducen el vigor y afectan el rendimiento productivo. Pueden producir clorosis foliar, enrojecimiento, mosaico, estrías o dibujos en los pétalos de las flores de durazneros, necrosis de yemas, hojas, ramas y raíces, deformación de hojas, y enanismo total o parcial de la planta. Algunos síntomas disminuyen a medida que avanza la temporada y aumentan las temperaturas. Otros virus que han sido detectados en frutales de carozo, pero de menos importancia y distribución, son: aclsv (Apple chlorotic leaf spot virus), apmv (Apple mosaic virus) y plmvd (Peach latent mosaic viroid). No se ha detectado el ppv (Plum pox virus) causante de sharka25)(28.
3. Brasil
3.1 Historia
Las primeras plantas o semillas de frutales de hoja caduca, incluido el duraznero, probablemente llegaron a Brasil con la expedición colonizadora de Martin Afonso de Souza, entre 1531 y 1532, en la Capitania de São Vicente, donde hoy es el estado de São Paulo29.
En Rio Grande do Sul (rs), a pesar de que no se conozca el año exacto en que el duraznero empezó a ser cultivado, se sabe que, en 1820, cuando el naturalista francés Auguste Saint-Hilaire visitó Pelotas, encontró el duraznero y otras especies frutales siendo cultivadas. Según Grando30, Ambrósio Perret y Amadeo Gastal fueron pioneros en la implantación de montes comerciales en el municipio de Pelotas, rs. Amadeo Gastal fue hasta Francia en 1867 y de ahí importó conocimientos y maquinaria, produciendo las primeras compotas de durazno en 187830. Por esta razón, prácticamente desde el inicio del cultivo del duraznero en el sur del Brasil, o mejor, en el sur de Rio Grande do Sul, se priorizó la fruta para industria.
En 1880, según relatos, había más de 100.000 plantas de durazneros en los alrededores de Pelotas, con frutos destinados principalmente para la fabricación de compotas31. Pero fue en 1900 cuando surgió la primera industria con esta finalidad, en el medio rural de Pelotas, en la Colonia Santo Antonio, la Quinta Pastorello30. Posiblemente, por estas razones, el programa de mejoramiento genético en Rio Grande do Sul priorizó, inicialmente, la obtención de cultivares en que los frutos fueran destinados para la industrialización, si bien, aunque en menor proporción, existían líneas dedicadas al desarrollo de cultivares para fresco. A partir de los años 2000-2002, las dos líneas empezarán a tener la misma importancia, o incluso mayor peso tomarán las líneas de duraznos de mesa. Por otro lado, el Programa de Mejoramiento Genético del Duraznero, conducido por el Instituto Agronômico de Campinas (São Paulo), se dedicó, casi exclusivamente, al desarrollo de cultivares para consumo en fresco.
3.2 Superficie y producción
De la misma manera como pasó en la mayoría de los países del mundo, el área cultivada y la producción, a lo largo de los años, sufrieron variaciones y algunas nuevas regiones que no eran tradicionalmente productoras de durazno hoy son importantes en la producción de esta fruta. Es interesante observar que a partir del año 2000 hubo una reducción en el área plantada, pero la producción total aumentó (Figura 3), evidenciando incrementos progresivos en la productividad7)(32. También es importante destacar que, aunque Brasil tiene un amplio territorio, menos de 1/5 del área es apta para la producción de frutales de carozo.
Según los últimos datos disponibles, la producción nacional hoy está próxima a las 220.000 toneladas (Tabla 1). En Rio Grande do Sul se produce más del 66 % del total nacional, seguido por los estados de São Paulo, Santa Catarina, Paraná, Minas Gerais y Espírito Santo31.
Tabla 1: Producción y área cultivada de durazno en 2018 en Brasil

Fuente: según datos del IBGE (Instituto Brasileiro de Geografia e Estatística)32.
La mayor concentración de la producción de duraznos para industria está en el sur de rs, ocupando de acuerdo con datos de la Oficina Municipal en Pelotas de Emater/rs un área de 6.120 ha y siendo la actividad principal para más de 1.200 productores. El estado de São Paulo, que produce exclusivamente para el mercado en fresco, presenta la mayor productividad promedio del país, en torno a 23 toneladas por ha, mientras el promedio en el sur de RS se sitúa cerca de 11 toneladas por ha.
3.3 Mejoramiento genético y cultivares
La producción brasileña es destinada al mercado interno y los programas de mejoramiento tienen como objetivo el desarrollo de genotipos que atiendan las preferencias del consumidor nacional. Estas preferencias, no obstante las particularidades de cada Estado o región y a pesar de variables en el tiempo y el espacio, pueden ser generalizadas como duraznos de tamaño grande y carozo suelto, con pulpa amarilla, para el sur de Brasil y algunas áreas del sureste33. La pulpa blanca, dulce, jugosa predomina en el gusto de los grandes mercados brasileros como São Paulo y Rio de Janeiro.
En Brasil, el durazno tradicional, redondo o cónico aún se mantiene como la principal preferencia del consumidor. Se diferencia de otros países donde la nectarina y el durazno chato (Prunus persica var. platicarpa) pasaron a tener más importancia. Incluso en algunas partes del mundo el área cultivada con nectarinos está siendo expandida, mientras que la de durazneros permanece estable.
