Servicios Personalizados
Revista
Articulo
Links relacionados
Compartir
Agrociencia (Uruguay)
versión impresa ISSN 1510-0839versión On-line ISSN 2301-1548
Agrociencia Uruguay vol.15 no.2 Montevideo dic. 2011
Una alternativa para optimizar el uso de fungicidas para controlar fusariosis de espiga en trigo
Mazzilli Sebastián1, Pérez Carlos2, Ernst Oswaldo1
1Departamento de Producción Vegetal.
2Departamento de Protección Vegetal. Facultad de Agronomía, Universidad de la República. Estación Experimental «Dr. Mario Alberto Cassinoni». Ruta 3, km 363, Paysandú. Uruguay.
Recibido: 26/4/10 Aceptado: 12/4/11
Resumen
La fusariosis de la espiga es una de las principales enfermedades de la producción de trigo en Uruguay. La aplicación de fungicidas en forma preventiva es la medida de manejo más frecuentemente utilizada. Sin embargo, el momento de aplicación es la principal limitante que enfrenta esta estrategia. Este trabajo tuvo por objetivo evaluar la posibilidad de utilizar el modelo de Moschini y Fortugno para detectar la ocurrencia de condiciones predisponentes para la enfermedad. Los ensayos se llevaron a cabo en el período 2003-2006. En los ensayos se combinaron diferentes cultivares y fechas de siembra. Se evaluaron tres tratamientos: i) sin aplicación de fungicida (T0), ii) control químico preventivo a inicios de la floración (T1), y iii) control químico preventivo cuando se pronosticaron condiciones predisponentes (T2). Las condiciones climáticas ocurridas durante estos años determinaron la no existencia de epífitias severas. En el análisis conjunto de los 50 experimentos, se encontró un efecto significativo del tratamiento y del número de períodos críticos al que fue expuesto el cultivo sobre los niveles de incidencia, severidad e índice de fusariosis de la espiga. Estos resultados permiten concluir que deben ocurrir al menos dos eventos de infección para que se observen epifitias. Por otro lado, el uso del modelo permitió evitar aplicaciones innecesarias (igual índice de infección entre T0 y T1) en el 25% de las situaciones evaluadas. Este estudio aporta al manejo sustentable de la producción de trigo en Uruguay mediante un uso más eficiente del recurso químico, reduciendo su impacto económico y ecológico.
Palabras clave: FUSARIOSIS DE LA ESPIGA, FUSARIUM GRAMINEARUM, TRIGO, PREDICCIÓN
Summary
An Alternative to Optimize the Use of Fungicides to Control Fusarium Head Blight on Wheat
Fusarium head blight (FHB) is one of the most important wheat diseases in Uruguay. Preventative fungicide sprays are the most common tool in FHB control. However, the timing of fungicide spray is still a bottleneck of this technology. The objective of this study was to evaluate the use of an empiric model suggested by Moschini and Fortugno to predict the occurrence of weather conditions conducive to the disease. The experiments were conducted during 2003-2006 with a diverse combination of cultivars and sowing dates. Three treatments were tested: i) No fungicide applied (T0), ii) fungicide sprayed at the beginning of flowering stage (T1), iii) fungicide sprayed when infection periods were predicted (T2). Prevalent weather conditions during the studied period were not conducive for severe FHB outbreaks. Joint analysis of the 50 experiments indicates significant effect of the treatment and the number of critical periods occurred over the susceptible stages on the incidence, severity and FHB index. These results indicate that at least two infection periods are needed for disease outbreak to occur. On the other hand, the use of the suggested model allowed to avoid unnecessary fungicide spraying (similar FHB index between T0 and T1) on 25% of the tested situations. This study contributes to the sustainable management of wheat production in Uruguay by more efficient use of chemical resources, minimizing their economical and ecological impact.
