Servicios Personalizados
Revista
Articulo
Links relacionados
Compartir
Agrociencia (Uruguay)
versión impresa ISSN 1510-0839versión On-line ISSN 2301-1548
Agrociencia Uruguay vol.16 no.1 Montevideo jun. 2012
Relación entre precipitaciones, temperatura, susceptibilidad de hojas de limón (Citrus limon) y aparición de cancro
Scattolini Agueda1, Cruz Gabriela1, Gamba Fernanda2, Prieto Víctor1
1Facultad de Agronomía. Universidad de la República. Garzón 780. CP12900. Sayago. Montevideo
Correo electrónico: agueda@fagro.edu.uy
2 Facultad de Agronomía. Universidad de la República. Estación Experimental Mario A. Cassinoni. Paysandú.
Recibido: 1/6/11 Aceptado: 14/3/12
Resumen
El cancro cítrico, producido por Xanthomonas citri pv citri, afecta a todas las regiones citrícolas del mundo con clima tropical o subtropical. Este trabajo estudió la relación entre precipitaciones, temperatura, susceptibilidad de hojas de limón y la aparición de síntomas de cancro. Se analizó la evolución de los síntomas de cancro en cinco meses de desarrollo de brotes vegetativos de un monte de limón tipo Lisbon con antecedentes de la enfermedad. Los datos utilizados se generaron en un monitoreo de tres fechas de brotación en parcelas con seis (Tratamiento I) y diez (Tratamiento II) aplicaciones de óxido cuproso respectivamente. Se tomaron registros de precipitaciones diarias y de temperatura cada 20 minutos. Se calcularon los parámetros de la curva logística de progreso de la enfermedad. Se determinó la edad de los brotes a la manifestación de síntomas y el valor máximo de incidencia de enfermedad. Se asumió que la lluvia inicia eventos de infección a partir de los cuales se aplicó un modelo de acumulación de grados horas para prever la fecha de aparición de síntomas. En las condiciones de infección local sólo las lluvias de más de 10 mm produjeron síntomas en la fecha predicha según el modelo utilizado. Se demostró la importancia secundaria que adquiere la susceptibilidad de los tejidos cuando se dan las condiciones para la diseminación y la expresión de síntomas. El método utilizado demostró ser una herramienta útil para predecir el riesgo de aparición de síntomas y para planificar monitoreos de la enfermedad.
Palabras clave: PERÍODO DE INCUBACIÓN, CANCRO CÍTRICO, CONDICIONES AGROCLIMÁTICAS, XANTHOMONAS CITRI PV CITRI
Summary
Relationship Among Precipitation, Temperature, Lemon (Citrus limon) Leaf Susceptibility and the Appearance of Canker
Citrus canker, caused by Xanthomonas citri pv citri, affects all Citrus production regions worldwide with tropical or subtropical climate. This work studies the relationship between rain, temperature, susceptibility of lemon leaves, and the appearance of symptoms of canker The evolution of citrus canker symptoms during five months of vegetative growth in a lemon Lisbon type orchard with disease background were analyzed. The data used were generated in the assessment of three growth flushes in plots with six (Treatment I) and ten (Treatment II) copper oxide sprays respectively. Daily rainfall and temperature were registered every 20 minutes. The parameters of the logistic curve of disease progress were calculated. Shoot age at disease outbreak and maximum disease value were determined. Rain was assumed to initiate an infection event from which a model of hour-degree accumulation was applied to predict the date for new symptoms appearance. Under the conditions of local infection, only the rains over 10 mm produced symptoms at the predicted date according to the model used. It was demonstrated that tissue susceptibility became a secondary factor once the environmental conditions became favourable to dissemination and symptoms expression. The method used demonstrated to be an useful tool to predict the risk of new symptoms appearance and to plan monitoring of the disease.
Key words: INCUBATION PERIOD, CITRUS CANKER, AGRO-CLIMATIC CONDITIONS, XANTHOMONAS CITRI PV CITRI
Introducción
El cancro bacteriano de los cítricos, producido por Xanthomonas citri pv citri, es una enfermedad muy importante en todas las regiones tropicales y sub tropicales productoras de fruta fresca.
