Servicios Personalizados
Revista
Articulo
Links relacionados
Compartir
Agrociencia (Uruguay)
versión impresa ISSN 1510-0839versión On-line ISSN 2301-1548
Agrociencia Uruguay vol.18 no.1 Montevideo jun. 2014
Efecto de las deficiencias hídricas en diferentes etapas de desarrollo sobre el rendimiento de soja
Giménez, Luis1
1Departamento de Producción Vegetal. Estación Experimental Mario A. Cassinoni. Facultad de Agronomía, Universidad de la República. Ruta 3, km 363, 60000 Paysandú, Uruguay. Correo electrónico: kapoexe@fagro.edu.uy
Recibido: 20/5/13 Aceptado: 27/11/13
Resumen
La soja [Glycine max (L.) Merill.] es el principal cultivo del país, se realiza en secano y los rendimientos obtenidos son inferiores a los de la región. Las deficiencias hídricas son la principal limitante de los ambientes de producción, las mismas afectan el rendimiento por la disminución en la acumulación de materia seca y por los efectos negativos en la fijación biológica de N2. Se desarrollaron dos ensayos en años consecutivos con características climáticas contrastantes. El objetivo fue cuantificar las pérdidas de rendimiento provocadas por deficiencias hídricas en diferentes etapas de desarrollo. Se evaluaron cuatro tratamientos: sin deficiencias hídricas (T1), deficiencias durante el periodo crítico (PC, T2), deficiencias en las etapas no críticas previas al PC (T3) y secano (T4). Las deficiencias se generaron por intercepción de las precipitaciones (PP) a través de la utilización de simuladores de sequía y el bienestar hídrico se logró con riego suplementario. Las deficiencias hídricas durante el PC provocaron diferencias significativas y diminuciones del rendimiento de 44 a 50 %. El estrés hídrico en las etapas previas al PC no generó diferencias estadísticas y provocó pérdidas de 23 %. Los rendimientos sin deficiencias hídricas en el primer y segundo año duplicaron y triplicaron a los promedios del país. Las pérdidas de rendimiento por deficiencias hídricas y los rendimientos sin deficiencias justifican evaluar diferentes estrategias de manejo del agua de riego.
Palabras claves: ESTRÉS HÍDRICO, GLICYNE MAX, RIEGO
Summary
Effect of Water Deficiencies at Different Stages of Development on Soybean Yield
Rainfed soybean [Glycine max (L.) Merill.] is the main crop in Uruguay and yields are lower than those obtained in the region. Water deficiency is the major limiting factor in the production environments, as it negatively affects yield due to the decrease in both dry matter accumulation and biological N2 fixation. Two studies have been carried out during two consecutive years with contrasting climatic characteristics. The aim was to quantify yield losses due to water deficiency at different stages of crop development. Four treatments were defined; without any water deficiency (T1), with water deficiency during the critical period (CP, T2), with water deficiencies during non-critical periods previous to CP (T3) and rainfed (T4). To obtain water deficiencies rainfall was intercepted (PP) by using rain shelters while water availability was achieved by supplementary irrigation. Water deficiencies during CP caused significant differences and lowered the yield from 44 to 50 %. Water stress previous to CV did not produce significant differences and the loss was of 23 %. Without water stress, both during the first and the second year, the yields doubled and tripled the country averages. Yield losses due to water deficiency and yields under no water stress show the need to evaluate different management strategies for irrigation.
Keywords: WATER STRESS, GLYCINE MAX, IRRIGATION
Introducción
La soja es el principal cultivo agrícola del país, se realiza mayoritariamente en condiciones de secano y los rendimientos logrados son inferiores a los obtenidos en la región.
El estrés hídrico es considerado a nivel mundial como el factor más importante en limitar el crecimiento y el rendimiento de las plantas (Boyer, 1982). Las deficiencias hídricas son una de las principales limitantes ambientales que presenta la soja en el país (Sawchik y Ceretta, 2005; Giménez y García Petillo, 2011). Las mismas afectan el rendimiento a través de la disminución en la acumulación de materia seca y por los efectos negativos sobre el crecimiento celular, la expansión foliar y la fijación biológica de nitrógeno (N2 ) que es especialmente vulnerable a las deficiencias de agua (Sinclair y Serraj, 1995; Serraj et al., 1999).
Las características morfológicas y fisiológicas de la soja le otorgan capacidad para compensar daños causados por estrés hídrico, la posibilidad de ramificar, la extensa etapa de floración y la producción de un número de estructuras reproductivas superior a las que realmente concreta, son mecanismos que permiten compensar deficiencias hídricas (Andrade et al., 2000).
La etapa de desarrollo en la que ocurren las deficiencias es determinante del rendimiento, porque a una misma intensidad y duración de la deficiencia, el efecto será diferente (García y Ferrarotto, 2009). Las etapas del ciclo de mayor sensibilidad a la ocurrencia de deficiencias hídricas son las comprendidas entre la fructificación avanzada y el llenado de granos, etapas entre R4 y R6 (Fehr y Caviness, 1977), es decir el periodo más crítico de determinación del rendimiento. Esto se debe, a que durante estas etapas la capacidad de compensación del cultivo se ve reducida, debido a que al aborto floral por deficiencias hídricas se le agrega el de las vainas de menor tamaño, que son las estructuras reproductivas que presentan mayor susceptibilidad de abscisión. Las pérdidas de rendimiento en el periodo crítico (PC) resultan de reducciones en el número de vainas por planta (Momen et al., 1979; Korte et al., 1983; Pandey et al., 1984) y disminuciones en los granos por vaina y peso de granos (Baigorri y Croatto, 2000), afectándose de esa manera el principal componente del rendimiento que es el número de granos por superficie.
