Services on Demand
Journal
Article
Related links
Share
Agrociencia (Uruguay)
Print version ISSN 1510-0839On-line version ISSN 2301-1548
Agrociencia Uruguay vol.15 no.1 Montevideo June 2011
Comportamiento agronómico y potencial enológico de la uva Tannat en tres regiones climáticas uruguayas
Ferrer Milka1, González-Neves Gustavo2, Echeverría Gerardo1, Camussi Gianfranca1, Avondet Rusley1, Salvarrey Julia1, Favre Guzmán2, Fourment Mercedes1
1Departamento de Producción Vegetal. Facultad de Agronomía. Montevideo. Uruguay.
Correo electrónico:mferrer@fagro.edu.uy
2Unidad de Tecnología de los Alimentos. Facultad de Agronomía. Montevideo. Uruguay.
Recibido: 19/8/10 Aceptado: 8/2/11
Resumen
En 2008 y 2009 se realizaron estudios en cuatro viñedos de la variedad Tannat injertada sobre SO4. Fueron conducidos en espaldera e implantados sobre suelos similares, en tres regiones climáticas diferentes. La información climática se originó en estaciones meteorológicas con normas OMM. En cada viñedo se registró el rendimiento por planta, la cantidad de racimos y su peso, el de madera de poda, la superficie foliar, el potencial hídrico de base y otros índices de respuesta. Se analizó la composición mayoritaria (azúcares, acidez total y pH), el potencial polifenólico, los ácidos orgánicos y el peso de la baya. Se utilizó el paquete estadístico INFOSTAT 2009 para realizar análisis de varianza, correlaciones de Pearson y análisis discriminante. Los índices climáticos que tuvieron mayor peso en la discriminación de los viñedos de las distintas zonas fueron el balance de agua y GD10 en maduración, y las lluvias en crecimiento vegetativo. La respuesta de la planta permitió discriminar los viñedos independientemente del año, de forma consistente con el clima. La Superficie Foliar Expuesta potencial y la duración de la maduración fueron los índices de mayor peso, seguidos por el y y el rendimiento de uva. En la composición de la uva se destacaron las diferencias en el potencial total en antocianos, los contenidos de azúcares, su acumulación diaria, y la composición ácida. Se concluye que la respuesta de la planta y la composición de la uva fueron fuertemente influenciadas por la oferta hídrica y las condiciones térmicas durante la maduración.
Palabras clave: RESPUESTA DE LA PLANTA, COMPOSICIÓN DE LA UVA, CLIMA, TANNAT
Summary
Agronomic behavior and oenological potential of Tannat grape in three Uruguayan climatic regiones
The research was carried out in the years 2008 and 2009 in four vineyards of Tannat grafted on SO4. These vineyards were conducted in trellis and implanted on similar soils, in three three different climatic regions of Uruguay. Meteorological stations with WMO standards provided the climatic data. For each vineyard, we measured yield per plant, number of clusters and its weight, weight of winter pruning wood, leaf area, water supply and other plant response indicators. We analyzed the composition (sugars contents, total acidity and pH), phenolic potential, organic acids and berry weight. The statistical analysis were performed using the Infostat 2009 package for analysis of variance, Pearson correlations and discriminant analysis. The most important climate indexes for the discrimination of the vineyards were the water balance and GD10 in maturation, and rainfall in vegetative growth. The response of the plant allowed to discriminate vineyards, regardless of the year and consistent with the climate. SFEp and the length of the ripening period were the most important indexes for the discrimination of vineyards, followed by ψ and grape yield. There are differences in the total anthocyanins potential, sugar content and its daily accumulation, and acid composition of the grapes of each vineyard. We conclude that the plant response and the grape composition were strongly influenced by the hydric and thermal conditions during ripening.
Key words: PLANT RESPONSE, GRAPE COMPOSITION, CLIMATE, TANNAT
Introducción
En concepto de tipicidad del vino está ligado a la variedad de uva, y a las condiciones climáticas y edáficas de la zona de producción que influyen en la composición de la uva y en la respuesta de la planta al ambiente (Calò et al., 1996; Tesic et al., 2002).
La variedad Tannat, muy bien adaptada a las condiciones de producción de Uruguay, se caracteriza por tener un potencial enológico muy interesante para la elaboración de vinos tintos de gran originalidad y tipicidad, debido a su contenido de antocianos, taninos y azúcares y a la acidez de sus uvas (González-Neves et al., 2002, 2004, 2006).
La determinación de la variación espacial de las temperaturas tiene utilidad para describir y comprender el comportamiento de la viña en relación con la tipicidad de la uva (efecto «sitio»), en la medida en que se ha demostrado que la duración de las fases fenológicas y el metabolismo de la baya son sensibles a la variación de las temperaturas diurnas y nocturnas, y que altas temperaturas están asociadas con altos ratios de maduración. Temperaturas superiores a 37 ºC impiden la maduración por una inhibición en la acumulación de azúcares. La disminución en la acidez es superior a temperaturas de 35 ºC que a 25 ºC, y contenidos bajos en ácido málico son generalmente reportados cuando se incrementa la temperatura por una estimulación de la respiración, siendo este el factor principal que incide sobre el pH (Bergquist et al., 2001, Cohen, 2007). Según Mori et al., 2007, las temperaturas altas (35 ºC) reducen los contenidos en antocianos en comparación con temperaturas de 25 ºC. Por su parte varios autores reportan que situaciones de clima cálido y con alto grado de luminosidad tienen efectos negativos sobre el contenido de antocianos, siendo bajos la acidez titulable, el contenido de málico y el peso de la baya en tanto que el contenido de azúcares no difiere significativamente si se lo compara en relación a climas frescos (Spayd et al., 2002; Downey et al., 2004).