Key words: FUSARIUM HEAD BLIGHT, FUSARIUM GRAMINEARUM, WHEAT, PREDICTION
Introducción
La fusariosis de la espiga es una de las principales enfermedades en el cultivo de trigo en Uruguay (Díaz et al., 2002). A nivel mundial, esta enfermedad es considerada una de las más devastadoras en trigo y cebada, y genera creciente preocupación en Estados Unidos, Canadá, Brasil, Argentina, Paraguay, China, Japón y países del centro-oeste de Europa (Champeil et al., 2004; Windels, 2000). Si bien esta enfermedad puede ser causada por diversas especies pertenecientes al género Fusarium, en las condiciones de producción de Uruguay, Fusarium graminearum Schwabe (teleomorfo Gibberella zeae (Schwein.) Petch) es la especie predominante (Díaz et al., 2002; Pereyra, 2003).
La importancia de la fusariosis de la espiga no sólo radica en la reducción en el rendimiento y la calidad de grano, sino además en que las especies de Fusarium que la causan tienen la capacidad de producir micotoxinas que permanecen estables en la malta de la cebada y en la harina del trigo e incluso en los productos terminados, afectando así a la salud humana y animal (Champeil et al., 2004; Xu, 2003).
Diversas razones hacen que F. graminearum sea considerado un patógeno de difícil control. La fusariosis de la espiga es considerada una enfermedad de inoculo no limitante, ya que generalmente está presente en cantidad suficiente para causar epifitia si se dan condiciones ambientales predisponentes para la enfermedad (Champeil et al., 2004; Mazzilli et al., 2007; Schaafsma et al., 2005). Esto quedó demostrado en Uruguay en las zafras 2001 y 2002, donde períodos de condiciones ambientales predisponentes, favorecieron la ocurrencia de epifitias generalizadas en casi la totalidad del área triguera del país (Díaz y Pereyra 2010). Esta característica junto con la ausencia de cultivares con resistencia genética efectiva, hacen que la ocurrencia de epifitias dependa casi exclusivamente de las condiciones ambientales reinantes durante el período de mayor susceptibilidad del cultivo. Por lo tanto, el desarrollo de epifitias está altamente asociado a la ocurrencia de precipitaciones y alta humedad relativa al momento de floración/espigazón (Birzele et al., 2002; Moschini et al., 2002).
En Uruguay, la recomendación de manejo de esta enfermedad ha tomado un enfoque integral, que incluye la selección de cultivares menos susceptibles, la diversificación de la fecha de floración tendiente a disminuir el riesgo de ocurrencia de epifitias en la totalidad del área, la rotación de cultivos, la implementación de secuencias de cultivos que disminuyan la presión de inóculo, y la aplicación estratégica de fungicidas (Díaz et al., 2002). Sin embargo, el amplio rango de hospederos, la gran capacidad de diseminación de este patógeno junto con la falta de cultivares de trigo con resistencia genética aceptable, hacen que bajo condiciones climáticas favorables, igualmente ocurran epifitias.
En este escenario, la aplicación de fungicidas ha mostrado ser una herramienta eficiente cuando se realiza en el momento óptimo, cercano al momento de ocurrencia de la infección (Díaz et al., 2002). Sin embargo, esto no siempre es posible ya que las condiciones que favorecen la ocurrencia de la infección son generalmente inadecuadas para la aplicación de fitosanitarios. Este hecho ha determinado que la recomendación sea la de aplicar fungicida a tiempo fijo, más precisamente a inicios de floración del cultivo de trigo (Díaz et al., 2002). Se ha generado abundante información que respalda el manejo de la fusariosis mediante aplicaciones de fungicidas preventivas realizadas a inicios de floración (Díaz et al., 2002). Sin embargo, la desventaja principal de esta medida radica en que la decisión es tomada sin tener conocimiento sobre la probabilidad de ocurrencia de períodos críticos de infección, lo que aumenta el riesgo de realizar aplicaciones de fungicidas innecesarias.