La literatura es abundante en determinar los efectos de las deficiencias hídricas en el rendimiento en grano de soja, sin embargo no está claro cuánto se pierde en las diferentes etapas fenológicas. Este aspecto resulta de interés para definir estrategias de riego suplementario. El objetivo principal del trabajo fue cuantificar las pérdidas de rendimiento en grano provocadas por deficiencias hídricas en diferentes etapas de desarrollo.
Materiales y métodos
El trabajo se desarrolló en el campo experimental de riego de la Estación Experimental Mario A. Cassinoni de la Facultad de Agronomía, ubicado en Paysandú a 32º 22' S y 58º 03' O, durante los años agrícolas 2009-10 y 2010-11.
El suelo del campo experimental se caracterizó como un Brunosol sub-éutrico típico (Fine, thermic, superactive, mixed, Pachic Argiudoll), perteneciente a la formación Fray Bentos y a la unidad San Manuel en la carta de reconocimiento de suelos del Uruguay (escala 1:1000.000) (Altamirano et al., 1976).
El análisis químico realizado en octubre de 2009 indicó que el suelo presentaba 3,3 % de materia orgánica (M O), 10 ppm de nitrógeno y nitratos (N-NO3 ) y 10 ppm de fósforo (P) en noviembre de 2010 el análisis de P en suelo indicó 20 ppm.
El suelo fue fertilizado en 2009 con 120 kg ha-1 de P-PO4 la fuente fue superfosfato triple de calcio (0-46-46-0) aplicado previo al laboreo e incorporado con el mismo, en 2010, no fue necesario fertilizar con P.
El laboreo realizado en ambos experimentos fue de tipo convencional y se realizó con rastra de discos excéntrica y rastra de dientes.
Las características hidrológicas principales del suelo se muestran en el Cuadro 1.
En las Figuras 1 y 2 se muestran las precipitaciones (PP) y la radiación solar mensual durante la estación de crecimiento en los años 2009-10 y 2010-11.
Las siembras fueron realizadas con una sembradora experimental, el 07 de diciembre y el 29 de noviembre de 2009 y 2010, respectivamente. El material genético utilizado de soja fue la variedad DM 5.1 i.
Cada parcela presentó una dimensión de 5 m de longitud por 2 m de ancho, y las mismas estuvieron compuestas por cinco surcos de cultivo y una distancia entre hileras de 0,4 m. La población lograda fue de 347000 plantas ha-1.
El control de malezas se realizó con el herbicida glifosato en dosis de 2 l ha-1 de producto comercial; se realizaron tres aplicaciones post emergencia en cada año, de acuerdo a la evolución del enmalezamiento.
Los tratamientos (T) evaluados en los ensayos realizados fueron:
T1= sin deficiencias hídricas
T2= deficiencias hídricas en el PC de determinación del rendimiento, definido entre las etapas R4 y R6 (Fehr y Caviness, 1977). En 2009-10 el PC se ubicó temporalmente entre el 13/02 y 15/03 y en 2010-11 entre el 03/02 y 02/03.
T3= deficiencias hídricas en las etapas no críticas (ENC) previas al PC las que abarcaron las etapas vegetativas y desde R1 a R3. En 2010-11 la ubicación temporal de estas etapas fue entre 07/12 y 02/02.
T4= secano
En el primer año de estudio el T3 fue considerado como tratamiento perdido debido a que las características climáticas del año impidieron interceptar las PP en las ENC.
Los T1, T2, y T3, de los experimentos fueron provocados mediante dos tipos de intervenciones en la disponibilidad hídrica: a) riego suplementario y b) colocación de simuladores de sequía durante los eventos de PP con el objetivo de interceptar el ingreso de agua en los tratamientos definidos con deficiencias hídricas.
El riego se realizó a través de un sistema de goteo, con cintas con goteros cada 0,2 m y con un caudal/gotero de 1,49 l h-1. El riego se aplicó de acuerdo a la variación del porcentaje de agua disponible (AD), la cual fue estimada a través de un balance hídrico de suelos simplificado de paso diario. Las variaciones del contenido de agua en el suelo fueron calculadas mediante la expresión: ΔS = PP + R – ETc, siendo: ΔS= variación de AD (mm), R= riego (mm) y ETc= evapotranspiración de cultivo (mm), calculada como ETc= ETo x Kc, siendo ETo la evapotranspiración del cultivo de referencia (mm), la cual fue estimada utilizando la ecuación de FAO Penman-Monteith (Allen et al., 1998) y Kc = coeficiente de cultivo, se utilizaron los Kc propuestos por FAO (Allen et al., 1998). Los parámetros climáticos para estimar la ETo fueron medidos a través de una estación meteorológica automática Vantage Pro 2TM, modelo 6510 (Davis Instruments, Hayward, CA), ubicada aproximadamente a 2000 m del sitio experimental. Se determinó el inicio del riego durante el PC cuando el contenido hídrico del suelo descendió de 60 % AD y en las ENC de 40 % AD, a la profundidad radicular estimada. La finalización del riego se realizó cuando el porcentaje de AD llegó a 90 %. En los tratamientos con deficiencias hídricas el porcentaje de AD se dejó descender hasta 20 % y luego se regó hasta 40 % en ENC y hasta 60 % AD en el PC.