Produce lesiones en hojas, tallos y frutos. Constituye un factor limitante de la exportación dado que es una enfermedad cuarentenaria para los principales mercados de destino de las frutas uruguayas.
El cancro cítrico es una enfermedad policíclica y como tal presenta varios ciclos de infección por temporada del cultivo. Las lesiones en hojas, tallos y frutas son fuente de inóculo que se dispersa por salpicado de agua hacia órganos jóvenes comenzando nuevas infecciones (Canteros, 1998; Schubert y Sun, 2003). La temperatura óptima para su desarrollo en pomelo y naranja está entre 25 y 30 ºC (Stall et al., 1993; Gottwald et al., 2002) mientras que las temperaturas mínimas y máximas del metabolismo de la bacteria son 5 y 35 ºC respectivamente (Peltier, 1920). En Uruguay, para controlar la enfermedad se han usado estrategias legales y químicas que dejaron de tener efecto ante la introducción de Phyllonistis citrella, durante su período de establecimiento cítricos, al final de los años 90.
La hipótesis de este trabajo fue que es posible pronosticar la aparición de síntomas de cancro cítrico. Los pronósticos fitopatológicos son altamente dependientes de la exactitud de los pronósticos de tiempo agrometeorológico. El disponer de herramientas de pronóstico de enfermedades facilita el control racional e integrado, economiza manejos y orienta tratativas comerciales al permitir estimar la cantidad de fruta comercializable que se puede comprometer. Existen algunos modelos para predecir la ocurrencia de cancro cítrico; uno es el que relaciona directamente la cantidad de enfermedad a mediados de la estación de crecimiento -diciembre- y la cantidad de fruta enferma a la cosecha (Canteros, 1998); otro ejemplo es la ecuación propuesta por Moschini et al. (2005) trabajando con datos históricos de enfermedad y registro agro climatológico. En ella integra el número de días con precipitaciones menores a 12 mm y temperaturas superiores a 32 ºC e inferiores a 13 ºC durante un período específico en el desarrollo de los frutos logrando predecir la cantidad de fruta enferma a la cosecha con un coeficiente de determinación de un 87%. Por otro lado, Koizumi (1976 citado por Stall et al., 1993) propone que el tiempo a la aparición de los síntomas en condiciones de inoculación artificial es una función de la inversa de una ecuación de cuarto orden de la temperatura horaria. A la integral de la función a partir del momento de infección le llama Índice de Progreso de la Enfermedad.
Este trabajo tiene como objetivos profundizar en el conocimiento de las relaciones del complejo patogénico Citrus limon-Xanthomonas citri pv citri- condiciones ambientales para aportar elementos para la elaboración futura de un sistema de pronóstico de cancro y probar el modelo de predicción propuesto por Koizumi, analizando datos de evolución de enfermedad obtenidos en condiciones locales de campo.
Materiales y métodos
El experimento se realizó en un monte de 650 plantas de limón (Citrus limon) tipo Lisbon sobre pie de Poncirus trifoliata, de 5 años de edad en un suelo Brunosol Éutrico típico con 1,25% de pendiente ubicado en la localidad de Kiyú, en el Departamento de San José, a 2 km del Río de la Plata. En él se marcaron 96 brotes con 367 hojas el 18 de diciembre; 60 brotes con 598 hojas el 4 de febrero y 56 brotes con 554 hojas el 22 de marzo para monitorear la enfermedad en parcelas tratadas con seis (Tratamientos I) y diez (Tratamientos II) aplicaciones de óxido cuproso respectivamente. Los parámetros registrados en el monitoreo fueron: largo de brotes, cantidad de hojas y de hojas con síntomas de cancro con una frecuencia quincenal (Scattolini et al., 2007), precipitaciones diarias y temperatura cada 20 minutos utilizando un monitor Temp Tale Manager 2.3.8. 2000 ® (Beverly, Massachussets, Sensitech Inc).