Un enfoque más reciente ha sido definir el momento de aplicación de fungicidas de acuerdo a modelos de predicción. En este sentido, Mazzilli et al. (2007) discuten ventajas y desventajas de los distintos modelos disponibles, entre los cuales el propuesto por Moschini y Fortugno (1996) es el que a nivel regional presentaba mayor ajuste en el país. Dicho modelo permitió caracterizar las epifitias ocurridas en las zafras 2001-2002 (Díaz et al., 2002).
A su vez, desde el año 2004 está disponible a nivel país un modelo de predicción de niveles de deoxinivalenol (DON) en granos de trigo a cosecha operado por INIA (Díaz y Pereyra, 2010). Este modelo (DONcast) ha mostrado un buen ajuste para las condiciones de Uruguay (Schaafsma et al., 2005), sin embargo hay claras evidencias de que no siempre existe estrecha relación entre los niveles de infección en grano y los niveles de DON en los mismos (Magan et al., 2002; Birzele et al., 2002).
El objetivo de este trabajo es evaluar la utilización del modelo de predicción de ocurrencia de períodos críticos de infección de Moschini y Fortugno (1996), para definir la aplicación de fungicidas para controlar la fusariosis de la espiga. La hipótesis de este trabajo es que este modelo predice adecuadamente la ocurrencia de períodos críticos de infección, permitiendo así definir la necesidad o no de aplicación de fungicidas para el control de la enfermedad. De esta forma se lograrían evitar aplicaciones en aquellas situaciones en las que no hay pronóstico de condiciones ambientales favorables para la enfermedad, redundando en un beneficio económico y ambiental que podría complementar la utilización del modelo DONcast.
Materiales y métodos
Instalación de experimentos y diseño
El trabajo se realizó durante el periodo 2003-2006 en la Estación Experimental Dr. Mario A. Cassinoni (EEMAC) de la Facultad de Agronomía, en el departamento de Paysandú, República Oriental del Uruguay (32º 23´S; 58º 03´W). Los tratamientos evaluados en parcelas experimentales ubicadas en cultivos comerciales (2003) y en parcelas sembradas para tal fin en la EEMAC (2004-2006) fueron: i) sin aplicación de fungicida (T0), ii) con fungicida aplicado en forma preventiva (una aplicación a inicios de floración-T1), y iii) con fungicida aplicado si se pronosticaron condiciones predisponentes para fusariosis de la espiga según el modelo de Moschini y Fortugno (1996) (T2). Las condiciones climáticas determinaron que en la totalidad de los ensayos este último tratamiento se correspondiera con alguno de los anteriores (T0 o T1), por lo que, en su ejecución, terminó siendo sin aplicación o aplicación similar a T1. Como consecuencia, este tratamiento no fue tenido en cuenta para el análisis estadístico de las variables de respuesta cuantificadas.
Dado que la fusariosis de espiga es de ocurrencia esporádica, se buscó generar un período amplio de floración. En total se instalaron 50 experimentos de campo. En el 2003 se instaló un experimento por chacra (sin intervención experimental hasta el momento de inicio de floración) en un total de 26 chacras comerciales ubicadas en un radio menor a 50 km desde la estación meteorológica de la EEMAC, las que fueron seleccionadas por ciclo del cultivar sembrado y fecha de siembra una vez que estaban sembradas. Las variedades utilizadas fueron: INIA Churrinche, INIA Tijereta, INIA Gorrión, INIA Torcaza, Pelón 90, Prosedel Plata y Baguette 10 todos ellos clasificados como de susceptibilidad intermedia a alta a fusariosis de la espiga (Díaz et al., 2002; Díaz, 2003). Durante el periodo 2004-2006 los experimentos fueron instalados en la EEMAC donde se sembraron dos cultivares de diferentes ciclos (INIA Churrinche e INIA Tijereta), en cuatro fechas de siembra que fueron desde el 20/5 al 20/9, totalizando 24 experimentos.