Los simuladores de sequía fueron construidos en hierro con cubiertas de lona impermeable, las dimensiones de los mismos fueron de 2 m de ancho, 5 m de longitud y 1,5 m de altura máxima. Las estructuras de hierro fueron diseñadas con techos a dos aguas, dos paredes laterales, una frontal y una trasera. Los simuladores fueron colocados inmediatamente antes de cada evento de PP y retirados inmediatamente después del mismo, intentando no modificar sustancialmente las condiciones de radiación solar y temperatura. Las parcelas estuvieron limitadas externamente por una ronda de 20 cm de altura construida en tierra, para impedir la entrada de agua de escurrimiento. En cada parcela se construyó un desagüe para evacuar el agua de lluvia proveniente de los techos de los simuladores.
En el Cuadro 2 se muestran las PP totales ocurridas durante los ciclos, el volumen de agua de riego y el número de eventos y el volumen de PP interceptado por los simuladores para cada tratamiento y cada año.
El consumo de agua de los tratamientos fue estimado a través de la medición del contenido hídrico del suelo mediante un equipo de sonda de neutrones CPN modelo 503DR HIDROPROBE. Previamente a la utilización del equipo se construyó una curva de calibración para el suelo del campo experimental. Para ello se midió el contenido de humedad del suelo a través del método gravimétrico y se realizaron las lecturas a las mismas profundidades con la sonda de neutrones, obteniendo una curva de calibración del equipo ajustada con r2= 0,95. Las mediciones de agua se realizaron cada 0,1 m, en tubos de acceso de aluminio de 1 m de longitud y 2 pulgadas de diámetro. En el año 2009-10 las mediciones de agua se realizaron en las siguientes fechas: 08/01, 20/01, 26/01, 30/01, 08/02, 17/02, 22/02, 27/02, 06/03 y 11/03. En 2010-11 fueron realizadas el 23/12, 29/12, 10/01, 21/01, 28/01, 10/02, 21/02, 02/03 y 14/03.
Se efectuaron tres muestreos de biomasa de la parte aérea coincidiendo aproximadamente con los estadios de inicio de PC 27/01/10 y 02/02/11 (muestreo 1), final del PC 24/02/10 y 10/03/11 (muestreo 2) y maduración 10/03/10 y 30/03/11 (muestreo 3). En cada muestreo se cortó 1 m lineal de plantas a 3 cm del suelo por tratamiento, los muestreos 1 y 2 se realizaron en el cuarto surco a 0,3 m de cada borde, el muestreo 3 se realizó en el área de cosecha. Las muestras fueron pesadas frescas en laboratorio y una sub-muestra proveniente de cada parcela se secó en estufa a temperatura de 60 ºC hasta obtener peso constante, de esa manera se calculó el porcentaje de materia seca (MS) de cada muestra.
El rendimiento en grano fue estimado a partir de 4 m lineales de plantas, se cosecharon 3 m del segundo surco y 1 m del tercero en el centro de cada hilera. En la superficie de cosecha de cada parcela se determinó el número de granos m-2 y se midió el peso promedio de grano.
El diseño experimental fue de bloques completamente aleatorizados, ajustándose el modelo.
Yij= μ + ti + βj + εij
donde: m es la media general, t es el efecto de los tratamientos, b es el efecto de los bloques, e es el error experimental, siendo i: tratamientos 1, 2, 3 y 4 j= bloques 1, 2 y 3. Se realizaron contrastes ortogonales para comparar los tratamientos evaluados, se utilizó el test de Tuckey en todos los casos con un nivel de significación del 5 %. Los análisis fueron realizados mediante el paquete estadístico SAS v.9.2 (SAS, Institute Inc., 2008).
Resultados y discusión
Evolución del agua disponible en el suelo
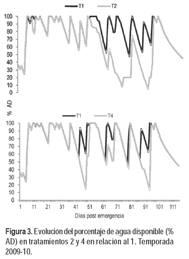
En el año 2009-10 el T1 presentó un porcentaje elevado de AD durante las diferentes etapas del ciclo de acuerdo a la planificación realizada. El T2 mantuvo deficiencias durante el PC, no obstante se detectó un ascenso del AD al inicio de dicho periodo debido al ingreso de agua de PP que no fue posible interceptar a través de la metodología experimental. El T4 mostró un elevado y variable contenido de AD en la mayor parte del ciclo por causa de las PP abundantes ocurridas en este año (Figura 3).