3.3.1 Cultivares
Con excepción de Tropic Prince, Tropic Beauty y algunos nectarinos, casi la totalidad de los cultivares plantados en Brasil tienen origen en los programas nacionales de mejoramiento, principalmente de Embrapa y del Instituto Agronômico de Campinas. Los cultivares más plantados para consumo en fresco son: ps Precoce, ps Tardio, Tropic Beauty, Aurora, Douradão, brs Rubimel, brs Kampai y brs Fascínio, en las áreas de mayor temperatura, como en la región sureste de Brasil (sp, mg y es); Chimarrita, brs Regalo, brs Rubimel, brs Kampai y brs Fascínio, en los estados del sur del Brasil; y los cultivares Coral, Eragil, Chiripá, Della Nona y Barbosa, principalmente en las áreas productoras con más altitud, en Rio Grande do Sul y Santa Catarina. En localidades de mayor temperatura, principalmente en el sudeste brasileño, aún se encuentran montes con los cultivares Aurora 1 y 2; Douradão; Dourado 1 y 2; Biuti, Flordaprince, Premier, Ouromel, además de otros en pequeñas áreas.
Los nectarinos son más plantados en el Sureste que en la región sur y predominan los cultivares estadounidenses Sunblaze, Sunraycer, Sunripe y el cultivar brasileño Josefina34.
Entre los cultivares destinados a la industrialización, los que ocupan mayor área son brs Bonão, Sensação, Esmeralda, Jade, Granada, Maciel, Santa Áurea, Jubileu, y otros de menor expresión.
Cultivares más recientes, como brs Âmbar, brs Citrino y brs Jade para industria, y brs RubraMoore y brs Serenata, para consumo en fresco, comenzaron a ser plantados en los últimos años.
El período de cosecha en el Rio Grande do Sul se extiende, generalmente, de octubre hasta enero (Figura 4). En São Paulo y otros estados de la región sureste de Brasil, debido al uso de la poda diferenciada y productos para la superación de la dormancia, la cosecha se inicia en setiembre.
En total, existen 172 cultivares de durazneros, nueve de nectarinos y un cultivar de duraznero chato en el Registro Nacional de Cultivares (rnc) del Ministério da Agricultura, Pecuária e Abastecimento (mapa). De todas formas, esas cifras no reflejan la realidad, ya que existen cultivares antiguos que nunca fueron registrados y otros cultivares que están registrados pero no son plantados.
Los cultivares de portainjertos más utilizados son Okinawa en el sudeste del país y Capdeboscq en el sur. Durante mucho tiempo fue utilizado el cultivar Aldrighi, pero hoy ya casi no hay plantas de este cultivar.
3.4 Manejo del monte
La corrección fisicoquímica del suelo de plantío es aconsejada con base en análisis de suelo. Algunos hacen subsolado y arada, mientras otros usan solamente arada y, finalmente, unos pocos usan disquera o plantación directa. En suelos con mayores pendientes se utiliza la plantación en curvas con pequeño desnivel.
Es recomendada la plantación de cortinas vegetales rompevientos, preferentemente, antes de la implantación del monte, para ayudar en la prevención de la incidencia de Xanthomonas arboricola pv. pruni.
Después de la plantación, iniciando a los 30-40 días, se realizan fertilizaciones nitrogenadas periódicamente para favorecer el crecimiento vegetativo de las plantas. A partir de la entrada en producción, son recomendadas fertilizaciones con N y K o N, P y K, dependiendo del análisis foliar. Algunas veces es necesaria la aplicación de micronutrientes. Diversos productores usan fertilizantes foliares y varios se basan en las recomendaciones de los vendedores.
El marco de plantación utilizado en el monte depende mucho del cultivar, del portainjerto y del objetivo del fruticultor. En correspondencia con ello, el tipo de conducción de la planta dependerá de la densidad de plantación, del portainjerto y de la copa. Las plantaciones más antiguas tenían 5 o 6 m entre filas y 3 hasta 4 m entre plantas. Actualmente, la distancia entre filas se mantiene y entre plantas se redujo a 2,5 y hasta 1,5 m.
El monte en general es mantenido con pastera en las entrefilas y limpio con herbicida o carpidas en la fila (esta última, principalmente en plantas hasta uno o dos años). No es raro la utilización de un cultivo, como avena negra, por ejemplo, en las entrefilas, la cual es cortada y acostada con un cilindro («rolo faca») antes de semillar.
3.5 Manejo de la planta
El sistema de conducción más utilizado en Brasil durante muchos años fue el de vaso abierto y, luego, el cono invertido. En los últimos años se ha utilizado más la conducción en «Y» con dos o cuatro líderes, y más recientemente el llamado «muro frutal», que es similar al sistema palmeta.
Generalmente, se hacen podas de verano e invierno. La finalidad de la poda de verano es principalmente la retirada de ramas enfermas o mal ubicadas en la planta, para permitir que entre más luz en el interior de las plantas. La poda de invierno es más detallada. Entre varias de sus finalidades, una es mantener las frutas más próximas a las ramas principales (estructurales). Hay variaciones entre la poda realizada en la región sureste (más drástica después de la cosecha) y en el sur. Sin embargo, normalmente se hace la poda de ramas productivas y un despunte más grande o pequeño, dependiendo del conocimiento de la capacidad de fructificación efectiva (cuajado) del cultivar35.
En regiones de mayor temperatura y menor acumulación de frío invernal, es común la utilización de productos para el rompimiento de la dormancia. Esta aplicación permite a su vez uniformizar la brotación y la floración, o en función del momento y concentración del producto también logra anticipar la cosecha.
