Introducción
Desde el 2001/2002 se ha venido produciendo una granexpansión de los cultivos extensivos de verano en el Uruguay,con excepción del cultivo de arroz que ha sufrido undescenso en el área sembrada a partir de 2010. Entreestos cultivos, la soja ha tenido el mayor aumento en áreasembrada, siendo hoy el principal cultivo agrícola en Uruguay.Según las últimas estadísticas el cultivo de soja presentaun área sembrada de 1.140.000 ha con un rendimientopromedio de 1937 kg ha-1 de grano, exportado ensu mayoría (DIEA, 2016).
Las condiciones climáticas de nuestro país y la capacidadde almacenamiento de agua disponible del suelo determinanque existan períodos de deficiencia hídrica, donde lademanda por evapotranspiración (ET) supera al agua disponible(Agorio et al., 1988; Sawchik y Ceretta, 2005). A loanterior se suma la alta variabilidad interanual de las precipitaciones(Castaño et al., 2011) que puede agravar estasituación provocando frecuentes períodos deficitarios queocasionan una alta variabilidad de los rendimientos entreaños (Henry, 1973; Sawchik y Ceretta, 2005; Andersen etal., 2001, Giménez y García-Petillo, 2011).
El riego suplementario es una herramienta para atenuarlos períodos de estrés hídrico (Henry, 1973; Baethgen yTerra, 2010), permitiendo alcanzar y mantener una altaproductividad por unidad de superficie, siempre que no hayaotros factores limitantes (Henry, 1973; Agorio et al., 1988;Giménez, 2012). La implementación del riego para satisfacerlos requerimientos completos (100 % ET) requieregrandes cantidades de agua (Fereres y Soriano, 2007). Laaplicación del agua por debajo de los requerimientos totalesse define como riego deficitario (RD) (English, 1990). Laimplementación del riego deficitario permitiría aumentar elárea de cultivos regados sin aumentar las cantidades deagua suministradas, condición que podría ser trascendenteen un escenario en donde se pague por m3 de aguaconsumida, con una clara disminución en los costos directosal reducir los costos energéticos. La técnica conocidacomo riego deficitario regulado o controlado (RDC) queconsidera la sensibilidad de las fases de desarrollo del cultivoal estrés hídrico puede lograr un incremento aún mayoren la productividad del agua (Chalmers, Mitchell y van Heek,1981).
En el cultivo de soja, el déficit hídrico durante llenado degrano reduce considerablemente el número y tamaño degrano, lo cual condiciona la concreción del rendimiento(Doorenbos y Kassam, 1980; Kadhem, Specht y Williams,1985; Andriani et al., 1991; Andriani, 2006; Wani, Heng yVajja, 2012). Varios autores encontraron que la ocurrenciade déficit hídrico durante llenado de grano, R4-R6, tuvo mayoresdetrimentos en el rendimiento de grano que en elperíodo R1-R4. Los estudios reflejan asimismo mecanismosefectivos de compensación de las plantas cuando sonsometidas a déficit hídrico durante etapas más tempranasdel crecimiento (Doorenbos y Kassam, 1980; Andriani etal., 1991, Karam et al., 2005). De esta forma, se podríalograr una mejora en la eficiencia de uso del agua realizandoun manejo estratégico del riego según la distinta sensibilidadal estrés hídrico de las fases de desarrollo del cultivo.
El presente trabajo se basó en la aplicación de distintastécnicas de riego y cantidades de agua para estudiar susconsecuencias en el cultivo de soja. Este estudio tuvo comoobjetivos: 1) evaluar la respuesta en rendimiento del cultivo,a tres niveles de humedad, durante todo el ciclo del cultivo,con una combinación de dos niveles de humedad duranteel desarrollo vegetativo hasta inicio de R4 y desde R4 hastafin de R6; buscando ajustar la función rendimiento-dosis deagua, 2) analizar el efecto del agotamiento de agua disponibleen un brunosol éutrico típico sobre el rendimiento de lasoja, 3) evaluar la utilización del balance hídrico diario segúnla metodología descripta en la Guía FAO N° 56 (Allen etal., 2006) como herramienta para predecir las necesidadesde riego.