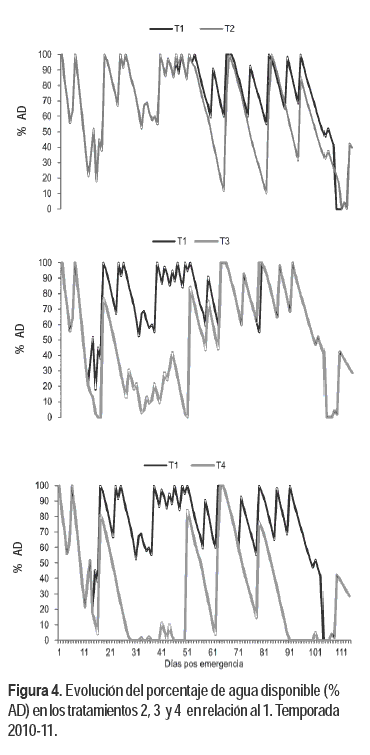
En el año agrícola 2010-11 el T1 presentó un contenido alto de AD durante la mayor parte del ciclo. El T2 mostró bajos porcentajes de AD en parte del PC, no obstante hubo dos ingresos de PP no interceptados, por lo que no se cumplió totalmente la planificación. El T3 presentó un bajo contenido de AD durante las ENC previas al PC. El T4 presentó diferencias notorias con lo ocurrido el año anterior, se detectaron deficiencias hídricas en las primeras etapas de desarrollo las que continuaron en el PC, no obstante hubo un aporte de agua de PP al inicio de dicha etapa (Figura 4).
Consumo estimado de agua
En el Cuadro 3 se muestra la estimación del consumo de agua por etapas de desarrollo y durante el ciclo total del cultivo.
El T1 presentó diferencias en el consumo de agua entre años, en 2009-10 fue notoriamente menor. Esto se justificó por la ocurrencia de un número elevado de días con PP que provocaron una baja radiación solar incidente y consecuentemente menor consumo de agua. El consumo de agua del T1 en 2010-11 fue similar al estimado por Giménez y García (2011) para soja de ciclo corto con riego.
En el T2 en los dos años de estudio hubo ingresos de PP a las parcelas durante el PC, no planeados, esto permitió un mayor consumo de agua que el planificado para este tratamiento. Las diferencias de consumo de agua entre T1 y T2 fueron de 65 y 63 mm para el primer y segundo año de estudio. Entre el T3 y el T1 en 2010-11 hubo una diferencia de consumo de 61 mm en las ENC. El T4 fue el tratamiento que presentó las menores diferencias en consumo de agua entre años (44 mm) no obstante a ser realizado en secano. En 2009-10 este tratamiento fue el que presentó las menores diferencias con el T1 (31 mm) y en 2010-11 las mayores (150 mm), esto se explicó por las distintas disponibilidades hídricas que tuvo el tratamiento en secano en los dos años de evaluación (Cuadro 3).
El consumo de agua del T4 en 2010-11 fue similar al estimado por Giménez y García Petillo (2011) para soja en secano.
Producción de biomasa
En la Figura 5 se muestra la evolución de la acumulación de MS en los tres muestreos realizados para los diferentes tratamientos evaluados en los años 2009-10 y 2010-11.
Las características climáticas del año agrícola 2009-10, provocaron que el T1 presentara limitaciones para expresar el potencial de producción de MS, esto se debió a la reducida radiación solar incidente a causa de los excesos de PP logrando acumular un máximo de 8347 kg ha-1 al estadio R6. En cambio en 2010-11, las condiciones climáticas preponderantes con menores PP y alta radiación solar incidente, provocaron que el T1 presentara una acumulación de MS de 16168 kg ha-1 a R6, aproximadamente el doble que el año anterior. Los valores obtenidos en producción de MS en 2010-11 fueron superiores a los que registraron Andrade y Sadras (2000), en experimentos con riego realizados en la región, con registros de 12000 kg ha-1 de MS. Sin embargo Acikgöz et al. (2013), en evaluaciones de diferentes cultivares y distancias entre hileras obtuvieron acumulaciones de MS a R5 de 18252 kg ha-1. No obstante dada la importancia que tienen en la producción de MS de soja las características genéticas (GM) y climáticas (PP, radiación solar, fotoperíodo y temperaturas), las comparaciones con situaciones productivas diferentes en estos aspectos no permite extraer conclusiones sólidas.
La acumulación de MS del T1 en 2010-11 fue elevada, sin embargo sensiblemente inferior a las logradas en ambientes similares en especies C4. En estudios equivalentes en maíz, en los tratamientos sin deficiencias hídricas, se logró acumular 25200 kg ha-1 de MS (Giménez, 2012), las diferencias se justifican debido a que el maíz es una especie C4 con proceso fotosintético más eficiente que el de soja. En cambio, en 2009-10 el T2 fue el tratamiento con menor producción de MS entre los evaluados, en el muestreo 2 hubo una diferencia de la MS de 32 % en relación a la producida en el T1, debido a las deficiencias hídricas provocadas durante el PC.