El factor preponderante que determina la influencia del suelo es su capacidad de reserva útil de agua, que junto con la oferta y demanda atmosférica establece el estado de hidratación de la planta. La respuesta de la planta a la cuantía de este estado se expresa en los componentes del rendimiento (Ferrer, 2007), el tamaño del grano (Ojeda et al., 2002), la velocidad de maduración (Van Leeuwen et al., 2003), la acumulación de los azúcares y la degradación de los ácidos, particularmente el málico (Rouchaud, 2003; Mattheus y Kriedeman, 2005; Koundouras et al., 2006), en el incremento de la concentración de antocianos (Matthews y Kriedeman, 2005; Cortell et et al., 2007) en la duración del ciclo vegetativo y en la expresión vegetativa del cultivo (Cortellet et al., 2007, Poni et al., 2009, Taylor et al., 2010).Varios autores han comunicado que plantas sometidas a valores de potencial hídrico foliar de base de -0,5 Mpa, considerado un estrés hídrico severo, durante la maduración, provoca su bloqueo y disminuye la acumulación de azúcares con respecto a individuos testigo sin restricción hídrica (Roby et al., 2004). Dry y Loveys (1998) establecen que para cada situación se puede determinar un balance óptimo entre el crecimiento vegetativo y el rendimiento y la composición de la uva, y que este balance está determinado por el estado de hidratación de la planta. Las temperaturas tienen influencia sobre los componentes del rendimiento.Temperaturas elevadas durante la floración tienen una influencia negativa en la medida que afectan la viabilidad de los óvulos, originando un menor número de semillas por baya, que podría contribuir a granos más pequeños. (Zufferey y Murisier; 2004).
Se han determinado valores de equilibrio para los indicadores de respuesta fisiológica que varían según autores. Para el Indice de Ravaz este valor se encuentra entre 4- 6 y 8-10. Para la relación Superficie Foliar Expuesta potencial/rendimiento en la arquitectura en espaldera este rango va de 0,30-0,50 a 0,40-0,80. Por encima de este rango se produce la superposición de follaje con el consiguiente sombreado, y por debajo no se alcanzan niveles de azúcares adecuados. La relación Superficie Foliar Expuesta potencial/producción de Materia Seca en la espaldera es de 1,3- 1,4. (Ferrer, 2007). Según Cortell et al. (2007) comparando viñas vigorosas con viñas de menor vigor según Indice de Vigor, las primeras presentaron menor peso de baya, producción, contenido en sólidos solubles y antocianos y mayor acidez. Esta respuesta de la planta es explicada principalmente por las condiciones microclimáticas negativas y la competencia por fotosintatos que genera un exceso de vigor.
Este trabajo analiza la respuesta de la planta y composición de la uva de la variedad Tannat, proveniente de viñedos de diferentes regiones vitícolas del Uruguay, identificadas sobre la base de una delimitación climática vitícola (Ferrer, 2007). Se pretende también determinar los indicadores más pertinentes que permitan interpretar el comportamiento de la viña en las situaciones pedo-climáticas de las regiones estudiadas.
Materiales y métodos
El ensayo fue instalado en viñedos comerciales de la variedad Tannat sobre el porta-injerto SO4, conducidas en espaldera con un número similar de plantas a la hectárea, que corresponden a tres regiones climáticas vitícolas IH5IF2IS1 (cálido, noches templadas, sequía moderada en el noroeste «Salto»), IH4IF1IS1 (templado cálido, noches cálidas, sequía moderada en el suroeste «Colonia» y «San José»), IH3IF2IS1 (templado, noches templadas y sequía moderada, en el sur «Canelones») definidas según el método CCM (Tonietto y Carbonneau, 2004) y modificado por Ferrer (2007) para Uruguay. La ubicación de los viñedos: Viñedo A: departamento de Salto; Viñedo B: departamento de Colonia, Viñedo C: departamento de San José y Viñedo D : departamento de Canelones (Figura 1).
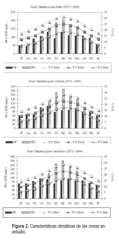
Las características climáticas de las tres zonas se presentan en la Figura 2.
Los resultados incluyen las vendimias 2008 y 2009. Los datos climáticos se obtuvieron de estaciones meteorológicas de cada región que cumplen con las normas Organización Mundial Meteorología. A partir de estos datos se calcularon los balances hídricos decádicos, la suma de grado día en base 10 ºC, el número de días de noviembre a cosecha con temperaturas superiores a 30 ºC, y la humedad relativa media de los meses de enero y febrero (%) (Figura 2).