Se utilizaron los datos de evolución de la cantidad de enfermedad en los primeros cinco meses de cada brotación. Se relacionaron con dos calendarios de aplicaciones de cobre; con eventos de lluvia –asumidos como momentos de infección– y con la temperatura. Luego se compararon entre sí. En las parcelas con el tratamiento II se realizaron cuatro aplicaciones más de óxido cuproso que en las del tratamiento I y cubrieron las brotaciones evaluadas en diferentes momentos de su desarrollo como se detalla en el Cuadro 1.
La aplicación de óxido cuproso del 22 de abril fue sucedida inmediatamente por una lluvia de 100 mm y precedida por varias precipitaciones de baja intensidad. Por esa razón careció de efecto residual, cosa que no sucedió en las aplicaciones anteriores. Se calcularon las curvas esperadas de progreso de la incidencia de cancro en hojas ajustando los datos del monitoreo a un modelo de regresión no lineal utilizando el algoritmo iterativo Levenberg-Marquardt para obtener los parámetros de la curva logística (Hyams, 2010):
Donde: y es la variable de respuesta (porcentaje de incidencia de la enfermedad) y t es la variable independiente (edad de brotes en días), a es el máximo de enfermedad esperado; b es una constante asociada a la cantidad inicial de enfermedad; c es la tasa de crecimiento o de infección.
Se compararon las curvas empíricas de progreso de la enfermedad y los datos originales de las seis situaciones experimentales determinadas por las tres brotaciones en parcelas con 6 y con 10 aplicaciones de cobre. Para analizar la edad relativa de los brotes al momento de la aparición de síntomas, la tasa de infección y los máximos de incidencia de enfermedad se superpusieron las gráficas de progreso de la enfermedad de las tres brotaciones de cada tratamiento por separado, haciendo coincidir la fecha de marcado de los brotes con el cero del eje de las ordenadas. Para relacionar la evolución de las curvas con la ocurrencia de lluvias se superpusieron en tiempo real y en paralelo con un gráfico de precipitaciones.
A partir de cada lluvia, considerada como un evento de infección, se calculó el Índice de Progreso de Enfermedad (IPE) propuesto por Koizumi (1977):
IPE = −∑ 1/f(x)
Donde: f(x) es una fórmula polinomial de cuarto orden y x es la temperatura horaria
F(x) = 2925,8 -372,6x +18,2912 x2 -0,40271 x3 +0,0033365 x4
Se determinaron las fechas en que el IPE se hacía igual a 1 por ser el momento en que comienza la colonización del tejido vegetal por parte de la bacteria y al que se denominó período de instalación (Pins=IPE=1) y en que el IPE se hacía igual a 3 por ser el momento de la manifestación de los síntomas y que comprende el período de incubación (PI=IPE=3) (Koizumi, 1976, citado Stall et al., 1993). Esas fechas se cotejaron con los datos del monitoreo.
Resultados
Ajustes al modelo logístico
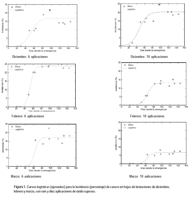
Se obtuvieron los parámetros de las curvas logísticas esperadas (Cuadro 2) y las gráficas correspondientes a las tres brotaciones para los dos tratamientos (Figura 1). El valor máximo de incidencia de enfermedad varió entre 23,90% en los brotes de febrero con el tratamiento I y 6,66% en los brotes de marzo con el tratamiento II. La tasa de crecimiento de incidencia de enfermedad fue baja en los brotes de diciembre (0,10) e intermedia en los de febrero (0,19 y 0,13) y levemente superiores en los de marzo (0,20 y 0,17) para el tratamiento I y II, respectivamente. Se evidencia un buen ajuste en los modelos dados por altos valores en el coeficiente de determinación (0,85 ~ 0,99) y relativamente bajos valores de error (1,07 ~ 3,60) (Cuadro 2). La observación de residuales de los modelos ajustados no muestra desvíos sistemáticos de la normalidad aunque para la brotación de marzo, en ambos tratamientos el parámetro b de la curva logística no logra una adecuada convergencia.
Los brotes de marzo lograron su valor máximo de enfermedad a una tasa superior y a mayor edad relativa que los otros brotes. La cantidad máxima de enfermedad fue menor que los otros brotes en las parcelas con diez aplicaciones de óxido cuproso e intermedia en las parcelas con seis aplicaciones (Figura 2).
