Introducción
En Argentina se han clasificado más de 20 especies del género Conyza, entre las cuales C. sumatrensis (Retz.) E. Walker, conocida como «rama negra», es una de las más difundidas en el país y en el área sudeste de la provincia de Buenos Aires (Leguizamón, 2011). Debido a la gran expansión de la siembra directa, el 91,3 % de la superficie agrícola del país se cultiva bajo este sistema (AAPRESID, 2012). En este contexto, varios atributos biológicos asociados a la correcta identificación de C. sumatrensis, la falta de monitoreo, el inadecuado uso de herbicidas, su tolerancia a glifosato y su adaptación a sistemas no laboreados, explican el hecho de que esta especie se haya constituido en un problema creciente en el país (Tuesca, Puricelli y Papa, 2001; Vitta, Tuesca y Puricelli, 2004; Puricelli y Tuesca, 2005).
Trabajos realizados demuestran que la sensibilidad de rama negra a los tratamientos químicos es condicionada por el tamaño de las plantas, las dosis y el momento de aplicación (Nisensohn, Tuesca y Papa, 2011; Gianelli et al., 2015; Puricelli et al., 2015); por lo cual es necesario conocer los patrones de emergencia de esta maleza en cada región para determinar el momento oportuno de control.
Rama negra es una especie de ciclo anual que puede comportarse como bienal, dependiendo de las características del ambiente. Las semillas requieren luz, adecuado contenido de humedad en el suelo y temperaturas entre 10 y 25 ºC para germinar, siendo la temperatura base de germinación de 4,2 ºC (Zinzolker, Kigel y Rubin, 1985). Estas especies germinan en «flujos», condicionados por el ritmo de desbloqueo de la dormición de las semillas y por una acumulación de temperatura por encima del umbral, que de este modo regula la tasa de germinación (Bradford, 2002).
El amplio período en el cual encuentra condiciones propicias para crecer y desarrollarse es un factor que dificulta su manejo. En tal sentido, la capacidad de predecir el momento de emergencia de las plántulas de esta especie es fundamental para mejorar la oportunidad y eficacia de los tratamientos de control, así como también para diseñar prácticas de manejo a largo plazo por medio del desarrollo de modelos predictivos.
Diversos estudios en Argentina han demostrado dos períodos de emergencia, principios del otoño y principios de primavera (Metzler, Puricelli y Papa, 2013; Montoya, 2013). Sin embargo no existe información al respecto para C. sumatrensis en el sudeste de la provincia de Buenos Aires.
Las especies pertenecientes al género Conyza son muy prolíficas. El número de capítulos por planta y la producción total de semillas suelen ser proporcionales a la altura del tallo (Shields et al., 2006; Wu et al., 2007). En el caso de C. bonariensis, las plantas producen entre 85.074 a 375.561 semillas (Wu et al., 2007; Green, 2010), mientras que C. canadensis produce 135.000 a 230.000 semillas (Lazaroto, Fleck y Vidal, 2008). Para C. sumatrensis se han reportado valores entre 60.000 (Hao et al., 2009) y 368.000 semillas por planta (Metzler, Puricelli y Papa, 2013). No obstante, bajo condiciones de competencia intraespecífica puede afectarse la producción individual de estas especies.
La relación entre la densidad de plantas y los niveles de producción de semillas ha sido estudiada en C. canadensis (Bhowmik y Bekech, 1993), observándose un incremento en el número de semillas producidas por planta a medida que disminuye la densidad (100.000 semillas a 200 plantas m-2 y 200.000semillas a 10 plantas m-2). En C. bonariensis, Zambrano-Navea (2013) encontró una reducción del 65 % en la fecundidad cuando la densidad superaba las 200 plantas m-2. Para C. sumatrensis, se encuentran escasos estudios específicos referidos a procesos de regulación intrapoblacional (Metzler, Puricelli y Papa, 2013), no existiendo antecedentes de investigación en el sudeste de la provincia de Buenos Aires de Argentina.