La mayoría de las veces, la poda y el raleo son manuales, pero hay productores que utilizan plataformas para evitar la necesidad de escaleras, y es bastante aceptado el uso de tijeras neumáticas y similares, para agilizar el trabajo. También se está iniciando el uso del raleo mecánico, comúnmente con equipos manuales. Pocos fruticultores usan raleo químico.
3.6 Principales plagas y enfermedades
3.6.1 Plagas
La mosca de la fruta (Anastrepha fraterculus) es considerada la principal plaga del cultivo de frutales de carozo. El control se hace primeramente con el monitoreo, con trampas con atractivos, con pulverizaciones de cobertura y, además, son aplicados semanalmente cebos tóxicos (preparados con atractivo alimenticio con base proteica, azúcar, agua e insecticida). Otra especie que causa considerables daños es la mosca del mediterráneo (Ceratitis capitata)36.
Otros insectos-plaga importantes son la grafolita (Grapholita molesta), la cochinilla blanca del duraznero (Pseudaulacaspis pentagona), y las hormigas cortadoras (Atta spp. y Acromyrmex spp.). La incidencia de áfidos (pulgones) es, generalmente, en focos y su control es relativamente sencillo.
Esporádicamente, también pueden aparecer escolítidos (Scolytus rugulosus spp.) y trips. Del mismo modo, es ocasional la presencia de ácaros, considerada una consecuencia del uso de algunos insecticidas que matan a sus enemigos naturales. En el sur del Rio Grande do Sul, una plaga de difícil control y que aparece próximo al momento de la cosecha de los frutos es el gorgojo del maíz (Sitophilus zeamais), que puede causar en algunos años considerables perjuicios económicos. El control debe ser realizado en los galpones con granos almacenados, ya que es extremadamente difícil de controlar en el monte debido a que los insectos en general se alojan en la cavidad peduncular, quedando razonablemente protegidos de los insecticidas de contacto. El mayor perjuicio del gorgojo es el daño indirecto, porque abre una puerta para la entrada de la podredumbre morena (Monilinia fructicola), facilitando la podredumbre de los frutos.
Recientemente, el piojo de San José (Quadraspidiotus perniciosus), de difícil control, volvió a atacar los montes del sur del Brasil, causando mucha preocupación.
3.6.2 Enfermedades
En plantas jóvenes que aún no entraron en producción, las enfermedades más importantes son la bacteriosis (Xanthomonas arboricola pv. pruni), que causa lesiones en hojas, cancros en ramas y caída de hojas; la roya (Transchelia discolor), que causa lesión en hojas y su posterior caída; cancros en ramas causados por hongos de los géneros Botryosphaeria, Cytospora y Phomopsis; y el torque (Taphrina deformans), que causa deformaciones y posterior caída de hojas37.
En plantas adultas, la enfermedad económicamente más importante es la podredumbre morena, causada por el hongo Monilinia fructicola, que en algunas situaciones puede causar lesiones en el 100 % de los frutos. No obstante, ese hongo ataca también flores, causando la podredumbre de estas (blossom blight) y de las ramas, originando cancros.
Otras enfermedades importantes son: como ya se mencionara, la bacteriosis, que puede ocurrir en plantas jóvenes y en plantas adultas, donde además de causar síntomas generalmente en las hojas, también afecta a los frutos, bajo algunas condiciones y en cultivares susceptibles; la antracnosis (Glomerella cingulata), que en rs causa daños en frutos en fases iniciales del desarrollo; la gomosis, que puede ser causada por diferentes microorganismos o hasta por daños mecánicos. Pero la enfermedad más importante es causada por Botryosphaeria dothidea, que debilita la planta y puede llevarla a la muerte, mientras la roya de la hoja (Tranzschelia discolor) lo es en montes de la región sureste. Además de esas enfermedades, también pueden aparecer oídio, cancro de Leucostoma, podredumbre de la raíz del duraznero y, en la poscosecha, pueden aparecer podredumbres blandas por Rhizopus o Botrytis, y podredumbre por levadura (Geotrichum candidum)38.
Otro problema muy importante, principalmente en los montes del sur de Brasil, es el síndrome de la muerte prematura del duraznero, atribuido a un complejo de causas ambientales, daños provocados por el frío, bacterias, nematodos (principalmente Mesocriconema xenoplax) y la variabilidad de la identidad genética de los portainjertos (muchas veces de origen desconocido), entre otros factores que alteran la capacidad de soportar estrés39.
En cuanto a los nematodos, las especies más frecuentes en montes y más asociadas a daños de importancia económica son el causante de los nódulos radiculares (Meloidogyne spp.) y el nematodo del anillado (Mesocriconema xenoplax). En Rio Grande do Sul, ha sido observada una asociación constante entre M. xenoplax y el síndrome de la muerte prematura del duraznero40.
4. Argentina
4.1 Historia
Durante el siglo xvi y de la mano de las diferentes corrientes colonizadoras españolas provenientes del Alto Perú, por un lado, y la corriente del Río de la Plata, por el otro, ingresaron al territorio argentino las primeras plantas pertenecientes a especies frutales de clima templado.
Recién hacia finales del siglo xix y principios del xx se comenzaron a establecer los primeros emprendimientos comerciales en zonas del país con características ambientales muy diferentes entre sí y que dieron a la actividad su impronta regional.