En 2010-11, se detectó una disminución en la producción de MS del T2 de 19 % en relación al T1. La menor disminución de MS del T2 referida al T1, en relación a la obtenida en 2009-10, se debió a PP no interceptadas en el T2, las que provocaron que las deficiencias hídricas en el PC fueran menores a las planificadas. El T3 mostró una reducción de la MS acumulada de 21 % en comparación con el T1, indicando una baja significación de las deficiencias hídricas durante las ENC en la acumulación de MS.
En 2009-10 no se encontraron diferencias en la acumulación de MS entre el T1 y el T4, dadas las características climáticas ya mencionadas que impidieron al T1 expresar el potencial de producción de MS del cultivo. En 2010-11 el T4 presentó una disminución en la acumulación de MS en relación al T1 de 37 % en el muestreo 2, se constató una respuesta diferente al año anterior, en concordancia con el comportamiento diferencial de las PP entre años.
En 2010-11 las deficiencias hídricas provocadas en los T2 y T3 y las ocurridas en el T4 por las escasas PP, impidieron capitalizar en producción de MS las condiciones de elevada radiación solar incidente. En el T1 se expresó adecuadamente el potencial de producción de MS que presenta la soja en los ambientes de producción del país en condiciones de alta luminosidad y elevada disponibilidad hídrica.
Rendimiento en grano
En la Figura 6 se muestran los rendimientos obtenidos en los tratamientos evaluados en los dos años de estudio, los mismos presentaron diferencias significativas (P<0,05).
Los rendimientos logrados en el T1 en 2009-10 y 2010-11 fueron 195 y 291 g m-1 lineal y extrapolados se obtuvieron 4885 y 7275 kg ha-1, respectivamente. Cabe destacar que los mismos fueron elevados en relación a los rendimientos promedio del país, principalmente los logrados en el segundo año del estudio. La literatura registra un amplio rango de rendimientos máximos de soja a nivel mundial que oscila entre 4500 y 8600 kg ha-1 aproximadamente (Flannery, 1983; Cooper, 2003; Lawn et al., 1984; Seityono et al., 2007). La evaluación nacional de cultivares realizada en secano, en los materiales evaluados entre 2009 y 2011 registró rendimientos máximos que variaron entre 4789 y 5825 kg ha-1 (INASE e INIA, 2013). Las variaciones en los rendimientos máximos de soja son consecuencia de la diferente disponibilidad de radiación, agua y nutrientes y la disponibilidad hídrica es el factor más limitante, por lo que el manejo del agua es el aspecto principal sobre el cual trabajar para disminuir las brechas en producción de soja (Salvagiotti, 2009).
Los rendimientos del T1 comparados con los obtenidos en los T2, T3 y T4 permiten constatar la importancia de las deficiencias hídricas en el rendimiento de soja. En los dos años, se encontraron diferencias significativas entre el T1 y el T2, en el T2 se logró entre el 50 y 44 % del rendimiento obtenido en el T1 en 2009-10 y 2010-11, respectivamente. En acuerdo con estos resultados, Andriani (2000) señala que un estrés en llenado de grano (R5-R6), produce la reducción simultánea del número de vainas, del número de granos por vaina y del peso de los granos y que las deficiencias hídricas severas durante esta etapa provocaron pérdidas de rendimiento mayores a 40 %.
Las disminuciones porcentuales en el rendimiento de soja detectadas a causa de deficiencias hídricas durante el PC fueron similares a las cuantificadas recientemente en maíz (Giménez, 2012), no obstante la conocida y elevada sensibilidad a la falta de agua que el maíz presenta durante el PC (Andrade y Sadras, 2000; Andrade et al., 1996; Cárcova et al., 2003; Hall et al., 1981). En el PC de soja se produce una alta competencia por fotoasimilados en la planta, la tasa de crecimiento del cultivo durante esta etapa es determinante del número de vainas y de granos que sobreviven y esta es la principal variable de ajuste del número definitivo de granos por superficie (Kantolic y Slafer, 2003).
Los rendimientos logrados en el T3 presentaron una disminución del 23 % en relación a los obtenidos en el T1 en el año 2010-11, sin registrarse diferencias significativas. Egli et al. (1983), generaron estrés hídrico en soja entre la siembra y R5 y no detectando diferencias en rendimiento con el testigo sin deficiencias. Andriani (2000), determinó disminuciones del rendimiento por deficiencias hídricas en las etapas vegetativas del 10 %. En este estudio el T3 comprendió las etapas vegetativas previas a la floración y la floración. La floración en soja es una etapa de menor importancia relativa sobre el rendimiento que el llenado de grano (Andriani et al., 1991) y de inferior significación en la determinación del rendimiento que en otras especies (Andrade, 1995). Esto se debe a que es una etapa de desarrollo extensa, de más de 20 días de duración, asimismo la especie produce un número de flores superior al que concreta, esto permite que exista cierta compensación ante situaciones de estrés generadas en la etapa. En ese sentido, Andrade y Sadras (2000) destacan la alta estabilidad del rendimiento de soja en respuesta al estrés entre las etapas R1 y R3.