A su vez, en Argentina se han desarrollado numerosos estudios que destacan la importancia de un control temprano de Conyza spp. en estadio de roseta y menor a 15 cm de altura durante el barbecho químico (Metzler, Puricelli y Papa, 2013; Ustarroz y Cerutti, 2015; Gianelli et al., 2015; Puricelli et al., 2015; Kahl 2016). En este sentido, la variación en tamaño y desarrollo de las plantas ocasionada por la competencia intraespecífica podría afectar la efectividad de las dosis de los tratamientos químicos utilizados para su control. Por tal motivo, el objetivo de este trabajo fue estudiar la dinámica de emergencia de C. sumatrensis en el sudeste de la provincia de Buenos Aires (Argentina), y los efectos de la competencia intraespecífica a diferentes densidades como proceso de autoregulación poblacional.
Materiales y métodos
Sitios de ensayo
Los ensayos se realizaron durante el ciclo 2013-2014, en la Estación Experimental Agropecuaria de Balcarce, INTA (37º 45’ S, 58º 18’ W; 130 m.s.n.m.) Argentina, sobre un suelo Argiudol típico con 4,5 % de materia orgánica y pH 6. Los sitios experimentales provenían de un cultivo de soja bajo siembra directa y presentaban infestación natural de C. sumatrensis.
Emergencia de Conyza sumatrensis
Se establecieron 12 microparcelas de 1 m2 distribuidas aleatoriamente en el sitio de estudio, en las cuales se observó el flujo de emergencia a través de registros mensuales del establecimiento de plántulas. Una vez determinadas las mismas se removieron manualmente para permitir identificar nuevos nacimientos. A partir de estos datos se construyeron curvas de emergencia para evaluar la distribución durante el ciclo. La dinámica de emergencia de plántulas se expresó como porcentaje de emergencia mensual respecto al total de plántulas emergidas en el año.
Se recopilaron los registros de temperatura y precipitaciones de la estación meteorológica EEA Balcarce contrastando estos datos con los patrones de emergencia observados. A tal fin, se realizó un análisis de correlación, utilizando el programa estadístico SAS (versión 9.0, 2002) entre las emergencias registradas en cada mes, las precipitaciones mensuales y la temperatura media de cada período.
Crecimiento y producción de semillas
Con el fin de determinar el efecto de la densidad de plantas de C. sumatrensis sobre el crecimiento y fecundidad, el 30/10/13 se delimitaron parcelas de 1 m2 cuando las plantas presentaban una altura inferior a 10 cm. Dentro de cada parcela se realizó el raleo de plantas manualmente para obtener un rango creciente de densidades de rama negra entre 1 y 600 individuos m-2 (1,10, 25, 50, 75, 100, 150, 200, 250, 300, 400, 500 y 600 plantas m-2). Dichas densidades fueron mantenidas durante todo el experimento por raleos periódicos, con los cuales se eliminaron también todas las posibles competencias interespecíficas. El ensayo se estableció bajo un diseño completamente aleatorizado, con cuatro repeticiones para cada densidad.
Luego de la floración, cuando las semillas estaban maduras, se recolectaron aleatoriamente cinco plantas de cada parcela (excepto en la densidad de una planta por metro cuadrado), determinándose para cada una altura de planta, número de ramificaciones, número de capítulos por planta y peso fresco de la biomasa aérea, radicular y reproductiva. La producción de semillas se estimó a partir de tres capítulos al azar de cada planta, los cuales se colocaron en placas de Petri y se dejaron secar a temperatura ambiente. Posteriormente se abrieron con pinzas y se contaron las semillas. La producción de semillas por planta se calculó mediante el producto entre el número de semillas por capítulo y el número de capítulos por planta.
Análisis estadísticos
Las variables fueron sometidas a un análisis de la varianza con el objetivo de determinar el efecto de las densidades y las diferencias fueron estudiadas a partir de la comparación de los promedios mediante el test de diferencias mínimas significativas (LSD) utilizando un nivel de significancia del 5 %. Los valores de altura, número de ramificaciones, peso fresco aéreo, radicular y reproductivo, previamente se relativizaron respecto a la densidad de 1 planta m-2, la cual fue considerada como el 100 % de cada una de las variables. El número de capítulos y semillas por planta fueron transformados a escala logarítmica. Los parámetros de regresión entre las variables y las densidades se obtuvieron mediante el procedimiento PROC Reg del programa SAS. Por su parte, se realizaron análisis de correlación entre variables seleccionadas (Proc Corr, SAS).