En el noreste de la provincia de Buenos Aires, región con características templado-húmedas, la fruticultura tuvo sus comienzos a fines del siglo xviii. Las primeras plantaciones frutales datan de 1750 y correspondieron a una pequeña parcela implantada con cítricos por frailes franciscanos en su convento.
El inicio del cultivo de duraznero con fines comerciales tuvo lugar a finales del siglo xix con la llegada al país del técnico agrónomo Henry Garret en 1890. Según sus conocimientos acerca de la actividad frutícola, el inmigrante argumentaba que la zona poseía una excelente fertilidad y el clima propicio para el desarrollo del cultivo. Los factores edáficos y climáticos para el crecimiento del cultivo de duraznero estaban potenciados por la ventaja geográfica, en relación con la escasa distancia a los mayores centros de consumo del país41.
Conjuntamente con la implantación de durazneros en el noreste de la Provincia de Buenos Aires, se plantaron también perales y manzanos; pero estas dos últimas especies no alcanzarían mayor desarrollo en la región por cuestiones fitosanitarias y, fundamentalmente, por la consolidación de la actividad frutícola en el norte de la Patagonia.
En el oeste del país, la provincia de Mendoza se constituyó, desde 1885, como núcleo de la región vitivinícola argentina, seguida por San Juan y caracterizada por la especialización en vitivinicultura, como consecuencia de las políticas de exención impositiva entre 1881 y 1902. El predominio casi excluyente de la vid solo eventualmente se alternó con frutales para consumo familiar, o bien, para el mercado urbano local. No obstante, ya en 1907, y como probable consecuencia de las crisis cíclicas de sobreproducción que afectaron a la vitivinicultura, se inició el estímulo de cultivos accesorios entre los cuales se ubicaban los frutales de carozo y el olivo.
A mediados de 1930 la región del Valle de Río Negro y Neuquén (norte de la Patagonia) se consolida como una economía regional frutícola cuando la comercialización de sus dos productos más relevantes -manzana y pera- comienza a tener una fuerte orientación hacia el mercado externo. En lo que respecta a vías de comunicación, el ferrocarril fue un factor clave para el acercamiento de estos productos, que incluyeron también duraznos y ciruelas, a los mayores centros consumidores del país ubicados en el área metropolitana.
La promoción de cultivos frutícolas en los Valles Templados del noroeste argentino (noa) se inicia hace más de 50 años, a partir de la implementación del Plan Cambio Tabacalero, incentivado por la Cámara del Tabaco de Jujuy. El objetivo del Plan fue complementar la producción tabacalera -principal actividad del área- diversificando los ingresos y disminuyendo riesgos. En esa oportunidad se fomentó la introducción de cultivares de durazneros, almendros, higueras y chirimoyos, entre otras especies. La producción de duraznos fue la de mayor incidencia y muestra, hoy, un continuo crecimiento42.
4.2 Superficie y producción
Mendoza, a pesar de que en los últimos 10 años ha sufrido una fuerte disminución de la superficie ocupada por frutales de carozo, sigue siendo la principal provincia productora con destino tanto a fruta fresca como industria, y concentra el 79 % del total nacional. Le sigue la provincia de Buenos Aires con el 9 % (Tabla 2).
La cadena de frutas de carozo, junto con la vid, es una de las más atomizadas en el país, ya que existen producciones en prácticamente todas las provincias, donde se destacan la producción de duraznos tempranos en provincias como Misiones y Jujuy, por citar ejemplos.
Por otro lado, Mendoza concentra la totalidad de la producción argentina de duraznos para industria con cerca de 7.000 ha implantadas. Desde el año 2005 el sector productor mendocino ha mostrado una producción creciente, llegando a producir 183.000 toneladas en la temporada 2008/0943)(44. Ese crecimiento también se ve reflejado en la producción nacional, llegando a picos de 300.000 toneladas (Figura 5)7.
El noreste de la provincia de Buenos Aires alberga una importante producción de frutas, fundamentalmente cítricos (naranja) y frutales de carozo (durazno y nectarina) para mercado fresco. El área informada es el corredor tradicional que incluye los partidos desde Zárate hasta San Nicolás, pero la zona de San Pedro concentra la mayor superficie plantada y los servicios relacionados a la actividad.
Tabla 2: Superficie plantada con frutales de carozo en las principales provincias productoras (ha)* en Argentina

*Se consignan únicamente superficies mayores a 300 ha por provincia, dada la atomización de esta cadena productiva.
En el norte de la Patagonia, ha disminuido la superficie con frutales de carozo (duraznero, nectarino, ciruelo, cerezo): Río Negro tiene 583 ha menos respecto a 1993, y Neuquén 682 ha menos respecto de 2002. En este contexto, la superficie con cerezos creció significativamente en Río Negro y prácticamente se mantuvo en Neuquén con algunos picos de crecimiento en 2010-11 y 2016-17. El resto de las especies registra una disminución de la superficie plantada.
En el noa, principalmente el sector frutícola de Jujuy a lo largo de los últimos años creció y se posicionó en un lugar diferenciado. Específicamente, la producción de duraznos y nectarinas fue lo que más se destacó. La oferta de fruta de primicia y extra-primicia, no equiparable a ninguna otra zona del país, ofrece grandes ventajas competitivas en los mercados nacionales42.