Edad de los brotes a la aparición de síntomas
Los brotes de diciembre manifestaron los primeros síntomas a los 22 días de edad y al 96% de su desarrollo definitivo; los de febrero los manifestaron a los 32 días cuando tenían 94% de su desarrollo definitivo; los de marzo manifestaron los primeros síntomas a los 49 días de edad y 97% de su desarrollo definitivo (Figura 2).
Se observó la diferencia en los máximos de incidencia de cancro en los brotes de febrero y marzo de las parcelas con el tratamiento II que coincidieron con los valores máximos de las curvas ajustadas del modelo logístico (parámetro a). Las pendientes de las curvas dentro de cada plan de aplicaciones de cobre presentaron diferencias en los valores absolutos, pero éstas no fueron significativas (p<0,05) probablemente debido a la heterogeneidad en los valores de error estándar (Cuadro 2 y Figura 2).
Relación del progreso de la enfermedad con las precipitaciones
Se verificó la relación entre los aumentos de incidencia de enfermedad y las lluvias (Figura 3). En ambos tratamientos (I y II) los aumentos de incidencia en hojas de cada brotación se dieron aproximadamente al mismo momento y a igual distancia temporal de las precipitaciones pero en las brotaciones de febrero y de marzo difirieron en los valores máximos alcanzados.
Cálculo del índice de progreso de enfermedad
El índice de progreso de la enfermedad (IPE) (Koizumi, 1977) y la duración de los períodos de incubación calculados a partir de cada precipitación registrada se muestra en las Figuras 4 y 5 donde también se constata el solapamiento de hasta cinco ciclos de infección en períodos con lluvias frecuentes.
Las fechas de aparición de síntomas determinadas (Figura 5) fueron comparadas con los registros reales de enfermedad obtenidos a campo. Se observó que los aumentos de enfermedad esperados luego de lluvias de hasta 10 mm no se correspondían con los aumentos reales constatados hecho que sí sucedió con lluvias de mayor intensidad.
A modo de ejemplo: si se centra la atención en las infecciones teóricamente iniciadas en las precipitaciones del 31/12/03 (10 mm); 6/1/04 (10 mm) y 10/1/04 (130 mm) (Cuadro 3), la expresión de síntomas debería haberse registrado los días 9, 15 y 20 de enero respectivamente. Los muestreos efectuados más cercanos a esas fechas fueron el 18/12/03, el 8/1/04 y el 15/1/04. El 18/12/03, día de marcado de la primera brotación no se registraron síntomas. En las dos evaluaciones siguientes se registraron síntomas en igual cantidad. Recién se observó un aumento de enfermedad relacionado con los períodos de incubación a partir de las lluvias del ejemplo en la evaluación del 4/2/04. Consecuentemente se eliminaron los datos de precipitaciones iguales e inferiores a 10 mm y se graficaron las infecciones efectivas.
Considerando sólo los procesos de infección efectivos, iniciados con lluvias de más de 10 mm, sólo se solaparon tres ciclos de infección (Figura 6).
Discusión
Ajustes al modelo logístico
Los diferentes criterios de ajuste considerados y para las fechas de brotación de diciembre y febrero, indican que los datos se distribuyen aleatoriamente alrededor de las curvas de ajuste obtenidas. Esto no sucede para la fecha de marzo, donde particularmente el parámetro b no converge adecuadamente.
En las enfermedades policíclicas, las medidas de manejo que tienen mayor efecto en su control son las que afectan la tasa de infección, como lo es el control químico (Agrios, 2005; Cintra de Jesús et al., 2004; Campbell y Madden, 1990). Como consecuencia se produce una disminución de los valores máximos alcanzados por la enfermedad. Consistentemente, en las brotaciones de febrero y marzo de las parcelas con diez aplicaciones de óxido cuproso hubo una menor tasa de infección en el desarrollo del cancro cítrico y también máximos de incidencia menores que en las del tratamiento con seis aplicaciones, pero en la brotación de diciembre el modelo ajustado presentó mayor valor máximo esperado de incidencia (20,34 vs 16,92).