Los T4 presentaron rendimientos similares en los dos años estudiados, sin embargo las condiciones climáticas fueron muy diferentes. Esto se explicó porque en ambos años las PP durante el mes de febrero fueron elevadas y a su vez en ese mes se ubicó mayoritariamente el PC. En 2009-10 no se detectaron diferencias entre el T1 y el T4 debido a los excesos de PP y a la baja radiación solar incidente ya comentadas, que provocaron elevados rendimientos en el T4 y disminuciones del potencial en el T1. En cambio, en 2010-11 los rendimientos del T4 se ubicaron 38 % por debajo del obtenido en el T1, detectándose diferencias significativas (P<0,05). En este año, la falta de disponibilidad hídrica en el tratamiento de secano en las diferentes etapas de desarrollo, impidió lograr rendimientos más elevados que permitían las condiciones de radiación solar y que si fueron concretados en el T1 con una adecuada disponibilidad de agua suministrada a través del riego.
Número de granos por superficie
En la Figura 7 se muestran los resultados obtenidos en el número de granos por superficie, en los tratamientos evaluados para los dos años de estudio.
En el año 2009-10, se detectaron diferencias significativas (P<0,05) entre tratamientos, se destacó el bajo número de granos, incluso en el T1, no logrando este tratamiento superar los 2500 granos m-2, el T2 presentó el 50 % de los granos fijados en el T1. La baja radiación solar causada por el exceso de PP, impidió lograr tasas de crecimiento altas durante el PC afectando en forma negativa el número de granos. En el T2 además de las restricciones en la radiación, se sumaron las deficiencias hídricas, las cuales afectaron aún más la intercepción de la radiación solar incidente y en consecuencia las tasas de crecimiento del cultivo y los granos fijados. El número de granos final determinado durante las etapas R3-R6 es función de la tasa de crecimiento del cultivo durante esta etapa (Andrade y Ferreiro, 1996).
En 2010-11 no se detectaron diferencias entre T1 y T2, no obstante se observó una clara tendencia en el T1 a presentar un mayor número de granos por superficie. En este tratamiento se obtuvieron 4362 granos m-2, este elevado número de granos se debió a las condiciones de radiación solar ya analizadas, las que permitieron una elevada acumulación de MS y la fijación de un alto número de granos por unidad de superficie. El T2 mostró el 64 % de los granos fijados en el T1; como ya se indicó las deficiencias hídricas producidas en el PC afectaron negativamente la acumulación de MS y con ello la fijación de granos.
En el T3 en 2010-11 no se detectaron diferencias significativas con el T1 y la disminución en el número de granos fue sólo de 15 %. Las deficiencias hídricas en las etapas anteriores al PC provocan disminuciones menores en el número de vainas y en el número de granos por vaina, en la medida que se restablezca la disponibilidad hídrica a partir de R4 se produce una compensación en el rendimiento por una mayor producción de flores y vainas durante las etapas R4-R6 (Andriani et al., 1991).
En 2009-10, el T4 no presentó diferencias significativas con el T1 en el número de granos fijados. En 2010-11 el T4 mostró una disminución del 33 % en el número de granos m-2 en relación al T1, encontrándose diferencias significativas. Las diferentes condiciones de PP y radiación solar, provocaron que el T4 presentara una acumulación de MS y tasas de crecimiento de cultivos diferentes en los años estudiados. En el primer año, el T4 mostró similares tasas de crecimiento y acumulación de MS que el T1, esto justificó la obtención de un número de granos similar. En el segundo año hubo una disminución notoria en la tasa de crecimiento del T4 en el PC generada por deficiencias hídricas ocurridas en esta etapa que afectaron en forma negativa la fijación de granos.
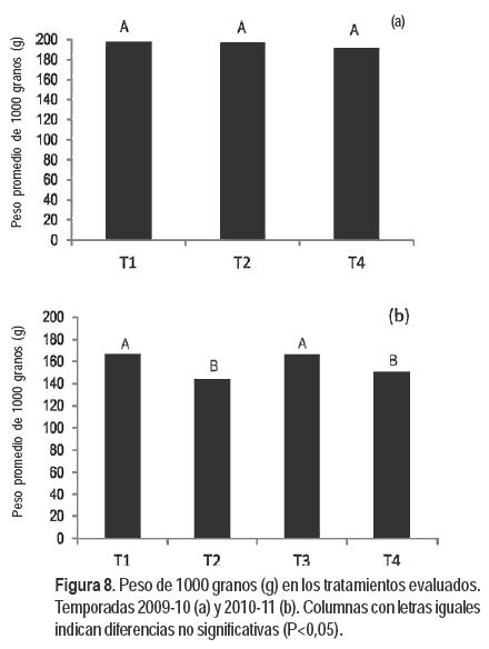
Peso promedio de granos
En la Figura 8 se muestra el peso promedio de granos obtenido en los tratamientos evaluados, en ambos años. En 2009-10, no se encontraron diferencias significativas entre los tratamientos y el peso promedio de grano fue elevado. Como se mostró en el apartado anterior, el número de granos por superficie fijado en el primer año de estudio fue bajo en los diferentes tratamientos, debido a las condiciones de radiación solar escasa principalmente durante el PC. Estas condiciones permitieron que el bajo número de granos fijado dispusiera de carbohidratos suficientes para obtener un alto peso promedio de grano, en los tres tratamientos. Kantolic et al. (2003) afirman que cuando ocurren variaciones en la fotosíntesis en el PC y el número de granos es reducido, durante el posterior crecimiento de los granos puede aumentar la disponibilidad de asimilados por unidad de grano y consecuentemente aumentar su ritmo de crecimiento y su peso final.