Resultados y discusión
Dinámica de emergencia
La emergencia de C. sumatrensis se concentró durante el otoño (Figura 1), alcanzando valores cercanos al 60 % de la emergencia total anual. Estos resultados son coincidentes con los períodos de emergencia determinados para Conyza sp. en diferentes regiones de Argentina por Metzler, Puricelli y Papa, 2013), Montoya, 2013) y Ustarroz y Cerutti, 2015).

Figura 1: Dinámica de emergencia de Conyza sumatrensis en el sudeste de la provincia de Buenos Aires, Argentina.
Se observó un segundo pico de emergencia, aunque de menor magnitud, durante la primavera (octubre, noviembre y diciembre) no superando en este período el 20 % de la emergencia total (Figura 1). Estos valores son similares a los encontrados para C. canadensis, en donde la emergencia durante la primavera representó del 5 al 32 % del total (Buhler y Owen, 1997), y a los reportados por Ustarroz y Cerutti, 2015), en los cuales la emergencia primaveral de C. bonariensis correspondió al 20 % del total emergido. Este segundo flujo de emergencia es de gran importancia ya que tendría una alta probabilidad de interferir con los cultivos invernales, por escape a los tratamientos tempranos de control, como así también sobre los cultivos de verano si se utilizan herbicidas con limitada residualidad de control.
La dinámica de emergencia de C. sumatrensis se asoció en forma relativamente directa con el régimen de precipitaciones (r = 0,21) y en forma inversa con la temperatura del aire (r = -0,29) (Figura 2).

Figura 2: Temperatura media del aire y precipitaciones mensuales durante el período septiembre 2013 -agosto 2014.
Las mayores precipitaciones registradas durante marzo, abril y mayo favorecieron la emergencia en los meses otoñales y en especial durante el mes de mayo, donde existieron condiciones de humedad y alternancias de temperaturas que favorecieron la emergencia significativa de la maleza.
El segundo flujo de emergencia coincidió con las abundantes precipitaciones ocurridas durante el mes de noviembre, las cuales alcanzaron un valor de 122 mm. Por lo tanto, las condiciones climáticas explicarían los patrones estacionales de emergencia de las plántulas en el sudeste bonaerense, con picos principales en otoño y más limitados a principios de primavera (Buhler y Owen, 1997). Asimismo, la falta de remoción del suelo y la escasa cobertura favorecerían su instalación en los barbechos destinados a cultivos estivales.
La información generada a nivel local podría utilizarse como base en modelos predictivos de germinación y emergencia de plántulas (Zambrano-Navea, Bastida y Gonzalez-Andujar, 2013) los cuales pueden ser aplicables a cada región, contribuyendo a optimizar el manejo de esta especie. Los conocimientos sobre los flujos de emergencia permitirían ayudar a predecir el momento más oportuno de aplicación de los tratamientos, y a establecer el período de residualidad requerido para controlar los nuevos nacimientos.
Esta herramienta podría utilizarse como base para la construcción de mapas de riesgo y como sistema de alertas (Garay et al., 2013), facilitando el diseño de estrategias de manejo con herbicidas, tendientes a disminuir los efectos fitotóxicos en los cultivos siguientes en la rotación y minimizar su impacto en el ambiente.
Crecimiento y producción de semillas en respuesta a incrementos en la densidad
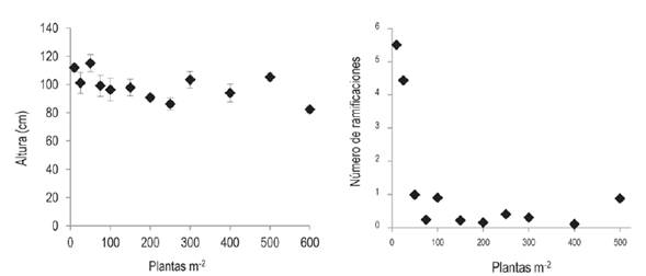
El incremento de la densidad de plantas provocó una disminución en todas las variables evaluadas, efecto probablemente atribuible al aumento de la competencia por los recursos disponibles en el ambiente (Figuras 3 y 4). En el Cuadro 1 se presentan los valores de altura, número de ramificaciones y biomasa para cada densidad expresados como porcentaje relativo al testigo (1 planta m-2). En la misma se puede observar que la mayoría de las variables disminuyeron significativamente a partir de 10 plantas m-2.

