Servicios Personalizados
Revista
Articulo
Links relacionados
Compartir
Agrociencia (Uruguay)
versión impresa ISSN 1510-0839versión On-line ISSN 2301-1548
Agrociencia Uruguay vol.20 no.1 Montevideo jun. 2016
Acidez titulable del suelo a pH = 7, al filtrar el extracto y controlar el pH con electrodo
Beretta Andrés1, Bassahum Daniel1, Torres Deborah1
1INIA La Estanzuela, Laboratorio de Suelos, Plantas y Aguas. Ruta 50, km 11, 70.000 Colonia, Uruguay. Correo electrónico: aberetta@inia.org.uy
Recibido: 11/5/14 Aceptado: 27/11/15
Resumen
Generalmente, al determinar la acidez titulable a pH7 (AT_pH7) se coloca al suelo en una solución tampón de pH=7 y la acidez liberada se mide con álcali. No hay información comparativa de diferentes métodos analíticos utilizados en Uruguay. Se cuantificó la AT_pH7 por tres procedimientos: a) se agitó la mezcla acetato de calcio:suelo y se dejó reposar 16 horas, se filtró el extracto y la titulación a pH = 7 se controló con electrodo (AT_pH7_fil); b) igual al anterior pero se tituló el sobrenadante del extracto, sin filtrar (AT_pH7_sob); c) se hicieron cuatro extracciones sucesivas con acetato de bario, se filtró el extracto y se controló el pH = 7 con fenolftaleína (AT_pH7fen) como indicador. Consideramos los valores AT_pH7fen como referencia. Al comparar AT_pH7_sob con AT_pH7_fil consideramos a los primeros como indicador de referencia. El ajuste entre AT_pH7_sob y AT_pH7_fil fue satisfactorio. La diferencia promedio fue de 0,36 meq.100g-1, pero hubo diferencias de -1,00 a 1,70 meq.100g-1. No existió sesgo en las diferencias. Algunas fuentes de acidez pudieron permanecer en el sedimento y no fueron evaluadas al titular el sobrenadante. Las mediciones AT_pH7_fil sobreestimaron 0,73 meq.100g-1 el promedio de AT_pHfen. Los valores promedio de AT_pH_sob y AT_pHfen no difirieron. Las muestras tuvieron la misma clasificación acorde a su saturación en bases independientemente del método utilizado. Ni la medición del pH = 7 con electrodo en vez de con fenolftaleína, ni el mayor tiempo de extracción, ni tampoco la utilización de acetato de calcio como extractante introdujeron significativos errores de interpretación. El método AT_pH_fil tuvo precisión y exactitud aceptables.
Palabras clave: SATURACIÓN EN BASES, EXTRACCIÓN DE SUELO CON BUFFER, FENOLFTALEÍNA
Summary
Soil Titratable Acidity to pH = 7 by Filtering the Extract and Controlling the pH with Electrode
Whwn measuring the titratable acidity to pH=7 (AT_pH7) the soil is placed down with a buffer solution of pH=7 and the amount of acidity released is quantified with alkali. There is no comparative information about different analytical methods used in Uruguay. The AT_pH7 was measured by three methods: a) the mixture calcium acetate:soil was stirred and allowed a 16 hours rest, the extraction was filtered, and titration at pH = 7 was controlled by electrode (AT_pH7_fil); b) the same as the previous method, but after a 16 hours rest the supernatant was titrated unfiltered (AT_pH7_sob); c) four successive extractions with barium acetate buffered to pH = 7 were done, the extract was filtered and titrated to pH = 7 using phenolphthalein (AT_pH7fen) as an indicator. The AT_pH7fen values were considered as reference. When comparing AT_pH7_sob with AT_pH7_fil the first were considered as reference values. The fit between AT_pH7_fil and AT_pH7_sob was satisfactory. The average difference was 0.36 meq.100g-1 but differences from -1.00 to 1.70 meq.100g-1 were observed. There was no bias in the differences. Some sources of acidity may have remained in the sediment and were not evaluated when titrating the supernatant. The AT_pH_fil overestimated the average AT_pHfen values in 0.73 meq.100g1. The average values of AT_pH_sob and AT_pHfen did not differ. The samples had the same classification according to their base saturation regardless of the method used. Neither the measurement of pH = 7 with electrode instead of phenolphthalein, nor the longest extraction time, or the use of calcium acetate as extractant introduced significant errors of interpretation. The AT_pH_fil method had acceptable precision and accuracy.