Los suelos corresponden a la caracterización de Brunosol Subéutrico Típico/Lúvico, con capacidad de reserva útil de agua moderada a alta entre 100 y 135 mm (Molfino, 2009). El experimento fue definido tomándose como unidad de observación 20 plantas al azar por viñedo. Se incluyó para las observaciones de campo y de composición de la uva una cuarta parcela ubicada en el departamento de San José (Viñedo C). En cada una de las parcelas se realizaron las siguientes mediciones: a) Estado de hidratación de la planta. Se determinó durante del ciclo vegetativo-reproductivo por medio del Potencial Hídrico Foliar de Base, con la técnica de la cámara de presión de Scholander et al. (1965) sobre 20 hojas por parcela (10 este y 10 oeste). Los estados fenológicos en que se registró fueron floración, envero y cosecha. b) En la cosecha tecnológica se registró el peso individual de uva por planta, número y peso medio de racimos. d) La caracterización de la canopia se realizó mediante la estimación de la Superficie Foliar Expuesta potencial (SFEp) según el método de Carbonneau (1995). e) Peso de poda por planta fue medido individualmente a caída de hojas sobre las plantas en que se registró el peso de uva. f) Duración en días de la maduración.
Indicadores fisiológicos calculados: a) Índice de Raváz: IR = Peso de cosecha (kg)/ peso de madera de poda (kg) b) Índice del Potencial de Fotosíntesis neta: IPF = SFEp (m2)/producción de fruta (kg) c) Producción de Materia Seca: PMS = 0,2 peso de cosecha (kg) + 0,5 peso de madera de poda (kg) (Carbonneau y Cargnello, 2003).
Composición de la uva. Se realizó un seguimiento de la maduración de la uva, con muestreos semanales desde el comienzo del envero y dos veces por semana al aproximarse la madurez. El último muestreo se realizó en la cosecha, que se decidió en cada caso considerando la relación máxima entre las concentraciones de azúcares y la acidez total, así como un valor mínimo de pH de 3,3. En cada muestreo se extrajeron muestras por duplicado, a partir de una población de 30 plantas por viñedo. Las muestras fueron tomadas de acuerdo con Carbonneau et al. (1991), extrayendo fracciones de la zona media de los cargadores. Cada fracción tenía de tres a cinco bayas, siendo extraídas alternativamente de las mitades inferiores y superiores de los racimos hasta totalizar 250 bayas por muestra. Las uvas de cada muestra se fraccionaron, destinando la mitad de las bayas a los análisis clásicos y la otra mitad a la estimación del potencial polifenólico.
El peso de la baya fue determinado con una balanza Ohaus Scout. A continuación las uvas se prensaron manualmente en un mortero y se separaron los hollejos, las semillas y la pulpa. Los hollejos y las semillas se lavaron con agua para separarlos completamente de la pulpa y disolver los residuos de azúcares, luego se secaron con papel de filtro y finalmente se pesaron. El peso de la pulpa fue estimado para cada muestra por diferencia entre los pesos de la baya, de los hollejos y de las semillas. Posteriormente se calcularon los porcentajes de cada parte de la baya. El mosto empleado para hacer los análisis fue obtenido a partir del prensado manual y de la trituración de la pulpa con un extractor de jugo Phillips HR2290. Los contenidos de azúcares fueron determinados por refractometría, la acidez total por volumetría y el pH por potenciometría. La densidad del mosto fue estimada a partir de las concentraciones de azúcares determinadas por refractometría. Se realizaron dos repeticiones de cada análisis por muestra, de acuerdo con los protocolos propuestos por Organisation Internationale de la Vigne et du Vin (OIV, 1990). El refractómetro empleado fue un modelo Atago N1; el pH fue medido con un equipo Hanna H18521.
El potencial polifenólico de la uva fue estimado empleando el método propuesto por Glories y Augustin (1993), incorporando modificaciones en los cálculos, de acuerdo con González-Neves (2005). A estos efectos, se trituraron la mitad de las bayas de cada muestra, empleando una licuadora Phillips HR2855. Se realizaron dos maceraciones de la uva triturada, durante cuatro horas, con soluciones de pH 1 y 3,2 respectivamente. Los macerados fueron filtrados y luego centrifugados durante tres minutos a 3500 rpm, empleando una centrífuga MSE Mistral 2000. Se analizaron la riqueza fenólica total (A280), el potencial total en antocianos (ApH1) y el potencial en antocianos extraíbles (ApH3.2). La riqueza polifenólica se determinó midiendo la absorbancia a 280 nm, mientras que los antocianos fueron analizados según Ribéreau-Gayon y Stonestreet (1965). Los análisis se hicieron con dos repeticiones, empleando un espectrofotómetro Shimadzu UV-1240 MINI y celdas de cuarzo (para las medidas en el ultravioleta) y de vidrio de 1 cm de recorrido óptico. Los índices fueron calculados considerando las diluciones respectivas, de acuerdo con González-Neves (2005). Posteriormente se calcularon las concentraciones de taninos de hollejos (dpell) y de semillas (dTpep), los porcentajes de cada tipo de taninos (dpell% y Mp%, respectivamente) y el índice de extractibilidad de los antocianos (EA%), según lo propuesto por Glories y Augustin (1993). Se analizaron los contenidos de los ácidos tartárico, málico y cítrico por HPLC, a partir de muestras de mosto congeladas.
Los análisis estadísticos se realizaron con el programa estadístico INFOSTAT® 2009. Se realizaron análisis de varianza y pruebas de comparación de medias (α=0,05) Tukey, r de Pearson y para las variables según región, análisis discriminantes.