Materiales y métodos
Este estudio se realizó en dos sitios, ubicados en lasestaciones experimentales del Instituto Nacional de InvestigaciónAgropecuaria (INIA): La Estanzuela (latitud 34º 20'S, longitud 57º 41' y altitud 81 msm) ubicado en el departamentode Colonia, Ruta 50, km 11, paraje Estanzuela, y LasBrujas (latitud 34º 40' S, longitud 56º 20' y altitud 32 msm),ubicado en el departamento de Canelones, Ruta 48, km 10,paraje Rincón del Colorado, ambos suelos caracterizadoscomo brunosoles éutricos típicos. En el primer sitio se realizóun experimento a campo y en el segundo sitio se utilizaron12 lisímetros de drenaje protegidos de la lluvia por unaestructura rain-out shelter.
El riego se aplicó con un equipo de riego por goteo debidoa que es más preciso en la entrega de las cantidades deagua de riego y permite que el experimento ocupe menorsuperficie, ambos factores minimizan el error experimental(Torrion et al., 2015). En ambos sitios se cultivó la variedadNidera 4955, de ciclo medio, indeterminada, con una poblaciónobjetivo de 300.000 pl ha-1. Se aseguró el control totalde malezas, plagas y enfermedades de manera de queestas no disminuyeran el potencial de rendimiento.
En cada sitio experimental se realizó la caracterizaciónclimática. En La Estanzuela se analizó además la probabilidadde ocurrencia de lluvia realizando un análisis de frecuenciasacumuladas para los meses de octubre, noviembre,diciembre y enero, utilizando los datos históricos delluvias desde 1970 hasta el 2016. Se consideró la variablelluvia con una distribución Gamma incompleta y se calculóla probabilidad de excedencia del total de lluvias acumuladasdesde siembra hasta enero.
En cada sitio se realizó la caracterización hídrica delsuelo (Cuadro 1). Se determinaron los parámetros: contenidode agua a punto de marchitez permanente (PMP),contenido de agua a capacidad de campo, y contenido deagua disponible en el suelo (AD). Para determinar capacidadde campo se utilizó la metodología descripta segúnGarcía et al. (2012) y PMP se estimó mediante regresiónde Silva et al. (1988). Para el sitio Las Brujas estas variablesse midieron además mediante las ollas de presiónsegún la metodología de Richards (1948; 1956), determinandolas curvas de tensión humedad.
Los estados fenológicos del cultivo fueron determinadossemanalmente utilizando la escala de Fehr el al. (1971);Fehr y Caviness (1977) por la misma persona en ambossitios. La proyección de los estados fenológicos para laestimación de la evolución del cultivo y la duración de lasfases para estimar la evolución del coeficientes del cultivo(Kc) se realizó a partir del modelo fenológico obtenidos porFassio et al. (2013), disponible como una aplicación web.Esta aplicación web se encuentra disponible en el sitio webde INIA/GRAS/utilidades de los Sistemas de Información yTeledetección. Estas proyecciones eran corregidas a travésde la determinación semanal de la fenología y medidasde cobertura del suelo con un ceptómetro (marca Decagon,modelo Accupar LP-80) en cada parcela y sitio. Laevolución del Kc estimado de esta forma se utilizó para estimarla ETc en el balance hídrico con el que se manejó elriego.
Se determinó la humedad del suelo mediante medidascon sonda de neutrones, marca Troxler ElectronicsLaboratories, Inc., 4300, en La Estanzuela y CPN (modelo503, Campell Pacific Nuclear Corp., CA, USA), en LasBrujas. Para esta medida se instalaron tubos de acceso dealuminio, un tubo por parcela de 1,18 m de profundidad en laentrefila del cultivo. Las medidas se realizaron dos a tresveces por semana previo al riego para las profundidadesde 0 a 20 cm, de 20 a 40 cm, de 40 a 60 cm y de 60 a 1 mde profundidad. Se realizó la calibración para cada equiposiguiendo la metodología de Haverkamp, Vauclin y Vachaud(1984) y Puppo et al. (2014).