Keywords: BASE SATURATION, BUFFERED SOIL EXTRACTION, PHENOLPHTHALEIN
Introducción
Al medir la acidez titulable a pH7 (AT_pH7) se determina la cantidad de acidez que el suelo es capaz de liberar cuando es llevado a ese valor de pH (Landis y Koch, 1977). Para su determinación se coloca el suelo con una solución tampón de pH = 7, lo cual genera que los coloides del suelo liberen H+. Posteriormente se cuantifica la cantidad de acidez liberada mediante titulación con un álcali. Esta determinación, en Uruguay, se utiliza con fines taxonómicos (Altamirano et al., 1976).
Se han propuesto diferentes soluciones buffereadas a pH = 7. En Uruguay se utiliza acetato de bario y acetato de calcio. Las diferencias en el potencial iónico hidratado de ambos cationes, su abundancia en el complejo de intercambio de los coloides y su interacción con la materia orgánica, podrían incidir en la liberación de la acidez del suelo.
Una vez realizada la extracción de las fuentes de acidez, el extracto puede filtrarse (Jackson, 1976; Quaggio y van Raij, 2001; Camargo et al., 2009) o puede dejarse decantar la mezcla suelo:extractante y extraerse el sobrenadante para la titulación (Quaggio y van Raij, 2001). Filtrar el extracto permitiría al laboratorista manipular con mayor comodidad la muestra, pero la composición del extracto puede ser diferente a la del sobrenadante, lo cual incidiría en la medición de la acidez titulable.
El equilibrio a valor de pH = 7 se puede medir con un reactivo que vire de color (Jackson, 1976) o con electrodo (Camargo et al., 2009). Las exactitudes de ambas medidas pueden ser diferentes. La lectura por viraje de color depende de la apreciación del operario, mientras las mediciones con electrodo tienen una exactitud que depende de la correcta calibración y mantenimiento del equipo.
En el Laboratorio de Suelos del Ministerio de Ganadería, Agricultura y Pesca (MGAP) se utiliza una modificación del protocolo de AT_pH7 propuesto por Jackson (1976). En esta determinación se utiliza acetato de bario como extractante, se titula el filtrado del extracto y el pH=7 se cuantifica por viraje de color. En el Laboratorio de Suelos, Plantas y Aguas de INIA la Estanzuela se utiliza el protocolo sugerido por Quaggio y van Raij (2001). En esta técnica, el extractante es acetato de calcio, se realiza la titulación del sobrenadante y el pH = 7 se controla con electrodo. En este trabajo se comparó la técnica analítica realizada por INIA con la realizada por el MGAP, con el objetivo de evaluar posibles diferencias en la interpretación de los resultados. Para el procedimiento del INIA se evaluó el cambio generado por filtrar la extracción antes de la titulación, acorde a lo propuesto por Camargo et al. (2009).
Materiales y métodos
Se midió la AT_pH7 acorde al protocolo del INIA, en 47 muestras de suelo de diferentes procedencias y composición química diversa (Cuadro 1). Las muestras fueron secadas a 40 °C durante 48 horas y molidas hasta pasar por malla de 2 mm.
A una submuestra de 5 g de suelo seco se le agregó 100 mL de acetato de calcio buffereado a pH 7, se agitó la mezcla durante 10 minutos, se dejó reposar durante 16 horas y se filtró la extracción con papel Watman N° 2. Se tomaron 40 mL del filtrado y se lo tituló con NaOH 0,1 N hasta llegar a pH = 7(AT_pH7_fil). Se controló el pH con electrodo, acorde a lo propuesto por Camargo et al. (2009). A otra sub muestra, acorde al protocolo propuesto por Quaggio y van Raij (2001), luego del reposo de 16 horas se extrajo una alícuota de 40 mL del sobrenadante, sin filtrar la mezcla suelo:extractante y se realizó la titulación al igual que en el caso anterior (AT_pH7_sob). Se consideraron los valores AT_pH7_sob como los de referencia.
A 10 muestras se les midió la AT_pH7, acorde al protocolo que utiliza el MGAP. Se pesaron 15 g de suelo seco y realizaron cuatro extracciones sucesivas con Ba(CH3COO)2 buffereado a pH7, se filtró cada extracto y se tituló con NaOH 0,1 N hasta pH = 7 para lo que se utilizó fenolftaleína como indicador (AT_pH7fen). Al comparar los resultados se asumieron los valores AT_pH7fen como los de referencia. Cuatro muestras fueron analizadas por triplicado para medir el coeficiente de variación (CV %) de la técnica. El menor número de muestras aquí analizadas se debe a que el interés es solo comparativo, no se plantea el objetivo de optar por un procedimiento.