Resultados y discusión
Análisis de las variables climáticas
Componente térmica del clima
Las tres regiones presentan diferencias en las temperaturas máximas de mes de enero (TME) y las mínimas de febrero (TmF) las que a su vez son superiores a las medias históricas. Las temperaturas nocturnas, si son evaluadas según los rangos propuestos para los tipos climáticos (Tonietto y Carbonneau, 2004), mantienen la separación de dos de las tres regiones. El número de días mayores o iguales a 30 ºC de floración a cosecha (NºD ≥30 ºC) es significativamente diferente, siendo superior en Salto. La información del 2009 muestra que para la región sur fue un año con temperaturas inusualmente altas en relación con la media histórica.
La suma de grado día base 10 de enero a cosecha (GD10E-C) y la acumulación térmica diaria (GD10/día) marcan diferencias significativas entre regiones. La diferencia entre regiones en la duración del ciclo de maduración medida en días julianos (NºD E-C) y la acumulación térmica diaria (GD10/día) para el mismo período, independientemente del año, se mantienen constantes para cada región. Este resultado parece apoyar la afirmación que la consideración de la acumulación térmica diaria en el período de maduración (GD10/día) aportaría una información más precisa para predicciones que la acumulación térmica global del mismo período (GD10E-C), en la medida que esta última es variable entre años. Por otra parte la acumulación térmica diaria (GD10/día) puede explicar la diferencia significativa en el número de días de enero a cosecha (NºD E-C) para cada situación y para una misma variedad siendo la relación entre ambas variables de r = 0,82 (p= 0,08) lo que permitiría estimar mejor la relación de la planta con la componente térmica del ambiente. El cálculo de esta acumulación diaria para distintas regiones permitiría predecir el orden de cosecha por zona para una misma variedad. Los resultados de varias cosechas (datos no presentados) muestran para Tannat en madurez tecnológica, que los viñedos de Salto se cosecha primero seguidos por Colonia y por último Canelones, resultado que guarda relación con los valores de GD10/día presentados en nuestro estudio (Cuadro 1).
Componente hídrica del clima
Cuando se considera el volumen de lluvias del ciclo del cultivo (PC) y se lo compara con las series históricas de las regiones, Salto presenta registros superiores. Los volúmenes y la distribución anual de las lluvias para los años estudiados presentan diferencias, que se corresponden a estados fenológicos relevantes para el cultivo. El balance entre la oferta y la demanda de agua en maduración (BHM) mostró diferencias entre las zonas de Salto y Colonia con Canelones. Las dos primeras presentaron déficit hídrico en los dos años. Las series históricas de datos climáticos de cada región muestran que ocurre déficit hídrico durante los meses del verano por máxima demanda atmosférica, alcanzando situaciones de estrés hídrico moderado para el caso de la viña. Por el contrario el año 2009 se caracterizó por condiciones de déficit hídrico excepcional y muy marcado en las tres zonas, manteniendo los valores negativos superiores en Salto y Colonia. Tesic et al. (2002) y Rouchard (2003) señalan que en años con deficiencias hídricas los ciclos se vuelven más precoces evidenciado en este estudio por la disminución en el número de días entre enero y cosecha (NºDE-C). La humedad relativa del aire fue superior en Canelones y esta diferencia es significativa en el mes de febrero (HRF) próximo a la cosecha, lo que tiene influencia en la demanda atmosférica y en la sanidad del cultivo (Cuadro 2).
El análisis discriminante de los factores del clima para los años estudiados muestra que las zonas se separan independientemente del año, siendo el balance entre la oferta y la demanda de agua el componente de mayor peso relativo (BHM), seguido de las precipitaciones del período brotación (PB), en el cual ocurre la mayor velocidad de crecimiento vegetativo, resultado en acuerdo con Tesic et al. (2002), Poni et al., 2009 y Taylor et al., 2010. La suma de Grados Día base 10 de la fase de maduración (GD10 E-C) es el componente térmico del clima de mayor peso relativo (Figura 3).
Respuesta de la planta
Análisis productivo y vegetativo
La producción de los distintos viñedos es significativamente diferente, siendo el viñedo D el de mayor producción (Canelones). El rendimiento guarda una correlación negativa con la temperatura mínima nocturna (TmF r = -0,84 p = 0.01), positiva con la componente hídrica expresada como balance en maduración (BHM r = 0,73 p =0,1), y negativa con la demanda atmosférica (ETP r= -0.96 p= 0.0003). Estos factores de mayor significación influyen en la interfase planta-ambiente, que se expresa a través del potencial hídrico foliar de base (ψ). En el viñedo D (Canelones), este potencial presenta en promedio una restricción moderada durante la floración-maduración (ψf y ym) y ausencia en la cosecha (ψc), condiciones que son inversas en los viñedos A (Salto) y B (Colonia). Esta respuesta se puede explicar analizando el resultado de los componentes del rendimiento.