En ambos sitios se realizó un balance hídrico diario paracada tratamiento de riego, siguiendo el protocolo y cálculosdescriptos en la Guía FAO N° 56 (Allen et al., 2006). Laevapotranspiración de referencia (ETo) se determinó segúnla ecuación de Penman Monteith con los datos de cadaestación climática respectiva de cada estación experimentalpara cada sitio. Para estimar la ETc del cultivo se multiplicóla ETo por el Kc. Se utilizó un Kc inicial de 0,5, Kc medio de1,15 y final de 0,5, valores de tabla propuestos por Allen etal. (1998). Para Las Brujas se utilizó un Kc inicial de 0,8,según la metodología propuesta por Allen et al. (1998) parahumedecimientos frecuentes, método gráfico, para frecuenciasde riego cada dos días.
Se determinaron semanalmente, para todas las parcelasy en ambos sitios, las variables porcentaje de coberturadel suelo (CCo) mediante la medición de la intercepción deluz utilizando un ceptómetro y conductancia estomática,mediante un porómetro (marca Decagon, modelo SC-1).Al momento de cosecha se determinó el rendimiento degrano y los componentes del rendimiento.
Las dosis de riego se midieron mediante los balanceshídricos para cada tratamiento y sitio. Cada vez que sellegaba al umbral de agotamiento de agua disponible (p) de0,4 (p = 0,4) para la profundidad radicular determinada ycorregida diariamente, se aplicaba una lámina de agua variableentre 12 mm y 16 mm. De esta forma el contenido dehumedad del suelo se mantuvo por debajo de CC y porencima del umbral prefijado. Todos los tratamientos se regabanen el mismo momento pero variando el tiempo deriego según el tratamiento.
Estación Experimental INIA La Estanzuela «Dr. AlbertoBoerger»
El ensayo se sembró el 29 de octubre del 2015, con undiseño experimental en bloques completos al azar con tresrepeticiones. Las parcelas fueron de 10 m por 4,56 m, sembradascon una distancia entre hileras de 0,4 m.
Los tratamientos instalados consistieron en un tratamientosin riego; un tratamiento en el que se cubrió totalmente la evapotranspiraciónde cultivo (ETc) durante todo el ciclo (100 %); dostratamientos con riego deficitario continuo, satisfaciendo el75 % de la ETc (75 %) y el 50 % de la ETc (50 %); y dostratamientos de riego deficitario controlado, uno satisfaciendoel 100 % de la ETc durante el momento 1 y el 50 %durante el momento 2 (100/50 %); y el otro satisfaciendodurante el momento 1 el 50 % de la ETc y en el momento 2el 100 % (50/100 %). El momento 1, considerado para lostratamientos de RDC, se definió como el período de tiempodesde la siembra hasta que el cultivo culmina el estadio R3.El momento 2 se definió como el período crítico (PC), desdeinicios de R4 hasta R6 inclusive.
Estación Experimental INIA Las Brujas «WilsonFerreira Aldunate»
El ensayo se realizó en 12 lisímetros de drenaje, de 1,9 mde largo x 0,9 m de ancho y 1,35 m de profundidad, de fibrade vidrio. Los lisímetros se encuentran enterrados, coincidiendoel nivel del suelo de relleno con el nivel del suelocircundante y rellenos con el suelo característico del sitio,manteniendo su estructura y secuencia de horizontes. Seencuentran dentro de un rain-out shelter, estructura construidapara evitar los eventos de lluvia. El rain-out shelterconsiste en una estructura metálica completamente cerradaa los lados y techo a dos aguas, que se desliza sobrerieles. Dicha estructura se mantuvo siempre abierta y secerró cuando se presentaron eventos de lluvia por encimade 3 mm. Inicialmente, durante los primeros 25 días delcultivo el shelter se mantuvo abierto para evitar posiblesalteraciones en la plántula.