El diseño experimental fue de parcelas apareadas en el 2003 y de parcelas divididas dispuestas al azar con tres repeticiones en el período 2004-2006, donde la parcela mayor fue el cultivar en cada fecha de siembra y la parcela menor el tratamiento de control químico. Para cada fecha de floración o chacra según correspondía, se marcaron tres parcelas de 3 x 5 m, separadas al menos 5 m entre ellas (para eliminar el efecto de posible deriva del tratamiento químico), en los cuales se aplicaron los tratamientos correspondientes. Se consideró el inicio del estado susceptible a partir de inicio de floración (50 % espigazón) de acuerdo con de Souza y Formento (2003), Jo Sykes (2003) y Moschini et al. (2001).
El fungicida utilizado fue metconazol, por ser el principio activo que mejores resultados ha obtenido en el control de esta enfermedad tanto en trigo como cebada (Díaz et al., 2002; Pereyra y Stewart, 2002). Las aplicaciones se realizaron con mochila con control de presión con 1 l ha-1 de producto comercial (0,09 g PA.ha-1) y volumen de agua de 400 l ha-1. Los picos utilizados en las aplicaciones fueron de doble abanico plano uniforme (TwinJet 60-8004).
Uso del modelo de Moschini y Fortugno (1996) para evaluar los períodos con condiciones ambientales predisponentes
El modelo de Moschini y Fortugno considera que la infección por F. graminearum ocurre cada vez que se confirma la ocurrencia de un periodo crítico de infección dentro del período de susceptibilidad del cultivo a la enfermedad. El período crítico de infección es definido por un conjunto de dos días, en el cual en el primer día ocurren lluvias (> 0,2 mm) y alta humedad relativa (> 81%) y en el segundo día la humedad relativa debe ser mayor o igual a 78%. Por otra parte, se determinó el número de períodos críticos que ocurrieron efectivamente en la totalidad del período de susceptibilidad del cultivo para cada fecha de floración lograda. Se asumió un largo del período de floración, y por lo tanto de susceptibilidad a la infección, de 15 días de acuerdo con los datos presentados por Mazzilli (2006) estimados para el mismo grupo de cultivares y fechas de siembra.
Durante el periodo de floración de cada año, la información climática diaria fue obtenida de una estación agrometeorológica automática ubicada en la EEMAC. A esta información se le agregó el pronóstico para los próximos cinco días como forma de pronosticar la ocurrencia de períodos con condiciones predisponentes para la enfermedad. Esta información fue obtenida de sitios web libres y el ajuste para las distintas variables fue publicado por Mazzilli (2006). El resultado de la estimación fue corregido diariamente, ya que el cálculo se actualizó todos los días con la información real y se agregó el nuevo pronóstico disponible.
Cuantificación de la Fusariosis de la espiga
A los 21 días de la aplicación del tratamiento, se realizó un muestreo de espigas en dos estaciones de 1 m lineal cada una por tratamiento, aleatoriamente seleccionadas, y distribuidas de forma de abarcar distintos sectores de la parcela. En cada estación de muestreo se cosecharon todas las espigas presentes. En el laboratorio se cuantificó la incidencia (espigas con síntoma/espigas totales evaluadas) y severidad de las espigas infectadas (espiguillas con síntoma/total de espiguillas evaluadas) de la enfermedad por apreciación visual, eventualmente con ayuda de una lupa binocular. En caso de que, por el número de muestras, la determinación se dilatara en el tiempo, las muestras fueron mantenidas en freezer a -20 ºC. A su vez se calculó el índice de fusariosis de espiga, que integra la incidencia y severidad de la enfermedad (incidencia x severidad), de acuerdo con Schaafsma et al. (2005).
El efecto de los tratamientos y número de períodos críticos sobre incidencia, severidad e índice de infección de la enfermedad fue evaluado usando el procedimiento PROC MIXED de Statistical Analysis System (SAS). Tratamientos y número de períodos críticos se tomaron como efectos fijos, y años y repeticiones como aleatorios. La separación de medias de mínimos cuadrados fue realizada utilizando el Test de Tukey con un nivel de P≤0,05.