En cambio en 2010-11 se detectaron diferencias significativas entre los T1 y T3 con los T2 y T4. En los T2 y T4, que presentaron deficiencias hídricas en el PC fue afectado negativamente el peso de granos, en cambio en los T1 y T3 sin deficiencias en el PC el peso promedio de grano fue mayor.
En el segundo año de estudio la radiación solar incidente fue superior, sin embargo el peso de grano en el T1 fue inferior al obtenido en el primer año, esto se explicó porque este componente del rendimiento es residual, es decir se determina después que se fijó el número de granos. Por lo tanto, cuando el número de granos fijados es elevado, los fotoasimilados para la etapa de llenado de granos pueden no ser suficientes para obtener un peso de grano alto. En el segundo año se logró en el T1 y T3 un alto número de granos m-2, por ese motivo fue afectado en forma negativa el peso de grano promedio en relación al obtenido en el año anterior, dada la residualidad con que definió este componente del rendimiento.
Estos resultados confirman la extensa información que indica que el rendimiento en grano no se relaciona en forma directa con el peso promedio de grano y sí con el número de granos por superficie, siendo este último el principal componente del rendimiento en soja (Kantolic y Slafer, 2003).
Conclusiones
Las deficiencias hídricas impuestas en el PC (R4-R6) provocaron disminuciones significativas en los rendimientos de soja. Se cuantificaron pérdidas de grano que variaron entre 44 y 50 %. Las reducciones del rendimiento por deficiencias en las ENC previas al PC fueron de 23 %.
El estrés hídrico durante el PC provocó menor acumulación de MS afectando negativamente la tasa de crecimiento del cultivo en dicha etapa y el principal componente del rendimiento, es decir el número de granos por m-2. En las ENC las deficiencias provocaron disminuciones en la acumulación de MS sin afectar significativamente el número de granos.
Si bien el tamaño de parcela fue reducido, los rendimientos logrados sin deficiencias hídricas son prometedores, en el primer y segundo año de estudio se duplicaron y triplicaron respectivamente los obtenidos en el país mayoritariamente en condiciones de secano.
Las reducciones de rendimiento constatadas por deficiencias hídricas en el PC y los rendimientos obtenidos sin deficiencias avalan estudios futuros sobre diferentes estrategias de manejo del agua de riego en soja.
Agradecimientos
A INIA por financiar el proyecto FPTA 261 y hacer posible la ejecución de los experimentos. A los tesistas de 2009 y 2010 Ings. Agrs. J.P. Grasso, A. Montero, y a los Bachs. G. Canosa y C. Prieto por su dedicación en los trabajos de campo y laboratorio. Al Bach. Gerónimo Giménez por el apoyo realizado en el campo y en el laboratorio.
Bibliografía
Açikgöz E, Sincik M, Wietgrefe G, Sürmen M, Çeçen S, Yavuz T, Erdurmuº C, Göksoy AT. 2013. Dry matter accumulation and forage quality characteristics of different soybean genotypes [En línea]. Turkish Journal of Agriculture and Forestry, 37(1): 22 - 32. Consultado 2 setiembre 2013. Disponible en: http://journals.tubitak.gov.tr/agriculture/issues/tar-13-37-1/tar-37-1-2-1204-58.pdf.
Allen RG, Pereira LS, Raes D, Smith M. 1998. Crop evapotranspiratio: Guidelines for computing crop water requirements. Roma: FAO. (Irrigations and Drainage; 56). 300p.
Altamirano A, Da Silva H, Durán A, Echeverría A, Panario, D, Puentes R. 1976. Carta de reconocimiento de suelos del Uruguay: Tomo I: Claificación de suelos. Montevideo : MAP.
Andrade FH. 1995. Analysis of growth and yield of maize, sunflower and soybean grown at Balcarce, Argentina. Field Crops Research, 41: 1 - 12.
Andrade FH, Ferreiro M. 1996. Reproductive growth of maize, sun flower and soybean at different source levels during grain filling. Field Crops Research, 48: 155 – 165.
Andrade FH, Aguirrezábal LAN, Rizzalli RH. 2000. Crecimiento y rendimiento comparados. En: Andrade FH, Sadras VO. [Eds.]. Bases para el manejo del maíz, el girasol y la soja. Buenos Aires: Editorial Médica Panamericana. pp. 61 - 96.
Andrade FH, Cirilo A, Uhart S, Otegui ME. 1996. Ecofisiología del cultivo de maíz. Balcarce: La Barrosa, INTA Balcarce, FCA UNMP, Dekalbpress. 292p.
Andrade FH, Sadras VO. 2000. Efectos de la sequía sobre el crecimiento y rendimiento de los cultivos. En: Andrade FH, Sadras VO. [Eds.]. Bases para el manejo del maíz, el girasol y la soja. Buenos Aires: Editorial Médica Panamericana.
Andriani JM. 2000. Consumo de agua de los cultivos en el Sur de Santa Fe. Para Mejorar la Producción, 13: 27 – 30.