El ensayo se sembró el 1º de diciembre del 2015, conuna distancia entre hileras de 0,38 m, con cinco filas dentrode cada lisímetro. El diseño experimental fue en parcelas alazar con tres repeticiones. Los tratamientos instalados fueron:uno satisfaciendo el 100 % de la ETc; dos tratamientoscon riego deficitario continuo, satisfaciendo el 75 % y otrosatisfaciendo el 50 % de la ETc ; un tratamiento de RDC,satisfaciendo el 50 % de la ETc durante el momento 1 y el100 % durante el momento 2 (50/100 %). Los momentos 1y 2 fueron definidos de igual forma que para el sitio La Estanzuela.
El análisis estadístico se realizó con el software Infostat/P.Se realizó un análisis de contrastes por sitio y uno en conjunto,para identificar el efecto de dosis y estrategias de riegoen el agotamiento del agua del suelo y en el rendimiento finalde grano. Se plantearon los contrastes entre los distintostratamientos y el tratamiento 100 %.
Resultados y discusión
Las condiciones ambientales produjeron escenarios dealta demanda hídrica en ambos sitios, ya que las precipitacionesno superaron la ETo. En La Estanzuela se registraronETo acumuladas de 253 mm y 435 mm para los períodosdesde siembra a R1 y desde R1 a R6, respectivamente. Para elperíodo entre R4 a R6 la ETo acumulada fue de 253 mm. Elperíodo reproductivo y gran parte del PC coincidieron conlos momentos de menor precipitación acumulada. DesdeR1 hasta R6 se registraron 212 mm de lluvia acumulada yen el período entre R4 a R6 la acumulada fue de 168 mm(desde el 19 de enero al 7 de marzo). Las precipitacionesestuvieron concentradas en la última fase de PC.
El análisis de las frecuencias acumuladas de lluvias desdesiembra a R4 muestra que esta zafra se caracterizó por serun año frecuente, con un período de retorno de 1,3 años. Enlas condiciones del sur del Uruguay existe un 80 % probabilidadde que llueva más de 323 mm en el período desdeoctubre a enero. Por otro lado, las precipitaciones de enerofueron particularmente bajas ya que existe un 92 % de probabilidadde que llueva más de 50 mm en enero, dondeocurrió el PC.
En Las Brujas se registraron ETo acumuladas de 238 mmy 378 mm para los períodos desde siembra a R1 y desdeR1 a R6, respectivamentey de 240 mm desde R4 a R6.
Estación Experimental INIA La Estanzuela «Dr. AlbertoBoerger»
La humedad del suelo del tratamiento 100 % se mantuvocon valores iguales o mayores al 50 % del agua disponible(AD) en las distintas profundidades monitoreadas. De estaforma se pudo constatar un correcto manejo del riego. El restode los tratamientos de riego se manejó con un agregado deagua inferior a este tratamiento causando un déficit hídrico progresivo.Los agotamientos de AD provocados por los tratamientosde riego fueron máximos durante el PC (Figura 1).
Las medidas de contenido de humedad del suelo determinadascon sonda de neutrones presentaron valores muybajos hasta 20 cm de profundidad. Este registro de humedadno fue tenido en cuenta para el monitoreo de los tratamientosy no se incluyó en las figuras que muestran laevolución de la humedad en el perfil. En este sentido Hillel(2004) expresó que mediciones en los primeros 20 cm delsuelo son imprecisas debido al posible escape de neutroneshacia la atmósfera.
El monitoreo de humedad del suelo constató las condicionesbenignas a mediados de febrero ocasionadas porlos eventos de lluvia que ocurrieron entre el 12 y el 18 defebrero, a partir de la fase fenológica R5.5. En este períodollovieron 131 mm que permitieron la recarga del perfil desuelo, beneficiando a los tratamientos de riego deficitario(Figura 1).
Al inicio de la etapa reproductiva el tratamiento sin riegofue el que presentó el mayor agotamiento del AD, 75 %, enla profundidad de 20 a 40 cm, y 54 % en promedio para laprofundidad de 20 a 60 cm (cuando el cultivo se encontrabaen R2). Se mantuvo relativamente estable en ese rangodurante 40 días hasta R5. El agotamiento en el tratamiento50 % también alcanzó niveles similares, sin embargo en eltratamiento sin riego el agotamiento se mantuvo por mástiempo (Figura 1).