Resultados
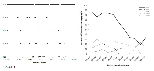
Durante los años en los cuales se realizaron los experimentos (2003-2006), no existieron condiciones favorables para la ocurrencia de epifitias severas de la fusariosis de la espiga, en especial durante octubre, mes en que se concentra la floración del cultivo de trigo a nivel productivo. Utilizando el modelo de Moschini y Fortugno (1996) para estimar la incidencia de la fusariosis de la espiga para cada año de trabajo, se puede establecer que no hubo condiciones predisponentes comparables al año 2002, el que se puede tomar como referencia por sus condiciones favorables para la ocurrencia de epifítias severas (Figura 1).
El 2002 presentó los mayores registros en número de lluvias, asociadas a una mayor humedad relativa promedio (HR) y temperatura mínima media mayor en relación a los años en estudio (Cuadro 1). La temperatura media y la temperatura media máxima del mes de octubre fue similar en el 2002 a la observada en años en que no ocurrieron epifitias como el período 2003-2006. A su vez el volumen de precipitaciones registrados en el 2005 y 2006 fueron mayores a los registrados en el 2002, lo que sugiere que el volumen de precipitaciones es un mal indicador de las condiciones predisponentes para la enfermedad.
La ocurrencia de períodos críticos de infección fue esporádica para la mayoría de los años (Figura 2). Si se considera que el período en el que ocurrió la floración de los distintos experimentos de cada año fue entre el 6 de septiembre y el 23 de noviembre, el año con mayor número de períodos críticos coincidentes con cultivos en floración fue el 2004 con nueve, sin embargo más de un cultivar se encontraba en floración durante dichos periodos, lo que resultó en 12 situaciones potenciales de infección. El año con menor número de períodos críticos fue el 2006 con sólo cuatro, aunque solo uno de dichos periodos, coincidió con cultivos en floración. En el año 2002 ocurrieron severas epifitias de fusariosis de la espiga que coincide con la frecuencia de ocurrencia de períodos críticos detallado en la Figura 2. Esto indica que entre el 2003 y el 2006 las condiciones predisponentes para la enfermedad fueron limitadas. Si se considera que cada cultivo tiene un período de floración de no más de 15 días (Mazzilli, 2006), se puede concluir que los experimentos estuvieron expuestos a un relativamente escaso número de eventos de infección comparado con años con epifitias severas (Cuadro 2).
De un total de 50 experimentos instalados con distintos cultivares y fechas de siembra durante el periodo 2003-2006, sólo fue posible obtener 28 fechas de floración diferentes (Cuadro 2). En siete fechas de floración el modelo de Moschini y Fortugno (1996) no pronosticó la ocurrencia de períodos críticos de infección, y efectivamente las mismas no ocurrieron. En estas situaciones, el T2 coincidió con el T0 ya que no se realizaron aplicaciones de fungicidas en dicho tratamiento. En las restantes 21 situaciones estudiadas, el modelo pronosticó la ocurrencia del primer período crítico de infección a inicios de floración, por lo cual la aplicación del fungicida en el T2 coincidió con la aplicación a tiempo fijo realizada en el T1.
El análisis individual de cada experimento muestra que en la mayoría, los niveles de enfermedad observados (índice de fusariosis de la espiga) no difirieron estadísticamente entre el tratamiento Testigo (T0) y el Tratado (T1) en 48 de 50 experimentos. Este resultado fue independiente del número de períodos con condiciones predisponentes ocurridos en cada experimento (datos no presentados). Sin embargo, en el análisis conjunto de los 50 experimentos, se detectaron diferencias significativas (P<0.05) entre los tratamientos T0 (sin fungicida) y T1 (fungicida a inicios de floración), y entre el número de períodos críticos al que fue expuesto el cultivo, para las tres variables analizadas (porcentaje de incidencia, porcentaje de severidad e índice de fusariosis de la espiga).