El número y peso medio de los racimos presentó diferencias según el viñedo, en tanto que el peso de baya presentó variaciones en los dos años estudiados. Las temperaturas elevadas durante la maduración, al provocar la transpiración de la baya, causan una deshidratación y pérdida de peso asociada a la demanda atmosférica (Rogiers et al., 2004). La baya significativamente más chica en el viñedo C (San José) tiene como causa probable las temperaturas altas que se registraron durante la floración (29,5 ºC), lo que está de acuerdo con lo afirmado por Zufferey y Murisier (2004). Estos resultados concuerdan entre otros con Dry y Loveys (1998) y Ferrer (2007), explican la diferencia en la respuesta productiva entre los viñedos, en la medida que los componentes del rendimiento responden a las condiciones del meso-ambiente. Para estos autores, el peso de la baya, está correlacionado positivamente con niveles de estrés moderado o nulo, como los que se registraron en la situación del viñedo D (Canelones). El rendimiento también guarda relación con el vigor de las plantas de acuerdo a lo comunicado por Cortell et al. (2005). El viñedo C (San José) presentó en los dos años menor peso de madera de poda y menor superficie foliar, variables vegetativas que podrían explicar esta respuesta. Se puede interpretar que el viñedo D (Canelones) tiene un potencial de producción superior a los viñedos de las otras zonas expresado por el número superior de racimos (a un mismo número de yemas dejadas en la poda) y racimos más pesados con la menor variación anual (Cuadro 3).
La expresión vegetativa (peso de madera de poda y superficie foliar) mantienen una correlación positiva con la componente térmica: Temperatura Máxima de Enero (TME r = 0,77 p=0,02 y r = 0,75 p = 0,03 respectivamente), Grado Día base 10 de Enero a cosecha (GD10E C r = 0,98 p = 0,01 y r = 0,62 p = 0,02 respectivamente) y con el número de días temperaturas mayores a 30 ºC (NºD r = 0,88 p = 0,02). Los factores de mayor peso de la componente hídrica son: las precipitaciones del ciclo (PC r = 0,73 p = 0,06) y las precipitaciones ocurridas entre brotación –floración (PB r = 0,89 p = 0.01), estas últimas en correspondencia con la máxima cinética de crecimiento vegetativo. Estas condiciones propicias al desarrollo vegetativo mantienen una coherencia con los resultados obtenidos en los viñedos A y B (Salto y Colonia), que mostraron un potencial de desarrollo vegetativo superior a los viñedos C y D (Cuadro 3).
Análisis de los índices fisiológicos
A partir de los índices fisiológicos clásicos y de los rangos propuestos por Kliewer y Dokoozlian (2005) y para Uruguay por Ferrer (2007), se puede tener una indicación del estado de equilibrio de la planta en los diferentes viñedos. Los rangos del conjunto de los índices analizados indican plantas desequilibradas en la situación de los viñedos C y D (San José y Canelones, Cuadro 4).
Análisis de la respuesta hídrica
La respuesta hídrica de la planta muestra diferencias significativas según el estado fenológico y la región, lo que tiene como consecuencia diferencias en el nivel de estrés y en los itinerarios hídricos (Cuadro 5): los valores promedio en floración indican ausencia de restricción hídrica en las condiciones del viñedo A (0 a 1,5) y leve para los viñedos B, C y D. Esta situación explica que no se detecten diferencias en el peso promedio del grano de acuerdo a lo comunicado por Ojeda et al. (2002). Si analizamos anualmente, el tamaño del grano es más chico en el 2009 en los viñedos donde los valores de potencial foliar de base en floración (ψf) alcanzaron niveles de restricción moderado (1,5 a 3,0 bares) a fuerte (3,0 a 5,0 bares). La expresión vegetativa no se vio influenciada por los valores de estrés hídricos alcanzados. La duración de la maduración medida en días julianos de enero a cosecha (Nº D E-C) guardan una relación con el potencial hídrico foliar de base (r=0,69 p= 0,06) en acuerdo con Cortell et al. (2007), Poni et al. (2009) y Taylor et al. (2010).
El análisis discriminante de la respuesta de la planta es consistente con el climático en tanto que los viñedos se separan independientemente del año, en acuerdo con Calò et al. (1996) y Tesic et al. (2002). La superficie foliar por hectárea (SFEp) y el número de días julianos de enero a cosecha (Nº D E-C) son los componentes de mayor peso relativo seguidos por el potencial foliar de base en floración y el rendimiento por hectárea (Figura 4). La superficie foliar responde a las condiciones térmicas e hídricas para el crecimiento vegetativo que diferencian las distintas situaciones (PB r=0.89 p=0.01 y TME r= 0.75 p= 0.03), en tanto que el número de días de la maduración responde a la acumulación térmica diaria expresada en grados días durante ese período (r= 0,83 p =0,03).
Análisis de la composición de la uva
En el año 2008, la composición de la uva de los viñedos A y D (Salto y Canelones) fue afectada de manera negativa por las condiciones ambientales. En el viñedo D no se alcanzó la madurez tecnológica según los parámetros fijados en este estudio, en particular el pH (pH 3.13). Las principales limitantes detectadas fueron por una parte el régimen térmico (diurno-nocturno), en particular por las temperaturas nocturnas inusualmente elevadas que alteraron la acumulación de azúcares, y el estado de hidratación de la planta, que afectó la componente acídica. En el viñedo A se dio una importante deshidratación de la uva, lo que distorsionó los resultados, por lo que este año no será considerado a los efectos de este análisis.