Cuadro 1: Altura, número de ramificaciones, y peso seco (aéreo, reproductivo y radicular) en respuesta a trece densidades de siembra expresado en porcentaje relativo al testigo (1 planta m-2).
La altura de las plantas, fue la variable menos afectada por el incremento de las densidades. Solo se observó una reducción significativa de la misma respecto a la menor densidad (1 planta m-2) con 200, 250, 500 y 600 plantas m-2. El número de ramificaciones presentó menores valores a partir de 50 plantas m-2 no observándose luego diferencias significativas entre las densidades superiores.

Figura 3: Altura (izquierda) y número de ramificaciones (derecha) (promedio +/- error estándar) por planta en respuesta la densidad (10 a 600 plantas m-2) de Conyza sumatrensis.

Figura 4: Peso fresco de la biomasa aérea, radicular y reproductiva (promedio +/- error estándar) por planta en respuesta a la densidad (10 a 600 plantas m-2) de Conyza sumatrensis.
Los parámetros correspondientes a la biomasa (aérea, radicular y reproductiva) se ajustaron a una ecuación exponencial negativa (Figura 4), observándose una reducción significativa hasta 75 plantas m-2 y a partir de 100 plantas m-2 no se obtuvieron diferencias significativas.
En líneas generales estos resultados demuestran que a partir de 10 plantas m-2 existiría un proceso de autoregulación de la población, el cual se mantiene hasta 75 plantas m-2. A partir de estos valores, los parámetros evaluados mostraron una disminución constante en respuesta a la densidad hasta 600 plantas m-2, indicando una fuerte competencia intraespecífica a altas densidades.
La densidad no afectó el tiempo en que se produjo la floración de esta maleza, siendo homogéneo para todas las densidades. Estos resultados difieren de los encontrados por Palmblad, 1968), quienes observaron para C. canadensis que la floración se retrasaba con el incremento de la densidad, mientras que Thebaud et al., 1996) determinaron que la floración de C. sumatrensis en presencia de competencia se anticipaba con respecto a C. canadensis. Si bien la floración puede adelantarse y/o retrasarse bajo situaciones de estrés nutricional o hídrico, la reducción en el crecimiento en el presente estudio no se vio reflejada en el tiempo para alcanzar dicho estado fenológico, demostrando la plasticidad de C. sumatrensis para florecer aún bajo condiciones de limitada disponibilidad de recursos en el ambiente.
Tanto el número de capítulos como el número de semillas por planta disminuyeron con el incremento de la densidad (Figuras 5 y 6), en coincidencia con los datos reportados para C. canadensis (Palmblad, 1968; Bhowmik y Bekech, 1993) y C bonariensis (Zambrano-Navea, 2013). El número de semillas (log 10) por planta y el número de capítulos por planta (log 10) de C. sumatrensis fueron satisfactoriamente descriptos por el modelo de regresión lineal (p < 0,0001) (Figura 5).

Figura 5: Log 10 del número de semillas (izquierda) y número de capítulos (derecha) por planta en función de la densidad (10 a 600 plantas m-2) de Conyza sumatrensis.
La producción de semillas por planta se relacionó directamente con la altura (r: 0,43) y con el peso fresco de las plantas (r: 0,88). Con una densidad de 1 planta m-2 la producción de semillas alcanzó valores de 3.418.293 semillas por planta, presentando valores de 1,23 m y 1078 g para la altura y peso fresco respectivamente. En el otro extremo, con 600 plantas m-2 la altura fue de 0,82 m, el peso fresco de 10,8 g y se produjeron 17.600 semillas por planta.
La producción de semilla por planta estimada por Metzler, Puricelli y Papa, 2013) fue sustancialmente inferior (30.000) a las determinadas en este trabajo. Por su parte, Zambrano-Navea, 2013) obtuvo una fecundidad media para C. bonariensis de 86.066 aquenios por planta, estableciendo que dicho proceso era regulado por la densidad. En el sudeste bonaerense, de cinco especies encontradas, C. bonariensis fue la que presentó mayor producción de semilla por capítulo (178,5), seguida por C. sumatrensis (105,7) (Diez de Ulzurrun et al., 2015).