4.3 Mejoramiento genético y cultivares
Hasta el momento en el país, solo el Instituto Nacional de Tecnología Agropecuaria (inta) ha encarado este tema como una verdadera disciplina, con el propósito de asegurar a la fruticultura nacional una evolución propia. La producción nacional de frutales de carozo se basa principalmente en cultivares de origen extranjero adaptados a las condiciones locales de cultivo.
Desde 1956 y 1962, respectivamente, las Estaciones Experimentales Junín (Mendoza) y San Pedro (Buenos Aires) han llevado a cabo actividades en la selección de nuevos cultivares con elevada productividad asociada a alta calidad de fruto, sin dejar de considerar otros aspectos tales como buena resistencia al manipuleo y que cubran en su conjunto un amplio calendario de oferta.
Si bien la intensidad de las actividades de mejora en el inta estuvo sujeta a altibajos ligados a cuestiones presupuestarias e institucionales, por otro lado, la introducción y la evaluación agronómica de materiales (cultivares y portainjertos) originados en programas extranjeros nunca fueron afectadas considerablemente. Producto de estas actividades, y a partir de los materiales originados e introducidos, se difundió un número importante de cultivares empleados comercialmente.
En términos generales, los caracteres que se intenta incorporar al espectro varietal que actualmente cubre la temporada productiva nacional comprenden:
Nectarinas y duraznos para mercado fresco, de fecha de maduración temprana: buen calibre de fruto, carácter prisco, firmeza de pulpa y coloración de la piel rojo brillante, fecha de floración media o tardía.
Nectarinas y duraznos para mercado fresco, de fecha de maduración tardía: 80-100 % de sobre color rojo en la piel y carácter prisco.
Duraznos de pulpa blanca, para mercado fresco: adecuada resistencia a manipuleo y transporte, asociada a alta calidad de fruto y extensión del calendario de oferta.
Nuevos cultivares de pulpa blanca aptos para la industrialización.
Hasta el presente, el programa desarrollado en el inta ha creado y liberado un número significativo de cultivares comerciales de Prunus. Desde el comienzo de sus actividades, las eea Junín y San Pedro han difundido exitosamente, a nivel regional y nacional, más de 300 cultivares de Prunus (duraznero, nectarino, damasco, almendro y ciruelo). Se destacan en nectarinas Aniversario inta, Silvia inta, Obligado inta, Nectarrojo inta, Osvaldo inta y Valentín inta; y los durazneros Carolina inta, Milenio inta, Don Carlos inta y Querandí inta45.
Con referencia a la actividad en los Valles Templados del noa y ante la falta de alternativas varietales para la zona, a partir del año 2006, se iniciaron trabajos de introducción, evaluación y selección de cultivares desarrollados en otras zonas productivas. Los avances logrados son producto de la interacción interinstitucional y la vinculación público-privada (inta, Facultad de Ciencias Agrarias de la Universidad Nacional de Jujuy (fca-unju), Latser s.a. y Latitud Sur s.a.) en campos de productores.
Los resultados permitieron ampliar el abanico de cultivares con posibilidades en la zona, que incluyen varias selecciones desarrolladas en programas de mejoramiento de Estados Unidos, e introducidos por la eea inta San Pedro. Recientemente se concretó la inscripción en el inase del primer cultivar de nectarino registrado para esta zona productiva: Don Basilio.
Estos cultivares tienen características de primicia y extraprimicia, con bajo requerimiento de frío (200-300 horas de frío por debajo de 7,2 °C). Desde hace tres años se inició un programa de mejoramiento genético, a partir de cruzamientos dirigidos en durazneros y nectarinas, rescate y cultivo de embriones, con el objetivo de obtener cultivares de floración y cosecha temprana, con características superiores en adaptabilidad a la zona. Los primeros materiales logrados se encuentran en proceso de evaluación42.
4.3.1 Cultivares
Actualmente, la provincia de Mendoza cuenta con más de 35 cultivares de duraznero para industria, implantados. Más del 90 % de la superficie cultivada está representada por los siguientes cultivares Pavie Catherine, Fortuna, Loadel, Carson, Bowen, Andross, Ross, Dr. Davis, Rizzi, Everts, Riegels, Hesse y Sullivan’s Late (Figura 6A)46)(47.
En cuanto al durazno y la nectarina para consumo en fresco, cuyo principal destino es el mercado interno y la superficie implantada ha ido creciendo, se favorece su implantación en todos los oasis (zonas de regadío), con excepción del sur; al tiempo que se apunta a cultivares de cosecha temprana, ya que hay poca oferta de primicia, y alto potencial productivo. Pese a que los cultivares más utilizados en Mendoza son June Gold y O'Henry, productores y empacadores sugieren optar por otros como Rich Lady, Sweet September, Venus, María Bianca, Big Top y August Red (Figura 6A)46)(47.
En el noreste de la provincia de Buenos Aires el espectro de cultivares adaptados a las condiciones agroecológicas de la región y disponible para el productor es amplio. La época de cosecha se extiende desde finales de octubre hasta finales de enero, aunque en los últimos años se ha observado una tendencia a la plantación de cultivares más tardíos. La mayor parte de la superficie plantada comprende a los cultivares Flordaking, June Gold, Ginart, Flavorcrest, Forastero; Flamecrest; Red Globe, Dixiland, Fayette y Late Dwarf. De todas maneras, también se cultivan otros cultivares, como Rojo 2, Opedepe, Rubyprince, Aniversario inta, Southern Pearl, María Bianca, Elegant Lady, Summer Pearl, entre otros (Figura 6B)45.