El año 2009 presentó características climáticas inusuales para el país. En este año, la composición de las uvas de los diferentes viñedos presentó diferencias significativas por efecto de las condiciones hídricas, el estado de hidratación de la planta y la componente térmica del clima. En general, las uvas del viñedo D, situado en Canelones en condiciones menos restrictivas, tuvieron los mayores contenidos de los componentes analizados (Cuadros 1, 2 y 5)
Los contenidos de azúcares de los mostos, sus contenidos por baya y la acumulación diaria de estos compuestos en las uvas del viñedo D fueron significativamente superiores a los viñedos A y B. Cuando se considera la elaboración de vinos en la categoría VCP que requiere un mínimo de 12 % v/v y que corresponde a un contenido azucarino de 224 g/l. solo fue alcanzado en los viñedos C y D (San José y Canelones), lo que pone en evidencia la influencia de las condiciones restrictivas del clima en este año y en los viñedos A y B.
La acumulación de azúcares en las uvas fue disminuida por la fuerte restricción hídrica ocurrida en los viñedos A y B, así como por la exposición de las bayas registrada en el viñedo C. Para la acumulación diaria se pudo establecer una correlación negativa con el balance hídrico (BHM r= -0,76 p=0,09) y positiva con la temperatura máxima de enero (TME r=0,63 p=0,09), en acuerdo con Roby et al. (2004). Estos resultados no estarían de acuerdo con los aportados por otros autores, que no encontraron diferencias en los contenidos de azúcares cuando se comparan climas cálidos con climas frescos (Spayd et al., 2002, Downey et al., 2004).
La composición ácida también fue modificada por las condiciones hídricas. El balance hídrico en maduración influyó en la acidez total (r= 0,79 p=0,06) y en la relación málico/tartárico (BHM r= 0,95 p= 0,1); el potencial foliar de base influyó en los contenidos de ácido málico (ψ r = - 0,78 p= 0,12) y de tartárico (ψ r = -0,91 p=0,09). La relación negativa del potencial foliar de base con los dos ácidos sería una explicación a la aceleración del proceso de maduración, medida como número de días entre envero y cosecha (NºD E-C), registrada en el año 2009 para todos los viñedos estudiados, así como a la diferencia encontrada entre los viñedos A y B cuando se los compara con el viñedo D, de acuerdo con Rouchaud (2003), Van Leeuwen et al. (2003) y Koundouras et al. (2006). En estos viñedos debería considerarse el aporte de agua suplementaria en años con déficit hídricos severos.
A su vez, las temperaturas elevadas determinan una disminución de la acidez, en particular por la respiración del acido málico. Sus contenidos tuvieron una relación negativa con los grados días de envero a cosecha (GD10 E-C, r = -0,93 p= 0,003) y con el número de días con temperaturas mayores a 30 ºC (ND r=-0,99 p= 0,04). La diferencia significativa en los valores de pH estarían explicados por la disminución diferencial del ácido málico y por la suma de grado día entre envero y cosecha. Esta última variable guarda correlación con el pH (GD10E-C r= 0,89 p= 0,003), resultado que esta de acuerdo con lo reportado por varios autores (Mattheus y Kriedeman, 2005, Bergquist et al., 2001 y Cohen, 2007). Según éstos, a temperaturas mayores a 30 ºC el catabolismo del ácido málico es particularmente activo. En Salto se registraron 36,5 horas con temperaturas por encima de 30 ºC en el mes previo a cosecha, cuando las restantes regiones no superaron las 23 horas por encima de dicho límite. Este componente climático explicaría además, la baja relación málico/tartárico registrada en los viñedos de esta localidad en al año analizado.
Los valores de antocianos totales fueron significativamente diferentes entre todos los viñedos, siendo superiores en el viñedo B. Cuando se expresan por baya, las uvas del viñedo D tienen el mayor contenido, con diferencias estadísticas con las uvas de los otros viñedos. Los contenidos de estos compuestos se relacionan negativamente con la temperatura máxima (TME r = -0,80 p = 0,02) y positivamente con la temperatura nocturna (Tmf r = 0,82 p = 0,01), lo que se corresponde con la condiciones climáticas de cada región. Salto, en situación de clima cálido, con temperaturas máximas medias de enero 32,8 ºC (superando en 3 ºC a las restantes regiones) y las nocturnas de 18,2 ºC (que superan en 0,4 y 1,7 a las de Colonia y Canelones respectivamente). Esta respuesta está de acuerdo con lo reportado por varios autores (Hasselgrove et al., 2000, Spayd et al., 2002, Downey et al., 2004, Mori et al., 2007) (Cuadro 6).