El seguimiento de los estados fenológicos semanalesmostró que la fenología se vio afectada por las deficienciashídricas. El tratamiento sin riego se comportó de forma diferenterespecto a los tratamientos regados. Se evidenció unadelanto en la maduración del cultivo provocado por el estréshídrico a partir de R4. Estos resultados coinciden con loreportado por Torrion et al. (2015), Specht, Williams yWeidenbenner (1986) y Wani, Heng y Vajja (2012).
La ETc tuvo una evolución similar a la evolución de laETo debido a que es consecuencia de la misma y de laevolución del Kc. Se encontraron picos de máximo consumoentorno a R2 y a R4 (Figura 2).

Figura 2 Evolución según el estado fenológico de los valores promedio diarios de ETo, ETc, Kc; y cobertura del suelo (CCo)en los tratamientos 100 % y sin riego en la estación experimental INIA La Estanzuela
La duración de las fases fenológicas para estimar laevolución del Kc guardó relación con las medidas de CCo(Figura 2), coincidiendo con lo reportado por Allen et al.(1998). En etapas tempranas el riego aceleró la coberturadel suelo. En los tratamientos regados, la máxima coberturadel cultivo se alcanzó el 29 de diciembre cuando el cultivoestaba en R2, momento en el que se registró un IAF cercanoa 5 (4,8). Por otro lado, en el tratamiento sin riego lamáxima cobertura se alcanzó también en diciembre perounos días después que en los tratamientos regados. El80 % de cobertura del cultivo para el tratamiento 100 % sealcanzó el 21 de diciembre con un IAF de 3, cuando elcultivo estaba en floración, entre R1 y R2, coincidiendo conAllen et al. (1998), quienes identifican a la floración como elmomento en donde se alcanza el 80 % de cobertura delsuelo.
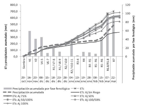
La ET del cultivo se redujo como consecuencia de lasdeficiencias hídricas del suelo, ETc aj (Figura 3). Todos lostratamientos excepto el tratamiento sin riego presentaronET por encima de la precipitación acumulada para todo elciclo. Cabe recordar que la ET está limitada por el aguadisponible (lluvias y riego) (Allen et al., 1998).

Figura 3 Evolución de la ETc, ETcaj y precipitación acumuladas durante el ciclo del cultivo y precipitación acumulada paracada etapa fenológica para la estación experimental INIA La Estanzuela.
Las mayores reducciones respecto a la ETc sin restriccionesfueron del 45 % para el tratamiento sin riego y del20 % para el tratamiento 50 %. Los tratamientos 100/50 %,75 % y 50/100 % presentaron reducciones de la ETc menoresal 11 %. Por otro lado, se observa también el aumentoen la ETc en el tratamiento 50/100 % luego de R4, momentoen el que se cambia la estrategia de riego hacia una situaciónprogresiva de confort hídrico (Figura 3).
La ETc calculada mediante balance hídrico fue de 682 mmpara el tratamiento 100 %, seguida por los tratamientos100/50 %, 75 % y 50/100 % con 634 mm, 624 mm y 607mm respectivamente. Los tratamientos 50 % y el tratamientosin riego tuvieron una ETc de 545 mm y 375 mm respectivamente(Figura 3).
La diferencia entre la ETc del tratamiento 100 % y del sinriego fue de 307 mm. La diferencia entre la ETc máxima y eltratamiento 50 % fue de 137 mm y respecto al 50/100 % fuede 75 mm.
En cuanto al rendimiento, este aumentó con la cantidadde agua agregada evidenciando que el rendimiento en sojaes afectado por el status hídrico durante su ciclo, hasta llegara un máximo. Resultados similares fueron reportadospor Specht, Williams y Weidenbenner (1986) y Fereres ySoriano (2007). La respuesta del rendimiento al agua efectivatotal se comportó como un modelo lineal plateau (Cuadro 4),con un máximo rendimiento de 5309 kg ha-1 y 584 mm deagua total efectiva. El máximo rendimiento alcanzado fue de5700 kg ha-1 en el tratamiento 50/100 %, siendo estadísticamenteigual al 100 % (Cuadro 2). Los tratamientos 100/50 y75 % fueron también estadísticamente iguales al 100 %,rindiendo 5200 kg ha-1 y 5050 kg ha-1 respectivamente. Losmenores rendimientos se encontraron en los tratamientos50 % y sin riego(Cuadro 2).