No se encontraron diferencias significativas para la interacción tratamiento por número de períodos críticos de infección (Cuadro 3). A pesar de que existieron diferencias entre los tratamientos T0 y T1, la eficiencia de control observada fue baja (Cuadro 4), siendo en promedio 30, 18 y 44% para la incidencia, la severidad y el índice de fusariosis de espiga.
No existieron diferencias significativas entre los niveles de enfermedad cuantificados en el tratamiento testigo (T0) cuando el cultivo fue expuesto a un único período crítico de infección con relación al obtenido en cultivos sin período crítico de infección para ninguna de las tres variables epidemiológicas analizadas (Cuadro 5). En tanto, cultivos expuestos a dos o más períodos crítico de infección tuvieron significativamente mayor porcentaje de severidad e índice de fusariosis de espiga que cultivos no expuestos durante todo el período de floración o expuestos a un solo período. El porcentaje de incidencia siguió una tendencia similar pero la diferencia entre situaciones no expuestas a periodos críticos de infección y expuestos a cuatro períodos no alcanzó a diferenciarse estadísticamente.
Discusión
El objetivo de este trabajo fue evaluar la posibilidad de utilizar un modelo desarrollado para la predicción de ocurrencia de fusariosis de la espiga en trigo, como herramienta para la detección de la ocurrencia de períodos de infección. De esta manera se evitarían aplicaciones innecesarias de fungicidas en aquellas situaciones donde no hay pronóstico de condiciones ambientales favorables para la enfermedad. Los resultados obtenidos indican, que la utilización de ésta herramienta permitió evitar la aplicación preventiva de fungicida en siete de las 28 fechas de floración evaluadas si se utiliza el criterio de no aplicación hasta que se pronostique la ocurrencia del primer periodo de infección. Mientras que cuando se utiliza el criterio de no aplicación hasta que se pronostique la ocurrencia del segundo periodo crítico de infección, la aplicación de fungicidas se evitó en 22 de 28 fechas evaluadas.
Las condiciones climáticas a las que fueron expuestos los cultivos en estos experimentos, no permitieron lograr niveles de incidencia y severidad de importancia (14,5% de incidencia promedio, Cuadro 4). Por lo tanto, el análisis está acotado a años con escasas condiciones ambientales predisponentes para la enfermedad. Al analizar las causas que determinaron este comportamiento, se sugiere que el número de eventos de lluvia es la principal variable en definir la existencia de períodos de infección cuando la temperatura no es limitante. En ninguno de los años existieron tantos eventos de lluvia durante el período crítico (ubicado en el mes de octubre) como en el año 2002, durante el cual se registraron importantes infecciones de fusariosis de la espiga. La importancia de los eventos de lluvia como determinante de la existencia de la enfermedad coincide con lo mencionado por Doohan et al. (2003) y Gilbert y Fernando (2004). Las precipitaciones permiten la liberación de ascosporas que posteriormente son transportadas por el viento, y favorecen la presencia de agua libre en las anteras, permitiendo la germinación de las esporas y posterior infección.
En áreas donde la enfermedad es importante, las infecciones múltiples contribuyen a obtener el valor de severidad acumulada (Moschini y Fortugno, 1996; Francl et al., 1999; Moschini et al., 2001). Esto pudo ser evaluado en aquellos sitios experimentales en los que se acumularon dos o más periodos críticos de infección y en los cuales se registraron los mayores valores de incidencia y severidad comparados con aquellos sitios con un solo o dos períodos críticos. Según estos resultados, el nivel de infección final de fusariosis de la espiga observado a cosecha es el resultado de la acumulación de eventos puntuales de infección durante todo el período de susceptibilidad y no parece estar asociado a un único evento, coincidiendo con lo expresado por Moschini y Fortugno (1996). Esto agrega complejidad para decidir un control químico, ya que a través de los pronósticos climáticos de corto plazo se puede estimar con adecuada precisión si van a existir periodos críticos en los próximos 3-4 días, pero no existe precisión para saber qué va a suceder durante todo el periodo de floración.