Las diferencias en la composición de la uva fueron consistentes con los indicadores de la respuesta de la planta. El contenido de azúcares y la acumulación diaria de azúcares muestran una correlación negativa con el crecimiento vegetativo expresado como peso de poda (PP r = - 0,74 p=0,04) y como la superficie foliar (SFEp r =-0,93 p=0,07). En general, a mayor vigor se ve resentida la acumulación de azúcares en el grano por un efecto de competencia con el crecimiento vegetativo (Cortell et al., 2007). Por otra parte, una mayor superficie evaporante aumenta la restricción hídrica, como ocurre en los viñedos A y B, lo que tiene consecuencias sobre la fotosíntesis y por lo tanto sobre la producción de azúcares, en acuerdo con Mattheus y Kriedeman, (2005) y Koundouras et al. (2006). Los valores de superficie foliar registrados en la situación del viñedo A están por encima de los determinados para esta arquitectura por Ferrer (2007), lo que provoca una superposición del follaje, limitando su eficiencia fotosintética. Esta respuesta predominante de la expresión vegetativa ya fue indicada cuando se refirió a la relación con la respuesta de la planta al clima para los viñedos de Salto y Colonia. La relación M/T está correlacionada positivamente con el rendimiento por hectárea (R r=0,82 p= 0,02) o el Indice Índice de Ravaz (IR r=0,93 p= 0,07). En general, plantas con producciones excesivas o desequilibradas tienen uvas con mayores contenidos de acidez. El contenido en antocianos totales mostró una correlación negativa con el rendimiento por hectárea (R r = -0,71 p= 0,05), resultados que están de acuerdo con los verificados en el viñedo D.
Conclusiones
Las diferencias entre los viñedos considerados según clima, respuesta de la planta y composición de la uva son consistentes con la delimitación de regiones climáticas realizada previamente. El «efecto sitio» es preponderante sobre el «efecto año», considerando la respuesta de la planta en los viñedos de las diferentes regiones. Los factores climáticos que más inciden son las lluvias durante el período de crecimiento vegetativo, el balance entre la oferta y la demanda de agua y la suma de grados día durante la maduración.
Estos factores del clima condicionan la producción de uva, el potencial hídrico foliar de base, la duración de la maduración y la superficie foliar expuesta de los viñedos. Las diferencias en la composición de la uva de los viñedos analizados -acumulación diaria y contenidos de azúcares en la cosecha, acidez total y su composición, y potenciales totales en antocianos- son consistentes con las condiciones climáticas y los indicadores de respuesta de la planta obtenidos en cada caso.
Agradecimientos
Los autores quieren agradecer a las empresas: Vinos Finos H. Stagnari, Establecimiento Juanicó, Don Delmiro y O. Daghero por el apoyo prestado para la realización de los ensayos. Al PDT proyecto 66/14 por el apoyo económico.
Bibliografía
Bergquist J., Dokoozlian N. and Ebisuda N. 2001. Sunlight exposure and temperature effects on berry growth and composition of Cabernet Sauvignon and Grenache in the Central San JoaquinValley of California. Am. J. Enol. Vitic.; 52:1-6.
Calò A., Tomasi D., Crespan M. and Costacurta A. 1996. Relationship between environmental factors and dynamics of growth and composition of grapevine. Acta Hort.; (427): 217-231.
Carbonneau A. 1995. La surface foliaire exposée – guide pour sa mesure. Le Prog Agric Vitic; 9. 204-212.
Carbonneau A.,Moueix A., Leclair N. et Renoux J. 1991 Proposition d’une mèthode de prélèvement de raisin à partir de l’analyse de l’hétérogénité de maturation sur un cep. Bull. OIV 727/728: 679 – 690.
Carbonneau A. et Cargnello G. 2003 Architectures de la vigne et systèmes de conduite. Paris: La vigne Dumond. 187p.
Cohen S. 2007 Assessing the Impact of Temperature on Grape Phenolic Metabolism. (Thesis of Masters)(En línea). Oregon: Oregon State University. Disponible en: http://scholarsarchive.library.oregonstate.edu/xmlui/bitstream/handle/1957/6661/cohen_thesis.pdf?sequence. Consultado: abril 2011.107p.
Cortell J., Halbleib M., Gallagher A. Righetti T. and Kennedy J. 2007 l. Influence of Vine Vigor on Grape (Vitis vinifera L. Cv. Pinot Noir) Anthocyanin Concentration and Composition in Fruit. J. Agric. Food Chem.; 55: 6575-6584.
Downey M. O., Harvey J. S. and Robinson S. P. 2004 The effect of bunch shading on berry development and flavonoid accumulation in Shiraz grapes. Aust. J. Gra Wine Res;. 10. 55-73.
Dry P.R. and Loveys B.R. 1998 Factors influencing grapevine vigour and the potential for control with partial rootzone drying.Journal of Grape and Wine Research; 4(3): 140-148.
Ferrer M. 2007 Etude du climat des régions viticoles de l’Uruguay. des variations climatiques et de l’interaction apportée par le microclimat et l’écophysiologie des systèmes de conduite Espalier et Lyre sur Merlot. (Thése Doctorat). Montpellier : Université de Montpellier II. 360pp
Glories Y. et Augustin M. 1993. Maturité phénolique du raisin, conséquences technologiques: application aux millésimes 1991 et 1992. In: Actes du colloque Journée Techn. CIVB. p. 56 – 61.
González-Neves G., Gil G., Barreiro L., Ferrer M. y Franco J. 2006. Composición fenólica de las uvas de las principales variedades tintas de Vitis vinifera cultivadas en Uruguay. Agrociencia; 10(2): 1-14.
González Neves G. 2005. Etude de la composition polyphénolique des raisins et de vins des cépages Merlot, Cabernet sauvignon et Tannat provenant de vignes conduites en lyre et en espalier dans le sud de l’Uruguay. (Thèse de Doctorat) Montpellier: ENSA Montpellier. 279p
González-Neves G., Barreiro L., Gil G., Franco. J., Ferrer. M., Carbonneau A. and Moutounet M. 2004 .Anthocyanic composition of Tannat grapes from the South region of Uruguay. Analytica Chimica Acta; 513 (1): 197-202.