Las lluvias ocurridas en el mes de febrero no lograroncompensar las pérdidas en rendimiento, consecuencia deldéficit hídrico previamente ocasionado tanto para el tratamientosin riego como para el tratamiento 50 %, los cualestuvieron menores rendimientos respecto al 100 %, coincidiendocon resultados encontrados por Giménez (2014).Las lluvias sin embargo revirtieron los efectos del déficitprincipalmente en los tratamientos 75 % y 100/50 %, loscuales no presentaron diferencias en rendimiento respectoal 100 % (p = 0,71; p = 0,94, respectivamente (Cuadro 2).
La cantidad de agua aplicada por riego para cada tratamientofue diferente, variando entre 450 mm para el tratamiento100 % y 225 mm para el tratamiento 50 %. Lostratamientos 50/100 % y 75 % tuvieron cantidades de aguade riego aplicadas muy similares entre sí (342 mm y 337 mmrespectivamente). El ahorro de agua de riego respecto altratamiento 100 %, fue de un 24 % y un 50 % en los tratamientos50/100 % y 50 % respectivamente.
La capitalización del agua de lluvia (lluvia efectiva) fuedistinta entre tratamientos. Los mayores valores de lluviaefectiva ocurrieron para los tratamientos más restrictivos.La cantidad de lluvia no aprovechada por el cultivoestimada mediante balance hídrico varió entre 250 mmy 107 mm para los tratamientos 100 % y sin riego, respectivamente.En cuanto al agua total efectiva, considerada como elagua aplicada como riego más la precipitación efectiva, varióentre 684 mm a 375 mm registrados para los tratamientos100 % y sin riego, respectivamente.
Estación Experimental INIA Las Brujas «WilsonFerreira Aldunate»
El tratamiento 100 % se mantuvo durante todo el periodocon un agotamiento promedio del 23 % y 41 % para lasprofundidades de 20 a 40 cm y del promedio de 20 a 60 cmrespectivamente, por lo que se evidenció un correcto manejodel riego objetivo (Figura 1), a excepción de dos díasen febrero en los cuales no se pudo regar por averías en elequipo de bombeo. El resto de los tratamientos de riego semanejaron, de igual forma que en La Estanzuela, con unadiferente cantidad de agua de riego en relación a este tratamiento,provocando un déficit progresivo del agua del suelo.El monitoreo de la humedad en el suelo evidencióel manejode los riegos en los distintos tratamientos (Figura 1).
El seguimiento de los estados fenológicos semanalmentemostró que la fenología no se vio afectada de gran manerapor las deficiencias hídricas. Si bien se encontraron ciertasdiferencias con los tratamientos más restrictivos, la mismano fue lo suficientemente grande como para establecer diferenciasfenológicas diferentes en cada tratamiento.
Como se explicó anteriormente y como se muestra enla Figura 4, la demanda atmosférica estimada a través de laETo fue elevada durante diciembre y enero. La ETc estimadatuvo una evolución en donde se encontró un máximo enel período reproductivo desde enero a mitad de febrero,como consecuencia de la evolución del Kc estimado. Teniendopicos de máximo consumo entre R2 y R4.5.

Figura 4 Evolución según el estado fenológico de los valores promedio diarios de ETo, ETc, Kc; y cobertura del suelo (CC) enlos tratamientos 100 % y sin riego en la Estación Experimental INIA Las Brujas.
Los muestreos de cobertura y de fenología indican queen R2 se alcanzó la máxima cobertura. La cobertura para elúltimo período no mostró una caída evidente como se esperabaencontrar, ocurrió lo mismo en el cultivo de La Estanzuela.
La evolución de los estados fenológicos tuvo una buenacorrelación con los estados fenológicos proyectados con elmodelo disponible de fenología realizado por Fassio et al.(2013), tanto en La Estanzuela como en Las Brujas. Seencontró que la cantidad de días de las dos primeras fasesdel Kc, la inicial y la de desarrollo, son menores a las encontradasen La Estanzuela. Esto se debe a que la fecha desiembra más tardía (en Las Brujas) tuvo como consecuenciaun acortamiento de estas dos etapas.