Otro aspecto a resaltar es la baja eficiencia de control que presentó el fungicida aplicado a inicios de floración (30%, 18% y 44% de eficiencia para incidencia, severidad e índice de infección, respectivamente), aún cuando el fungicida fue aplicado en óptimas condiciones (400 l ha-1, pastillas de doble abanico plano y controladas las condiciones de viento y % HR) y con uno de los principios activos de mejor control disponible en el mercado (Díaz et al., 2002; Pereyra y Stewart, 2002). Un resumen de información sobre control de fusariosis de la espiga generada a nivel local, en ensayos llevados a cabo entre 1991 y 2002, concluye que para las aplicaciones de tebuconazol la eficiencia promedio para el porcentaje de incidencia fue de 44%, variando entre 38 y 52%, mientras que para metconazol la eficiencia fue de 51%, con variaciones entre 21 y 65% (Díaz, 2004). Por lo tanto los bajos niveles de eficiencia de control encontrados en el presente estudio, se ubican dentro del rango observado en otros estudios locales, y probablemente están fuertemente influenciados por los bajos niveles de enfermedad observados en el testigo (T0).
Dado que las infecciones sucesivas determinan el nivel de infección final, sumado a la baja eficiencia de control químico con aplicaciones a inicio de floración, hacen muy dificultoso determinar la necesidad y momento de aplicación del control químico. Sin embargo, considerando la existencia de períodos críticos de infección los resultados de este trabajo indican que hubiera sido posible evitar aplicaciones en entre 7 y 22 de las 28 fechas de floración dependiendo del criterio en toma de decisión, sin generar diferencias en los niveles de infección, con relación a la aplicación preventiva a inicios de floración. Los resultados cuestionan el uso de medidas de control químico a fecha fija y plantean la posibilidad de diferir la aplicación del fungicida hasta que se haya confirmado la ocurrencia de al menos un evento de infección y se pronostique un próximo episodio. Si bien no se puede ser concluyente sobre esta estrategia de manejo de esta enfermedad, por las características climáticas de los años en los que se realizaron los trabajos, los resultados sugieren la necesidad de validar esta estrategia en años con mayores condiciones predisponentes.
Agradecimientos
El proyecto fue parcialmente financiado en los dos primeros años por CSIC-Programa Jóvenes Investigadores. Este trabajo formó parte del proyecto de tesis de Especialista en Cultivos de Grano (UBA) de Sebastián Mazzilli. Agradecemos a COPAGRAN y Unicampo Uruguay SRL por proporcionar las chacras para la realización de ensayos durante el primer año. Un especial agradecimiento al Ing. Agr. Juan Diego Cano y a todo el personal del campo experimental de la EEMAC por el apoyo brindado durante el desarrollo del proyecto en su fase inicial.
Bibliografía
Díaz M, Pereyra S. 2010. Fusariosis de la espiga de trigo y cebada. En: Seminario de Actualización: Manejo de enfermedades en trigo y cebada. Montevideo : INIA. (Actividades de Difusión ; 618). pp. 95-109.
Díaz M. 2004. Manejo de enfermedades en trigo. En: Jornada Técnica Cultivos de Invierno. Montevideo : INIA. (Actividades de Difusión ; 357). pp. 12-18.
Díaz M. 2003. Comportamiento varietal y control químico para fusariosis de la espiga en trigo. Montevideo : INIA. (Actividades de Difusión ; 312). pp. 23-31.
Díaz M, Pereyra S, Stewart S. 2002. Antecedentes y perspectivas de control de fusariosis de la espiga de trigo. En: Jornada Técnica Cultivos de Invierno. Montevideo : INIA. (Actividades de Difusión ; 282). pp. 1-9.