En el caso de C. canadensis diversos autores obtuvieron valores máximos en el rango de 200.000 a 500.000 semillas por planta (Bhowmik y Bekech, 1993; Davis et al., 2009). Steckel et al., 1997), y determinaron que la producción de semillas por planta fue mayor a bajas densidades (5, 7, y 10 plantas m-2). Sin embargo, la producción de semillas por metro cuadradofue mayor a 15, 20 y 25 plantas m-2 (148.000 a 134.000 semillas m-2).
La partición de biomasa en términos de asignación a reproducción (biomasa de órganos reproductivos biomasa total-1) fue levemente afectada por la densidad de plantas. En tal sentido, se observó una mayor partición reproductiva a bajas densidades (entre 1 y 10 plantas m-2) estimándose valores del 50 %, mientras que en las restantes densidades Figura 5. Log 10 del número de semillas (izquierda) y número de capítulos (derecha) por planta en función de la densidad (10 a 600 plantas m-2) de Conyza sumatrensis. se registró una partición de biomasa inferior que osciló entre el 10 y 20 %.
Entre los componentes que determinan la producción de semillas por planta, el número de capítulos por planta fue la variable que más se modificó entre las densidades, presentando mayor asociación (r: 0,99), respecto al número de semillas por capítulo (r: 0,87).
Los resultados obtenidos en este trabajo demuestran que el crecimiento y la fecundidad de C. sumatrensis son procesos dependientes de la densidad, y que dichos procesos restringen el potencial reproductivo a nivel de planta individual.
A pesar de la variación de la densidad de plantas, tanto la biomasa total como la fecundidad resultaron similares por unidad de superficie en los distintos niveles de densidad considerados. En las densidades experimentales más altas, las plantas fueron más pequeñas, compensando así el incremento del número de individuos respecto a densidades más bajas y, consecuentemente, igualando la producción final en todos los niveles de densidad.
No obstante, el efecto final de la competencia intraespecífica se manifiesta sobre las generaciones futuras, por lo tanto la competencia intraespecífica tendería a regular el tamaño de las poblaciones de esta especie.
Sumado a ello, los efectos de la competencia son determinantes de la variación de la estructura, del sistema de ramificación y, consecuentemente, de la forma de crecimiento de esta especie. El menor desarrollo presentado en las plantas que crecen en ambientes con deficiencias nutricionales a altas densidades podría hacerlas más susceptibles a los daños por herbicidas en comparación con plantas que se desarrollan a bajas densidades. En consecuencia estos resultados tienen implicancias ecológicas y de manejo agronómico importantes, dado que permiten estudiar la morfología del desarrollo de esta especie en el espacio y en el tiempo, generar nuevas herramientas en la toma de decisiones para el manejo, estimar las condiciones óptimas para obtener determinados tamaños de plantas y evaluar las respuestas poblacionales a la aplicación de los tratamientos químicos.
Debido a que las prácticas de control tienen una marcada influencia sobre los parámetros demográficos de esta especie, el éxito a largo plazo de cualquier programa de control dependerá del entendimiento de los mecanismos que regulan el tamaño de una población.
En este sentido, la comprensión de estos mecanismos permitirá una planificación estratégica para el manejo de C. sumatrensis en los escenarios agrícolas bajo siembra directa, considerando un uso racional de herbicidas que permita reducir la producción de semillas de sus poblaciones junto a la selección de otras prácticas de control, minimizando el riesgo de impacto negativo en el ambiente.
Conclusiones
La emergencia de C. sumatrensis se asoció a las condiciones meteorológicas, concentrándose durante el otoño, observándose un segundo flujo de emergencia de menor magnitud en primavera.
El crecimiento y la fecundidad se redujeron marcadamente hasta una densidad de 75 plantas m-2, por encima de la cual permanecieron relativamente constantes.
La producción de semillas por planta se relacionó directamente con la altura y con el peso fresco de las plantas. El número de capítulos por planta reguló la producción de semillas por planta, en mayor medida que el número de semillas por capítulo. El menor desarrollo presentado en las plantas que crecen en ambientes con deficiencias nutricionales a altas densidades podría hacerlas más susceptibles a los daños por herbicidas, en comparación con plantas que se desarrollan a bajas densidades.