Para evaluar una posible diferencia de interpretación acorde a los resultados obtenidos, se clasificaron las muestras acorde a su saturación en bases a pH 7 (V7), en saturadas o desaturadas, según el valor V7 fuera mayor o menor a 50 %. La estimación V7 se basó en la suma de los meq.100g-1 de Ca, Mg, Na y K, divida por la CIC estimada a pH 7. Acorde al valor de AT_pH7 corresponda a AT_pH7_sob, AT_pH7_fil o AT_pH7fen, se estimó V7_sob, V7_fil o V7_fen respectivamente. La clasificación a partir de V7_fil se comparó con la clasificación V7_sob, tomándose esta última como la de referencia. Ambas clasificaciones se compararon con la obtenida a partir de V7_fen y se consideró esta última como correcta.
La exactitud de las mediciones AT_pH7_fil se evaluó por regresión y comparación de medias apareadas con los valores AT_pH7_sob. Se consideró que las diferencias entre las técnicas carecieron de sesgo al tener distribución normal. La precisión de las mediciones AT_pH7_fil se evaluó a través del CV % obtenido de cinco mediciones realizadas a siete muestras. Se evaluó, además, la concordancia en la clasificación de V7 por el índice de Kappla.
Resultados y discusión
Las determinaciones AT_pH7_fil se ajustaron satisfactoriamente con las determinaciones AT_pH7_sob (Cuadro 2), pero los valores fueron superiores en 6,9 % aproximadamente. De la regresión ajustada, el intercepto no difirió de cero, por lo que asumimos que no existió una fuente de error que fuera constante. La diferencia promedio entre las medias apareadas fue de 0,36 meq.100g-1, la cual difirió de cero (p < 0,05) y se observaron diferencias entre -1,00 y 1,70 meq.100g-1. En términos de valores absolutos, la determinación AT_pH7_sob difirió en promedio 0,53 meq.100g-1 de la determinación AT_pH7_fil. No existió sesgo en las diferencias (Figura 1). Pudieron existir fuentes de acidez que permanecieron preferentemente en el sedimento, las cuales no fueron evaluadas al titular solamente el sobrenadante. El filtrado de la muestra pudo tener mayor contenido de C org que el sobrenadante, luego de la decantación de sustancias orgánicas durante las 16 horas de reposo. En este caso la titulación del extracto hubiese demandado mayor gasto ya que existió una correlación positiva entre el contenido de C org de las muestras y las mediciones AT_pH7_fil (r = 0,82) o AT_pH7_sob (r = 0,78). La materia orgánica tiene poder buffer en el suelo (Bot y Benites, 2005; McBride, 1994; Bloom et al., 1979) lo que generaría mayor gasto de álcali para aumentar el valor de pH de la solución a un valor de pH = 7.
Las mediciones AT_pH7_fil tuvieron un CV % promedio de 9 %, pero la precisión aumentó en función del valor medido (Figura 2), lo cual pudo deberse a que a bajos valores la técnica tiene mayores errores debido a los instrumentos utilizados. Los límites de detección del instrumental utilizado, como ser la graduación de la pipeta y la sensibilidad del electrodo, conllevan a una menor precisión al tener un bajo valor de AT_pH7_fil, ya que pequeñas variaciones provocan mayor diferencia relativa entre las repeticiones de la muestra. La muestra que se utilizó como control en INIA, para las mediciones AT_pH7_sob, tuvo un coeficiente de variación de 9,7 % para n = 50. Esta misma muestra presentó un CV % de 4,9 % para n = 5 al medir AT_pH7_fil. Los valores obtenidos a partir de las mediciones AT_pH7_fil tienen una precisión aceptable. La técnica AT_pH7fen para cuatro muestras analizadas por triplicado presentó un CV % promedio de 2,1 %. El mayor CV (8,16 %) lo presentó la muestra de menor valor de AT_pH7fen, de 2,38 meq.100-1g.