Doohan F, Brennan J, Cooke B. 2003. Influence of climatic factors on fusarium species pathogenic to cereals. European Journal of Plant Pathology, 109: 755-768.
Francl L, Shaner G, Bergstrom G, Gilbert J, Pedersen W, Dill-Macky R, Sweets L, Corwin B, Jin Y, Galenberg D, Wiersma J. 1999. Daily inoculum levels of Gibberella zeae on wheat spikes. Plant Disease, 83: 622-666.
Gilbert J, Fernando W. 2004. Epidemiology and biological control of Gibberella zeae / Fusarium graminearum. Canadian Journal of Plant Pathology, 26: 464-472.
Magan N, Hope R, Colleate A, Baxter E. 2002. Relationship between growth and mycotoxin production by Fusarium species, biocides and environment. European Journal of Plant Pathology, 108: 685-690.
Mazzilli S, Pérez C, Ernst O. 2007. Fusariosis de la espiga en trigo: características de la enfermedad y posibilidades de uso de modelos de predicción para optimizar el control químico. Agrociencia, 9: 11-21.
Mazzilli S. 2006. Desarrollo de un sistema de alerta para el manejo de la fusariosis de espiga en trigo: Trabajo de coronamiento Especialización Cultivos de grano. Buenos Aires : Universidad de Buenos Aires. 94p.
Mazzilli S, Ernst O, Pérez C. 2004. Efecto del manejo del trigo sobre el rendimiento y calidad: 1- Posibilidades de predicción y control químico de fusariosis de espiga. En: Jornada Técnica de cultivos: Manejo de cultivos de invierno – zafra 2004. Paysandú : EEMAC. pp. 15-18.
Moschini R, Carranza M, Carmona M. 2002. Meteorological-based predictions of wheat head blight epidemic in the southern Argentinean Pampas Region. Cereal Research Communications, 32(1): 45-52.
Moschini R, Pioli R, Carmona M, Sacchi O. 2001. Empirical predictions of wheat head blight in the northern argentinean pampas region. Crop Science, 41(5): 1541-1545.
Moschini R, Fortugno C. 1996. Predicting wheat head blight incidence using models based on meteorological factors in Pergamino, Argentina. European Journal of Plant Pathology, 102: 211-218.
Pereyra S. 2003. Practicas culturales para el manejo de la fusariosis de la espiga. En: Jornada Técnica Cultivos de Invierno. Montevideo : INIA. (Actividades de Difusión; 312). pp. 1-9.
Pereyra S, Stewart S. 2002. Fusariosis de la espiga en cebada. En: Jornada Técnica Cultivos de Invierno. Montevideo : INIA. (Actividades de Difusión; 282). pp. 11-16.
Schaafsma A, Hooker D, Piñeiro M, Díaz de Ackermann M, Pereyra S, Castaño J. 2006. Pre-Harvest Forecasting of deoxynivalenol for regulatory action in wheat grain in Uruguay using readily available weather inputs. en: Njapau H, Trujillo S, Van Egmond H, Park D. (Eds.) Mycotoxins and phycotoxins: advances in determination, toxicology and exposure management. Wageningen: Wageningen Academic Publishers. pp. 227 – 238.
Schaafsma A, Tamburic-Ilincic L, Hooker D. 2005. Effect of previous crop, tillage, field size, adjacent crop, and sampling direction on airborne propagules of Gibberella zeae / Fusarium graminearum, fusarium head blight severity, and deoxynivalenol accumulation in winter wheat. Canadian Journal of Plant Pathology, 27: 217-224.
Sykes J. 2003. Fusarium Ear Blight and Mycotoxins in Wheat. The Agronomist, 1: 19-23.
Windels CE. 2000. Economic and social impact of Fusarium head blight. Changing farms and rural communities in the northern Great Plains. Phytopathology, 90: 17-21.
Xu X. 2003. Effects of environmental conditions on the development of Fusarium ear blight. European Journal of Plant Pathology, 109: 683-689.