La incidencia acumulada de los brotes de diciembre y febrero, constituye la fuente de inóculo más eficiente para los brotes de marzo, coincidentemente con lo afirmado por Canteros (1998) y por Schubert y Sun (2003). En las parcelas con seis aplicaciones fue mayor que en las parcelas con 10 aplicaciones. Esto indica un efecto aditivo de la disminución del inóculo y de la disminución de la tasa de infección para el control de esta enfermedad.
Análisis de edad de los brotes a la aparición de síntomas
El momento de mayor susceptibilidad de las hojas es cuando están entre el 50% y el 80% de su completo desarrollo (Gottwald et al., 2002). Aunque no es lo mismo desarrollo de hojas que desarrollo de brotes, y asumiendo una relación directa (pendiente de demostración), en las tres brotaciones evaluadas los síntomas se visualizaron en momentos en que los brotes ya habían superando su estado susceptible. El período de incubación de la enfermedad fue aumentando y la tasa de desarrollo de brotes disminuyendo conforme se iba aproximando el otoño y la temperatura comenzaba a descender independientemente de la intensidad de brotación.
El que las pendientes de las curvas de desarrollo de cancro de las tres brotaciones de un mismo tratamiento no hayan presentado diferencias significativas se explica por el hecho de que la cantidad de inóculo inicial, que es lo que varía en cada brotación, no tiene mayor efecto en el desarrollo de enfermedades policíclicas. Sin embargo en una estrategia de manejo integrado las medidas de mayor impacto en la reducción de la enfermedad son complementadas por la reducción del inóculo. En la comparación gráfica de la tasa de infección en las curvas estimadas (Figura 1) se observa que es más notoria la diferencia entre los tratamientos. Los máximos de enfermedad en el tratamiento de seis aplicaciones no presentan una reducción tan clara como en el de diez aplicaciones de óxido cuproso. Las aplicaciones actúan disminuyendo la tasa reproductiva de las bacterias, la cantidad de inóculo y consecuentemente la tasa de infección de la enfermedad.
Relación del progreso del cancro en hojas con las precipitaciones y los IPE
De la Figura 3 se desprende que independientemente del tratamiento los aumentos de incidencia correspondieron a las lluvias ocurridas confirmando la importancia de la precipitación en la producción de infecciones de bacteriosis foliares (Goto, 1992). Su efecto no solo estaría dado por la diseminación de las bacterias desde lesiones a tejido sano sino también por la lixiviación del óxido cuproso aplicado sobre la planta, como con la lluvia ocurrida el día 22 de abril posteriormente y el mismo día en que se realizó la aplicación. De esa forma dejan expuestos tejidos sanos y también distribuyen bacterias que no hayan sido alcanzadas por el cobre. Así, sin tomar en cuenta otros factores agroclimáticos, podríamos considerarlas como autoinfecciones dentro de la misma planta.
La lluvia por sí misma dispersa la bacteria a cortas distancias pudiendo contener entre 105 y 107 células bacterianas vivas por mililitro si las lesiones de la enfermedad son jóvenes (Stall et al., 1980). Si las precipitaciones son acompañadas por viento a esto se sumaría el efecto de diseminación entre plantas o alo-infecciones (Bock et al., 2005) y de la producción de heridas más o menos visibles a simple vista, que aumentarían la tasa de infección aún más.
Los valores máximos de cancro en los brotes de diciembre de parcelas que recibieron diez aplicaciones de cobre no fueron inferiores a los de las parcelas con seis aplicaciones (Cuadro 2 y Figuras 1 y 2). Esto se puede explicar porque la primera aplicación exclusiva del tratamiento II (15 de enero) fue realizada cuando las hojas correspondientes a esta brotación ya habrían superado su etapa de susceptibilidad y probablemente la infección ya se habría registrado no habiendo tenido efecto el producto aplicado. De forma paralela pudo haber incidido el hecho de que ambas brotaciones estuvieron expuestas a un manejo previo homogéneo, por lo que en su etapa susceptible estuvieron expuestas a una presión de inóculo también homogéneo.