La ETc estimada para Las Brujas varió entre 368 mm y626 mm para los tratamientos 50 % y 100 % respectivamente.Doorenbos y Kassam (1980), Baigorri, Ciampitti yGarcía (2009) y Giménez (2012) reportan resultados similares.Los tratamientos 75 % y 50/100 % mostraron ETc similares, 518 mm y 486 mm respectivamente.
La cantidad de agua aplicada por riego para cadatratamiento fue diferente, variando entre 630 mm para eltratamiento 100 % y 334 mm para el tratamiento 50 %.La diferencia entre los riegos respecto al tratamiento quesatisface la demanda del cultivo durante todo el ciclo, eltratamiento 100 %, fue de un 22 y 23 % menos para lostratamientos 50/100 % y 75 % respectivamente. Los tratamientos50/100 % y 75 % tuvieron cantidades de aguaaplicadas muy similares (491 mm y 488 mm respectivamente)pero distribuidas de forma diferente en el ciclo.
Al igual que en el sitio anterior el análisis estadístico muestraque el rendimiento aumentó al incrementar el agua totalefectiva (p = 0,0017) pero no hubo efecto del momento deriego (p = 0,47) al comparar todos los datos. La respuestadel rendimiento respecto al agua total efectiva mostró uncomportamiento que permitió el ajuste de un modelo linealcomo se muestra en el Cuadro 3. Specht, Williams yWeidenbenner (1986) y Sincik et al. (2008), encontraronrespuestas similares al agregado de agua. El máximo rendimientoalcanzado fue para los tratamientos 100 % (4500kg ha-1) y 50/100 % (3800 kg ha-1), los cuales no fueronestadísticamente diferentes (p = 0,11) pese a la mayor cantidadde agua total efectiva del tratamiento 100 % (Cuadro 3).Los rendimientos para los tratamientos 75 % y 50 % fueronde 3300 kg ha-1 y 2800 kg ha-1 respectivamente. El menorrendimiento se encontró para el tratamiento más restringido,el tratamiento 50 %, en el cual las deficiencias hídricasseveras llevaron a reducciones del rendimiento del 38 %respecto al máximo (Cuadro 3).
Los rendimientos en este sitio fueron en general menoresa los de La Estanzuela. Según Salvagiotti (2014), lamáxima producción de un cultivo está determinada por losfactores definidores del rendimiento: la captura de radiacióny de CO2, el genotipo y la temperatura. En esta zafra seobservó que debido a la siembra más tardía se impidióque el PC coincidiera con la época de mayor cantidadde horas sol. Sumado a esto, el régimen de temperaturasmedias fue menor al promedio. Por estas razoneses probable que el rendimiento máximo alcanzable paraeste sitio fuese menor.
Rendimiento en función del aguaCuadro 5
La respuesta del rendimiento en función del agua efectivatotal para ambos sitios en conjunto se comportó comouna función lineal plus plateau, ajustada con un R2 de 0,68(Figura 5). Los resultados indicaron que existió una respuestalineal al agregado de agua hasta los 590 mm, con unrendimiento máximo de 5000 kg ha-1. A partir de este puntono hay aumentos en rendimientos con mayores agregadosde agua, la función llegó a un plateau. Resultadossimilares fueron reportados por Specht, Williams yWeidenbenner (1986) y Fereres y Soriano (2007). Seencontró que el cultivo de soja tuvo una productividad delagua de 8,5 kg mm-1; estos resultados coinciden con loreportado por Sawchik y Ceretta (2005).

Figura 5 Rendimiento en función del agua total efectiva para dos sitios evaluados. La línea continua representa un modelolineal plus plateu: para x < NC y=a + bx; para x > NC y = plateu.
Los rendimientos para los distintos tratamientos se analizaronmediante contrastes. Los contrastes entre los tratamientos100/50 % y 50/100 % en relación al 100 % nomostraron diferencias significativas en cuanto al rendimiento,pero si en cantidad de agua.