Andriani JM, Andrade FH, Suero EE, Dardanelli JL. 1991. Water deficits during reproductive growth of soybeans: I. Their effects on dry matter accumulation, and its components. Agronomie, 11: 737- 746.
Baigorri H, Croatto D. 2000. Manejo del cultivo de soja en Argentina. Marcos Juarez: INTA. 96p.
Boyer JS. 1982. Plant productivity and enviroment. Science, 218: 443 – 448.
Cárcova J, Borrás L, Otegui ME. 2003. Ciclo ontogénico, dinámica del desarrollo y generación del rendimiento y la calidad en maíz. En: Satorre EH, Benech RL, Slafer GA, de la Fuente EB, Miralles DJ, Otegui ME, Savin R. [Eds.]. Producción de granos: Bases funcionales para su manejo. Buenos Aires: U.B.A. pp.133 - 163.
Cooper RL. 2003. A delayed flowering barrier to higher soybean yields. Field Crops Research, 82: 27 -35.
Egli DB, Meckel L, Phillips RE, Radcliffe D, Leggett JE. 1983. Moisture stress and N redistribution in soybean. Agronomy Journal, 75: 1027 - 1031.
Fehr WR, Caviness CE. 1977. Stages of soybean development. Ames: Iowa State University. 11p. (Special Report ; 80).
Flannery R. 1983. Soybean Research Yields top 118 bu/A. Betters Crops with Plant Food, 68: 6 - 7.
García H, Ferrarotto M. 2009. Efecto del déficit hídrico sobre la acumulación de biomasa y nitrógeno en soya (Glicine Max) inoculada con Bradirhizobium japonicum [En línea]. Revista Facultad Agronomía (UCV), 35(1): 21 - 27. Consultado 21 agosto 2012. Disponible en: http://saber.ucv.ve/ojs/index.php/rev_agro/article/view/130/108.
Giménez L, García Petillo M. 2011. Evapotranspiración de cultivos de verano para dos regiones climáticamente contrastantes de Uruguay. Agrociencia (Montevideo), 15(2): 100 – 108.
Hall A, Lemcoff J, Trápani N. 1981. Water stress before and during flowering in maize and its effects on yield , its components, and their determinants. Maydica, 26 : 19 - 38.
INASE, INIA. 2013. Resultados experimentales de la evaluación nacional de cultivares de soja: Período 2012. [En línea]. Consultado 3 de setiembre 2013. Disponible en: http://www.inia.org.uy/convenio_inase_inia/Evaluacion_CV/Ano2012/PubSoja2012.pdf
Kantolic A, Slafer G. 2003. Número de granos en soja y la sensibilidad al fotoperiodo en etapas reproductivas. En: Satorre EH, Benech RL, Slafer GA, de la Fuente EB, Miralles DJ, Otegui ME, Savin R. [Eds.], Producción de granos: Bases funcionales para su manejo. Buenos Aires: U.B.A. pp. 186 - 187.
Kantolic A, Giménez PI, de la Fuente EB. 2003. Ciclo ontogénico, dinámica de desarrollo y generación del rendimiento y la calidad de soja. En: Satorre EH, Benech RL, Slafer GA, de la Fuente EB, Miralles DJ, Otegui ME, Savin R. [Eds.], Producción de granos : Bases funcionales para su manejo. Buenos Aires: U.B.A. pp. 165 – 201.
Korte LL, Specht JE, Williams JH, Sorensen RC. 1983. Irrigation of soybean genotypes during reproductive ontogeny: II. Yield components responses. Crops Science, 23: 528 - 533.
Lawn RJ, Troedson RJ, Garside AL, Byth DE. 1984. Soybeans in saturated soil: A new way to higher yields. En: World Soybean Research Conference III. Ammes: Iowa State University. pp. 67 - 68.
Momen NN, Carlson RE, Shaw RH, Arjman O. 1979. Moisture-stress effects on the yield componenets of two soybean cultivars. Agronomy Journal, 71: 86 – 90.
Pandey RK, Herrera EAT, Pendleton JW. 1984. Drought response of grain legumes under irrigation gradient : II. Plant water status and canopy temperature. Agronomy Journal, 76: 553 -557.
Salvagiotti F. 2009. Manejo de soja de alta producción. Para mejorara la producción, 42: 57 - 62.
Sawchik J, Ceretta S. 2005. Consumo de agua por sojas de distinto grupo de madurez en diferentes ambientes de producción. En: Jornada Técnica de cultivos: Trabajos presentados. Montevideo: INIA. (Actividades de Difusión; 417). pp. 41 - 45.
Serraj R, Sinclair T, Purcell L. 1999. Symbiotic N2 fixation response to drought. Journal Experimental Botany, 50(331): 143 -155.
Setiyono TD, Weiss A, Spetch j, Bastidas AM, Cassman KG, Dobermann A. 2007. Understanding and modeling the effect of temperature and daylenght on soybean phenology under high-yield conditions. Field Crops Research, 100: 257 - 271.
Sinclair TR, Serraj R. 1995. Dinitrogen fixation sensitivity to drought among grain legume species. Nature, 378: 344.