Comparando los IPE con el avance de la enfermedad se deduce que las lluvias en función de su intensidad, tienen efecto en diferentes etapas del ciclo de la enfermedad. Si son inferiores o iguales a 10 mm ayudarían a la sobrevivencia del inóculo, pero si son superiores además serían agentes de dispersión, generando nuevas infecciones y favoreciendo el avance de la epidemia. En consecuencia, los primeros síntomas expresados por la brotación de diciembre se correspondieron con lluvias ocurridas previamente (8 de diciembre: 50 mm; 14 de diciembre: 30 mm) a la marcación de los brotes.
El aumento abrupto de síntomas de cancro en brotes de marzo respondió a frecuentes e intensas lluvias que produjeron el solapamiento de 4 y 5 procesos de infección. Estos brotes estaban menos susceptibles que los otros brotes, con 97% de su desarrollo al momento de expresar los síntomas. Los síntomas fueron producto de infecciones ocurridas con lluvias -mayores a 10 mm- de hasta unos 30 días previos a su expresión (Figura 7).
En estudios in vitro, diferentes fuentes de cobre probadas con varias especies de Xanthomonas, se comportaron como bactericidas. El hecho de que las aplicaciones de cobre a campo sean de efecto bacteriostático y no bactericidas se explica por que los organismos bacterianos, unicelulares, tienen menor probabilidad de ser alcanzados por las aspersiones, especialmente cuando el síntoma tiene tejido corchoso. Por lo tanto está determinado por el grado de exposición de las bacterias al bactericida. El efecto de la reducción de la tasa de infección por las aplicaciones químicas es por lo tanto menor en el caso de bacteriosis que de enfermedades fúngicas. Análogamente, la diseminación bacteriana es más dependiente de las precipitaciones que la diseminación fúngica dada la mayor complejidad del ciclo de vida de los hongos que de las bacterias y el hecho de que no todos los hongos están adaptados a la diseminación por agua.
Es importante destacar que el modelo de IPE se generó en un estudio de inoculaciones artificiales en órganos vegetativos de plantas de pocos meses de Mandarina Natsudaidai y en condiciones de temperatura controlada. Los resultados obtenidos en un monte de limón en producción son auspiciosos en relación a su aplicabilidad en las condiciones de Uruguay especialmente en la planificación de los monitoreos. En el manejo de la enfermedad en condiciones de campo se recomienda realizar aplicaciones previo a la ocurrencia de lluvias que produzcan infecciones. Así se protegen los órganos susceptibles y se disminuye el inóculo a ser diseminado. Las limitaciones de este manejo dependen de la exactitud del sistema de pronóstico de lluvias.
Conclusiones
El modelo de predicción de aparición de síntomas de cancro analizado fue adecuado para la predicción de la aparición de síntomas en órganos vegetativos de limón en las condiciones locales de campo y el IPE calculado a partir de cada precipitación de más de 10 mm se igualó a un valor de tres, coincidentemente con los momentos de aumento de síntomas en brotes de limón. Esta función de la temperatura permite racionalizar los monitoreos de montes con presencia o con antecedentes de cancro cítrico.
Entre los problemas a resolver respecto del cancro cítrico en relación a este trabajo está el validar y/o adaptar el modelo del IPE para la expresión de síntomas en frutos. Sin embargo, se sigue sin resolver el tema del pronóstico de la enfermedad. Esta función por sí sola no lo permite, y debe ser complementada, entre otras cosas, con un estudio de potencial de inóculo presente al momento de la infección, lo que sería dependiente de la incidencia, la distribución de frecuencia de lesiones de diferente edad y la cantidad de inóculo promedio de cada categoría de lesiones, así como de las condiciones de temperatura y humedad predominantes previo al momento de la diseminación.
Los resultados obtenidos indicaron que el momento de mayor susceptibilidad es independiente del momento en que se manifiestan los síntomas. En los momentos de condiciones favorables para la diseminación y la expresión de síntomas, la susceptibilidad de los tejidos toma una importancia secundaria. La diferencia en los máximos de incidencia de enfermedad de las brotaciones de febrero y de marzo entre las parcelas con seis y con diez aplicaciones de óxido cuproso indican que éstas contribuyen a disminuir la cantidad de inóculo para futuras infecciones. Sin embargo la aplicación de tratamientos químicos es una decisión económica afectada también por las condiciones agroclimáticas y las restricciones impuestas por los mercados compradores de la fruta.