Figura 6: Época de maduración de los principales cultivares implantados en las dos provincias con mayor producción de duraznos y nectarinas, Mendoza (A) y Buenos Aires (B) (Argentina)
En el norte de la Patagonia los cultivares con mayor superficie implantada en los últimos 10 años son O’Henry, Elegant Lady, Rich Lady y María Bianca. Con referencia a los cultivares de nectarinos, el análisis de las plantaciones menores a 10 años de edad muestra que Caldessi 2000, Artic Snow, Fairlane, Venus, August Red, Big Top y Caldessi 2010 son los más elegidos.
En la zona productora del noa se utilizan cultivares extratempranos y tempranos (septiembre, octubre y parte de noviembre), los que aportan cerca del 22 % del volumen total, poniendo de relieve su importancia en el mercado interno de duraznos frescos de Argentina. Al respecto, el ingreso de la fruta de esta zona marca la tendencia de la temporada. Por ello, la importancia de esa provincia no se debe al volumen ofertado sino a la época de ingreso, que la convierte en la principal zona de primicia de duraznos de Argentina. Se plantan cultivares como: Flordastar, Flordagem, Rojo Dos, Rojo Tres, Opedepe, Hermosillo, Don Agustín y Don Basilio42.
En total, existen 152 cultivares de durazneros y 37 cultivares de nectarinos y un cultivar de duraznero chato en el Catálogo Nacional de Cultivares del Instituto Nacional de Semillas (inase). Cabe aclarar que hay cultivares que están registrados, pero no son plantados, y otros que no están registrados, pero sí son plantados.
Los cultivares de portainjertos mayoritariamente empleados son Cuaresmillo, Nemared y Nemaguard. De todas maneras, existe un creciente interés por el empleo de portainjertos clonales, tal el caso de varios híbridos de almendro×duraznero. En las zonas productoras del oeste y norte del país predominan los portainjertos Nemaguard y Nemared, mientras que en la zona central y litoral argentino es el Cuaresmillo el portainjerto más difundido. La distribución regional en el empleo de estos portainjertos está ligada a diferentes aspectos, entre los cuales resaltan las características de suelo y sanitarias.
4.4 Manejo del monte
En las zonas productoras del oeste argentino y en el norte de la Patagonia, el cultivo comercial de duraznero se desarrolla en condiciones excluyentes de regadío. Los sistemas empleados han ido evolucionando desde aquellos gravitacionales al empleo de sistemas presurizados de riego localizado.
En el noa y la región del noreste de la provincia de Buenos Aires, es común el cultivo en condiciones de secano, aunque ha ido cobrando importancia la consideración de sistemas de riego complementario.
El manejo de suelo ha ido variando a través de los años, cuestión común a todas las regiones productoras de Argentina. Actualmente, se recurre a laboreo mecánico del terreno principalmente en la etapa de plantación y durante los dos o tres primeros años de vida del huerto. Con posterioridad a este período es frecuente el control de malezas en las entrefilas con desmalezadora y el uso de herbicidas aplicados «en banda» sobre la fila de plantación.
Se agrega a lo mencionado la necesidad de recurrir al empleo de sistemas activos para el control de heladas tardías y la instalación de estructuras antigranizo. La frecuencia e intensidad de estas adversidades dependen de la región productora en particular.
Es habitual recurrir a análisis de suelo y la complementación con análisis foliares a los efectos de definir las pautas de fertilización.
En algunas de las regiones productoras se han incorporado avances tecnológicos incorporados al sector, tales como el uso de plataformas para trabajos de poda, raleo, cosecha. El inicio de cosecha se determina con base en recomendaciones de las instituciones de la región.
El marco de plantación es otro aspecto que ha ido variando con el tiempo y tendiendo a una mayor intensificación en el uso de la superficie a través del aumento de la densidad de plantas por ha. Difícilmente se encuentren plantaciones con menos de 600 plantas por ha y es cada vez más frecuente encontrar montes que alcanzan 1000-1100 plantas por ha. Desde ya que esto va acompañado por una necesaria adecuación de los sistemas de conducción utilizados, ya sean libres o apoyados42)(48, no disponiéndose al presente de portainjertos que reduzcan el vigor de la copa.
4.5 Manejo de la planta
El sistema de conducción más comúnmente utilizado durante mucho tiempo en Argentina, aunque con variantes entre las distintas zonas productoras más tradicionales, fue el vaso abierto, caracterizado por una gran importancia en la formación de una estructura predominante. Con el transcurso del tiempo y la necesidad de adaptación a diferentes condiciones ambientales características de zonas productivas muy disímiles entre sí, se fueron ajustando formas adaptadas a formas libres y formas apoyadas. Así se involucran sistemas de eje central, con un mayor o menor desarrollo del volumen de la copa, o la evolución hacia vasos abiertos con estructuras simplificadas o la formación de plantas multilíderes.
Se realiza poda invernal con eventual complemento de poda verde, según el cultivar, sistemas de conducción y condiciones ambientales de la zona de cultivo, donde juega un papel importante la estrategia empresarial. Los criterios de poda son también variables en función de los mismos conceptos. En términos generales, se tiende a que el raleo de ramas predomine sobre el acortamiento, aunque de todas maneras y según las particularidades locales existen variaciones. Por ejemplo, en la zona del noa se emplea más la poda corta que cualquier otra opción. Con referencia específicamente a la poda de fructificación, es relevante el privilegio que se asigna a las ramas cargadoras ubicadas directamente sobre las ramas principales o lo más cercano a ellas.