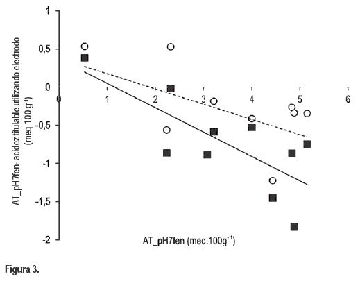
Las mediciones de acidez titulable al controlar el pH con electrodo tuvieron una aceptable correlación con la titulación realizada cuando se controló el pH con fenolftaleína (ver Cuadro 2). Las mediciones AT_pH_fil sobreestimaron en un 23 % las mediciones AT_pHfen, lo cual equivalió a un promedio 0,73 meq 100g-1 mayor de acidez titulable. La diferencia de medias apareadas promedio entre AT_pH_sob y AT_pHfen, de 0,32 meq 100g-1, no fue significativa. Las diferencias entre las mediciones al controlar el pH con electrodo o con fenoftaleína dependieron del valor medido de AT_pHfen para ambas técnicas que utilizaron electrodo (Figura 3). Se observó una tendencia a valores positivos a niveles bajos de AT_pHfen y negativos para valores altos. Expresada la diferencia en valores absolutos, sin embargo, no se observó una tendencia. Las diferencias observadas pudieron deberse al tiempo de extracción o a la naturaleza del extractante. En las mediciones AT_pHfen, las cuatro extracciones sucesivas suman un tiempo total de 150 minutos, mientras que en las otras técnicas el tiempo de contacto del suelo con el extractante sumó más de 16 horas. En este estudio asumimos que las mediciones del pH = 7 con fenolftaleína son correctas, pero las sustancias que viran de color por el pH pueden presentar interferencias debidas a la temperatura de trabajo, presencia de sales disueltas y reacción de sustancias orgánicas (Sheppard y Guiseppi–Elie, 1999; Yuqing et al., 2005).
Clasificación de muestras según V7
La clasificación de las muestras acorde a V7_sob no difirió significativamente de la realizada con los valores V7_fil, solo una muestra (n = 47) fue clasificada como de-saturada cuando debió clasificarse como saturada. El índice de Kappla fue de 0,911, lo cual se consideró muy bueno acorde a Landis y Koch (1977). En la comparación de V7_sob y V7_fil con V7_fen todas las muestras (n = 10) se clasificaron como saturadas.
Conclusiones
La medición de AT_pH7 una vez filtrada la mezcla suelo:extractante fue de precisión y exactitud aceptables. Es posible que al filtrar la muestra, sin embargo, se hayan titulado mayores fuentes de acidez que al titular el sobrenadante de la extracción. Ni la determinación de la acidez titulable a pH = 7 con electrodo en lugar de fenolftaleína, ni el mayor tiempo de extracción ni la utilización de acetato de calcio introdujeron en la interpretación errores significativos, aunque mostraron una tendencia a mayores valores respecto al método de referencia. El protocolo de medición utilizado en INIA otorga valores de análisis comparables a los del laboratorio del MGAP.
Bibliografía
Altamirano A, Da Silva H, Durán A, Echevarría A, Panario D, Puentes R. 1976. Carta de Reconocimiento de Suelos del Uruguay. Tomo I : Clasificación de Suelos. Montevideo : Ministerio de Agricultura y Pesca. 97p.
Bloom PR, McBride MB, Weaver RM. 1979. Aluminum Organic Matter in Acid Soils : Buffering and Solution Aluminum Activity. Soil Science Society of American Journal, 43: 488 – 493.
Bot A, Benites J. 2005. The importance of soil organic matter : key to drought-resistant soil and sustained food and production [En línea]. Roma : FAO 95p. (Soil Bulletin ; 80) . Consultado 5 de noviembre 2014. Disponible en: http://www.fao.org/3/a -a0100e.pdf.
Camargo OA, Moniz AC, Jorgey JA, Valadares JMAS. 2009. Métodos de Análise Química, Mineralógica e Física de Solos do Instituto Agronómico de Campinas. Campinas : IAC. 77p. (Boletín Técnico Nº 106).
Jackson M. 1976. Análisis químico de suelos. Barcelona : Omega. 662p.
Landis J, Koch G. 1977. The measurement of observer agreement for categorical data. Biometrics, 33: 159 – 174.
McBride M. 1994. Environmental Chemistry of Soils. New York : Oxford University Press. 406p.
Quiaggio JA, van Raij B. 2001. Determinação do pH em cloreto da cálcio e da acidez total. En: Raij BV, Andrade JC, Cantarella H, Quaggio JA. [Eds]. Análise Química para Avaliação da Fertilidade de Solos Tropicais. Campinas : Instituto Agronômico. pp. 181 – 188.
Sheppard NF, Guiseppi–Elie A. 1999. pH Measurement. En: Webster JG. [Eds.]. The measurement, instrumentation and sensors handbook. Boca Raton : CRC Press LLC. 16p.
Yuqing M, Jianrong C, Keming F. 2005. New technology for the detection of pH. Journal of Biochem Biophys Methods, 63(1): 1 – 9