Bibliografía
Agrios G. 2005. Plant Pathology. Amsterdam: Elsevier. 635p.
Bock CH, Parker PE, Gottwald TR. 2005. Effect of simulated wind-driven rain on duration and distance of dispersal of Xanthomonas axonopodis pv. citri from canker-infected citrus trees. Plant Disease, 89: 71 - 80.
Campbell CL, Madden LV. 1990. Introduction to plant disease epidemiology. New York : Wiley Interscience. 532p.
Canteros BI. 1998. Ecology of endemic citrus canker : seasonal fluctuations of disease intensity. En: 7th International Congress of Plant Pathology; Edinbourgh, Scotland 9 - 16 Aug 1998;. Vol 3. Edinbourgh: ISPP. Abstract 3.7.41.
Cintra de Jesus W, Pozza EA, Ribeiro Do Vale FX, Mora Aguilera G. 2004. Análisis temporal de epidemias. En: Ribeiro Do Vale FX, Cintra De Jesus Jr W, Zambolim L. [Eds.]. Epidemiología aplicada ao manejo de doenças de plantas. Belo Horizonte: Editora Perfil. pp. 127 - 191.
Goto M. 1992. Life cycles and dispersal of plant pathogenic prokaryotes. En: Goto M. Fundamentals of plant pathology. Tokio : Academic Press. pp. 184 - 203.
Gottwald TR, Graham JH, Schubert TS. 2002. Citrus canker, the pathogen and its impact [En línea]. St Paul : APS. 37p. Consultado octubre de 2011. Disponible en: http://www.plantmanagementnetwork.org/pub/php/review/citruscanker/.
Hyams DG. 2010. CurveExpert software [En línea]. Consultado 10 junio 2011. Disponible en: http://www.curveexpert.net.
Koizumi M. 1977 Relation of temperature to the development of citrus canker lesions in the spring. Proceedings of International Society of Citriculture, 3: 924 - 928.
Koizumi M. 1976. Incubation period of citrus canker in relation to temperature. Citado por Stall RE, Gottwald TR, Koizumi M, Schaad NC. Ecology of plant pathogenic xanthomonads. En: Swing JG, Civerolo EL. Xanthomonas. London : Chapman & Hall. pp. 265-300, 1993.
Moschini R, Canteros BI, Martínez MI. 2005. Ecuaciones predictivas de la intensidad de la cancrosis de los citrus en base a variables meteorológicas [En línea]. Consultado octubre 2011. Disponible en http://anterior.inta.gov.ar/f/?url=http://anterior.inta.gov.ar/concordia/capacita/VCAcitricultura/Presentaciones/Sesion6/4-CancrosisMoschini.pdf.
Peltier GL. 1920. Influence of temperature and humidity on the growth of Pseudomonas citri and its host plants and on infection and development of the disease. Journal of Agricultural Research, 20: 447 - 506.
Scattolini A, Cassanello ME, Pérez E, Bentancur O. 2007. Evolución de cancro cítrico (Xanthomonas axonopodis pv citri) en limón con y sin aplicaciones estivales de cobre en las brotaciones previas a la floración. Agrociencia, 11(2): 24 - 30.
Schubert TS, Sun X. 2003. Bacterial Citrus Canker. [En línea]. Plant Pathology Circular, 377: 6p. Consultado setiembre 2004. Disponible en: http://www.doacs.state.fl.us/pi/enpp/pathology/pathcirc/ppcirc377-rev5.pdf.
Stall RE, Gottwald TR, Koizumi M, Schaad NC. 1993. Ecology of plant pathogenic xanthomonads. En: Swing JG, Civerolo EL. Xanthomonas. London : Chapman & Hall. pp. 265 - 300.
Stall RE, Miller JW, Marco GM, Canteros, BI. 1980. Population dynamics of Xanthomonas citri causing cancrosis of citrus in Argentina. Proceedings of the Florida State Horticultural Society, 93, 10 - 14.