González-Neves G., Gil. G. and Ferrer M. 2002. Effect of different vineyard treatments on the phenolic contents in Tannat (Vitis vinifera L.) grapes and their respective wines. Food Science Technology Int.; 8 (5): 315-321.
Hasselgrove L., Botting D., van Heeswijck R., Hoj P.B., Dry P.R., Ford C. and Iland P.G. 2000. Canopy microclimate and berry composition: The effect of bunch exposure on the phenolic composition of Vitis Vinifera L cv. Shiraz grape berries. Australian Journal of Grape and Wine Research; 6: 141–149.
Kliewer W. M. and Dokoozlian N.K. 2005. Leaf area/crop weight ratios of grapevines: influence on fruit composition and wine quality. Am. J. Enol. Vitic.; 56 (2) 170-181.
Koundouras S., Marinos. V., Gkoulioti. A., Kotseridis Y. and VanLeeuwen C. 2006. Influence of vineyard location and vinewater status on fruit maturation of non-irrigated cv. Agiorgitiko (Vitis vinifera L.): effects on wine phenolic and aroma components. Journal of Agricultural and Food Chemistry; 54. 5077–5086.
Mattheus M.A. and Kriedeman P.E. 2005 Water deficit. yield. and berry size as factors for composition and sensory attributes of red wine ASVO Proceedings 46-54.
Molfino J. 2009 Estimación del agua disponible en los grupos CONEAT. Metodología empleada. Montevideo: MGAP 15p.
Mori K. N. and Goto-Yamamoto. 2007. Effect of high temperature on anthocyanin composition and transcription of flavonoid hydroxylase genes in Pinot noir grapes (Vitis vinifera). J. Hort. Sci. Biotech.; 82: 199-206.
O.I.V. 1990. Récueil des méthodes internationales d’analyse des vins et des moûts. Office International de la Vigne et du Vin. Paris, 368 pp.
Ojeda H., Andary C., Kraeva E., Carbonneau A. and Deloire A. 2002 Influence of pre- and post-véraison water deficit on synthesis and concentration of skin phenolic compounds during berry growth of Vitis vinifera cv ‘Shiraz’. Am. J. Enol. Vitic;. 53. 261-267.
Poni S., Bernizzoni F., Civardi. S., Gatti M., Porro D. and Camin F. 2009 Performance and water-use efficiency (single-leaf vs. whole-canopy) of well-watered and half-stressed split-root Lambrusco grapevines grown in Po Valley (Italy). Agriculture. Ecosystems and Environment; 129. 97–106.
Ribéreau-Gayon et Stonestreet 1965. Le dosage des anthosyanes dans le vin rouge. Bull. Soc. Chim.; 9: 2649.
Roby G., Harbetson J.F., Adams D.A. and Matthews M.A. 2004 Berry size and vine water deficits as factors in winegrape composition: anthocyanins and tannins. Aust. J. Grape Wine Res.; 10. 100-107.
Rogiers S. R., Hatfield J.M., Gunta Jaudzems V., White R.G. and Keller M. 2004. Grape berry cv. Shiraz epicuticular wax and transpiration during ripening and preharvest weight loss. Am. J. Enol. Vitic.; 55 (2) 121-127.
Rouchaud. E. 2003 Caractérisation de la notion de typicité à a travers l’expression de facteurs écologiques. Wine Internet Technical Journal; (16).
Scholander P., Hammel H., Branbsreet E. and Hammingsen E. 1965. Sap pressure in vascular plant. Siences 148: 339-346.
Spayd S.E., Tarara J.M., Mee D.L. and Ferguson J.C. 2002. Separation of sunlight and temperature effects on the composition of Vitis vinifera cv Merlot berries. Am. J. Enol. Vitic.; 53(3): 171-182.
Taylor J.A., Acevedo-Opazo C., Ojeda. H. and Tisseyre B. 2010 Identification and significance of sources of spatial variation in grapevine water status. Australian Journal of Grape and Wine Research; 16: 218–226.
Tesic D., Woolley D.J., Hewett E.W. and Martin D.J. 2002 Environmental effects on cv Cabernet Sauvignon (Vitis vinifera L.) grown in Hawke’s Bay. New Zealand. 1. Phenology and characterisation of viticultural. Australian Journal of Grape and Wine Research. 16: 15–26.
Tonietto J. and Carbonneau A. 2004. A multicriteria climatic classification system for grape-growing regions worldwide. Agric. Fort. Meto: 124: 81-97
Van Leeuwen C., Tregoat O., Chone X., Jaeck M-E., Rabusseau S. et Gaudillere J.P. 2003. Le suivi du regime hydrique de la vigne et son incidence sur la maturation du raisin. Bull de l’OIV 76 867–868. 367–379.
Zufferey V. et Murisier F. 2004. Étude des terroirs viticoles vaudois : comportement de la vigne en fonction des conditions pedo-climatiques. Agroscope RAC Changins Station fédérale de recherches agronomiques de Changins, Centre viticole du Caudoz, CH-1009 Pully. Rapport Final 222 p.