Si bien se pone especial atención en la elección de los cultivares en función de las condiciones regionales de cultivo, es real el uso eventual de productos destinados a promover la superación de la dormancia y favorecer la floración y brotación en años en los cuales las condiciones invernales no son las adecuadas42)(43)(48.
El raleo de frutos es manual, aunque existen experiencias en el uso de otras alternativas tales como la operación mecánica o el uso de raleadores químicos, aunque, en la mayoría de los casos, no se consideran prácticas ajustadas y con resultados consistentes.
El raleo de frutos, en cuanto a intensidad y momento de ejecución, está condicionado por los mismos factores mencionados antes al hacer referencia a la poda.
Esas operaciones son realizadas en algunas zonas productivas mediante el auxilio de plataformas, pero no es habitual en otras donde se recurre al uso de escaleras. De todas maneras, en estos últimos casos se ha ido tendiendo a regular la altura de las plantas a los fines de reducir el uso de aquellas y minimizar la incidencia del costo de la mano de obra en estas tareas.
4.6 Principales plagas y enfermedades
Con referencia a plagas y enfermedades existen denominadores comunes entre las diferentes zonas productoras argentinas, si bien la importancia relativa de cada una varía en muchos casos. En todos los casos se promueve y los esfuerzos van dirigidos a la adopción de estrategias de control o prevención en el marco de sistemas de manejo integrado.
4.6.1 Plagas
La mosca de la fruta (Ceratitis capitata) es una plaga denominada «primaria» o «clave» principalmente en el noreste de la provincia de Buenos Aires. En el Cuyo (oeste de Argentina) y norte de la Patagonia, las condiciones ambientales no son las más adecuadas para el desarrollo de la plaga y existen programas (barreras sanitarias, programas de erradicación) que tienen por objetivo principal mantener el aislamiento de esas regiones. En el caso del noa, las características de producción extratemprana y temprana favorecen que la incidencia de esta plaga no sea significativa.
Otra especie, Anastrepha fraterculus, está también difundida de manera diferencial según las zonas, pero suele tener mayor importancia en la zona norte patagónica.
El control de la mosca de la fruta se basa en la complementación de sistemas de monitoreo y tratamientos con insecticidas. Se ha ido avanzando hacia el uso de herramientas de control que minimicen el uso de agroquímicos, como es el uso de trampas de captura y eliminación al tiempo que se recurre, cada vez más, al uso de insecticidas específicos.
La polilla del duraznero (Cydia molesta) es un insecto difundido en la mayoría de las zonas productoras. La estrategia de control se basa en los mismos fundamentos aplicados para la mosca de la fruta, referidos a estrategias de monitoreo y control.
Diferentes tipos de cochinillas tienen importancia variable según las zonas productoras, razón por la cual pueden considerarse plaga primaria o no según la situación. En este grupo se incluyen la cochinilla blanca del tronco (Diaspis pentagona) y el piojo de San José (Quadraspidiotus perniciosus). En general, se recurre al uso de aceites minerales durante la época otoño-invernal y la complementación con insecticidas en momentos específicos de sensibilidad de la plaga.
Otras plagas, tales como pulgones (Myzus persicae, Brachicaudus schwartzi y Brachicaudus persicae), trips (Frankliniella occidentalis, F. schultzei, etc.) y arañuelas (Tetranychus urticae, Panonychus ulmi y otras), al igual que lo mencionado para las cochinillas, tienen importancia diferencial según las regiones. En general, condiciones de baja humedad favorecen su incidencia y se recurre al empleo de insecticidas específicos y tratamientos focalizados para su control.
Los nemátodos, principalmente los pertenecientes al grupo de los agalladores (Meloydogine spp), deben ser muy tenidos en cuenta en algunas zonas productoras del oeste y del noroeste. En estas situaciones se recurre básicamente al empleo de portainjertos resistentes o tolerantes49.
4.6.2 Enfermedades
En términos generales, las zonas de clima templado húmedo presentan relativamente mayor incidencia de enfermedades provocadas por hongos y algunas bacterias que se ven favorecidas por dichos ambientes. De todas maneras, ninguna de las zonas productoras de Argentina está exenta, aun aquellas de clima seco, cuando eventualmente se dan años con mayores niveles de humedad.
La podredumbre morena (Monilinia fructicola y M. laxa) es la enfermedad que mayores daños económicos ocasiona en las zonas húmedas de cultivo del duraznero. Se manifiesta con mayor intensidad en primaveras y veranos húmedos, pudiendo ocasionar importantes pérdidas de producción y serios problemas de comercialización. Las flores atacadas se vuelven pardas, se marchitan y suelen quedar envueltas en una masa gomosa. Los brotes y las ramas atacadas presentan cancros y la muerte de la porción distal desde el cancro al ápice. Las hojas ubicadas en brotes afectados mueren, quedando adheridas al mismo. Los frutos atacados se pudren, tanto en el campo como en el almacenamiento, el transporte o la comercialización. Para su prevención es importante una estrategia de manejo integrado. La reducción de la presión de inóculo se logra retirando los frutos no cosechados y evitando dejar frutos momificados sobre la planta. Las podas oportunas y el quemado de ramas enfermas también contribuirán a eliminar restos del patógeno. Las pulverizaciones de otoño e invierno tienen como objetivo reducir la supervivencia del hongo sobre la planta. Se recomienda realizar tratamientos preventivos, durante el período de floración, desde el 5 % de flores abiertas, hasta floración. Se hace hincapié en que los tratamientos en floración son muy importantes para reducir la incidencia de la enfermedad en etapas posteriores del cultivo.