Cuando se analizó el contraste para los tratamientos100 % y 75 % mostró una diferencia significativa entre amboscon un p = 0,058. El tratamiento 75 % en relación al100 % tuvo una diferencia de rendimiento de 675 kg ha-1.Las diferencias se debieron a que en La Estanzuela, si bienlas cantidades de agua fueron distintas entre ambos tratamientos,los eventos de lluvia impidieron alcanzar los agotamientosde agua en el suelo esperados, enmascarandolas diferencias entre estos dos tratamientos. A pesar deesto, existió diferencia significativa respecto a la cantidad deagua en relación al 100 %.
Tanto el tratamiento 50/100 % como el 75 % produjerondiferencias en cantidades de agua estadísticamente significativasrespecto al 100 %, sugiriendo posibles ahorros deagua. Una cantidad de agua total efectiva muy similar, aplicadaen momentos diferentes, tuvo consecuencias en elrendimiento final. Estos resultados son similares a losencontrados por Giménez (2014). Por lo tanto, en las condicionesdel sur de nuestro país, podría ser efectiva la estrategiade RDC 50/100 %, realizando riegos deficitariosdurante las fases con menor sensibilidad al déficit hídrico,fases previas a R4, de manera de obtener ahorros de aguasin detrimentos en el rendimiento final.
El peso de mil semillas (PMS) para los tratamientos nofue el componente de rendimiento que determinó la diferenciaentre tratamientos, coincidiendo con los resultados encontradospor De Souza, Egli y Bruening (1997).

Cuadro 4 Modelos de predicción del rendimiento de grano en función de la cantidad de agua total efectiva para cada sitio.
De acuerdo a la evolución de humedad del suelo en losdistintos horizontes se evidenció una extracción de aguapor parte de las raíces concentrada entre los 20 y 60 cm deprofundidad, sin embargo las deficiencias hídricas severasestimularon al cultivo hacia una extracción de agua a mayorprofundidad. Hubo extracciones de agua inclusive en elhorizonte de mayor profundidad monitoreada. Estos resultadoscoinciden con lo reportado por Wani, Heng y Vajja(2012).
Conclusiones
La respuesta del rendimiento en función del agua totalefectiva se comportó como una función lineal plus-plateau.El riego aumentó el rendimiento de soja hasta una cantidadmáxima de agua total efectiva, a partir de la cual no habríaaumentos de rendimiento. En promedio se puede esperaruna productividad de 8,5 kg ha-1 mm-1. Se podría utilizar laestrategia de riego deficitario controlado, de riegos con50 % de la ETc hasta el estado fenológico R4, utilizandomenor cantidad de agua sin repercusiones en el rendimiento,siempre que los requerimientos hídricos del cultivo seancubiertos durante el período crítico, desde R4 hasta R6 inclusive.Esta podría ser una estrategia válida para manejar elriego en las condiciones climáticas del Uruguay, pudiendoahorrar hasta un 22 % de agua respecto a satisfacer lademanda completa durante todo el ciclo del cultivo. El agotamientode agua en el suelo provocó descensos en elrendimiento debidos a un descenso en la ET; la reducciónde rendimiento es directamente proporcional a la reducciónen la evapotranspiración. El balance hídrico diario siguiendoel protocolo y cálculos descriptos en la Guía FAO N° 56,según Allen et al. (2006) y ajustado con observaciones acampo del desarrollo del cultivo, constituyó una buena herramientapara el manejo del riego.
Agradecimientos:
Este trabajo no hubiera sido posible sin el apoyo de estaspersonas que de distintas maneras contribuyeron almismo. Entre ellas Rocío Carro, Leonardo Silva, NicolásLeiva, Marcelo Schusselin, Cesar Burgos, Neru Bentancor,Mario Reineri, Akira Saito, Alejandra Díaz, Ximena Cibils,Silvina Stewart, Deborah Gaso, Ximena Morales, AdriánCal, Francisco Montoya, Álvaro Otero, Juan Carnelli, RaquelHayashi.











Curriculum ScienTI