El torque (Taphrina deformans) es un hongo que puede afectar hojas, brotes, flores y frutos. Es favorecido por bajas temperaturas y alta humedad en el comienzo de la brotación. La temperatura óptima para el crecimiento del hongo es de 20 °C, con un mínimo de 8,9 °C y un máximo entre 26 y 30 °C. La humedad relativa requerida para la infección debe ser mayor a 95 %.
En otoño, al final de la caída de hojas y en invierno después de la poda, se recomienda realizar un tratamiento en forma preventiva, asegurando un buen mojado de las plantas. En años extremadamente húmedos, y en cultivares muy susceptibles, se recomienda una tercera pulverización, a fines de invierno, justo antes de que las yemas foliares comiencen a abrir.
La sarna (Cladosporium carpophilum) es un hongo que ataca a los distintos órganos aéreos de la planta (hojas, ramas y frutos). Predisponen a esta enfermedad la humedad entre 70 y 100 % y las temperaturas entre 15 y 30 °C, con un óptimo de 25-30 °C. Para su prevención se realizan tratamientos en diferentes momentos: el primero al caer las envolturas florales o dehiscencia del cáliz; el segundo cuando el fruto tiene 1 cm de diámetro, y el tercer tratamiento a los 15 días del segundo. Es importante evitar plantar cultivares susceptibles.
El mal de la munición o viruela (Wilsonomyces carpophilus) causa muerte de yemas, las cuales quedan recubiertas de un exudado gomoso y se observan lesiones en las ramas. También ocasiona daños en hojas y frutos. En las hojas cae la zona afectada, quedando el aspecto de un disparo de bala. Se efectúan tratamientos otoñales a fin de reducir la supervivencia del patógeno de un año al otro. En caso de ataques intensos de viruela en las hojas durante la brotación, se recurre a un segundo tratamiento en el momento de caída de envolturas florales, cuando el fruto es más susceptible.
La mancha bacteriana (Xanthomonas arboricola pv. pruni) provoca síntomas en hojas, flores y frutos. Esta bacteriosis se ve favorecida por temperaturas óptimas entre los 24-29 °C. La ocurrencia de lluvias frecuentes permite la dispersión de las bacterias. Entre las medidas que ayudan a reducir la incidencia de esta enfermedad se encuentran: evitar utilizar cultivares muy susceptibles, utilizar cortinas rompevientos, evitar los desbalances nutricionales que provoquen un desarrollo excesivo del follaje y tejidos suculentos, así como también podar y quemar ramas con cancros50)(51.
Más allá de lo descripto, existen otras enfermedades que afectan a durazneros y nectarinos. Algunas causadas por hongos como roya (Tranzchelia sp) y tizón de brotes (Phomopsis amygdali); otras por bacterias como agalla de corona (Agrobacterium tumefaciens); y por virosis como Prunus Necrotic Ringspot Virus (pnrsv) y Prune Dwarf Virus (pdv), entre otras50.
5. Consideraciones finales
La evolución del cultivo de Prunus ha tenido variantes a nivel de la región. Si bien los inicios fueron muy comparables en todas las zonas, de la mano de los inmigrantes, luego en función de las condiciones edafoclimáticas y los mercados, se fueron marcando distintas preferencias y prioridades para los productores y el cultivo.
La incorporación de tecnología en todos los sentidos ha permitido, en el correr de los años, una mejora en los rendimientos, por lo que la producción se ha mantenido a pesar de la reducción del área de plantación. El proceso de crecimiento en escala y concentración no es ajeno a estos rubros, si bien sus características siguen haciéndolo un cultivo muy apto para el pequeño productor.
Grandes esfuerzos de investigación canalizados a través de universidades e institutos especializados han permitido generar información local de alto valor e impacto. Gracias al enfoque de los trabajos y la fluidez en el intercambio, se potencia el alcance regional y la sinergia de los resultados. Es clave la importancia del material genético para el éxito del sistema productivo y la estrategia de generar cultivares con adaptación local ha sido tomada por la región, siendo creciente la disponibilidad de nuevos materiales. El enfoque de producción integrada ha logrado gran impulso y son cada vez más las alternativas productivas que se desarrollan buscando prescindir de los agroquímicos. Las propuestas para el control de plagas y enfermedades incluyen cada vez más elementos propios del sistema, como feromonas, enemigos naturales y bioinsumos.
Por otro lado, los sistemas de conducción y poda y diseño de plantación están evolucionando hacia formas más simples y más fáciles de aplicar en la práctica.
Asimismo, el valor de la novedad y lo distinto impulsa a la búsqueda continua de nuevos materiales, como es el caso de los duraznos chatos y platerinas (nectarinas chatas).
Hay numerosos desafíos por delante, pero también la convicción por parte de los equipos de investigación en Argentina, Brasil y Uruguay de poder seguir aportando para una mayor y mejor disponibilidad de Prunus en las mesas de los consumidores.


















