Servicios Personalizados
Revista
Articulo
Links relacionados
Compartir
Odontoestomatología
versión impresa ISSN 0797-0374versión On-line ISSN 1688-9339
Odontoestomatología vol.24 no.40 Montevideo dic. 2022 Epub 01-Dic-2022
https://doi.org/10.22592/ode2022n40e225
Research
Age estimation according to the degree of dental mineralization: Demirjian method
1 Facultad de Odontología, Universidad de la República, Uruguay
2 Instituto de Estadística, Facultad de Ciencias Económicas y de Administración, Universidad de la República, Uruguay
3 Servicio de Registro y Admisión de Pacientes, Facultad de Odontología, Universidad de la República, Uruguay. almapipa@gmail.com
Legal Dentistry is a specialty of real importance, either in the process of human identification as well as in questions raised by civil, criminal or labor law. Age estimation is a helpful factor, by providing information that orientates these actions. The aim of this study was to evaluate the applicability of Demirjian et al (1973) radiographic method of age estimation, in a Uruguayan sample. 1013 digital panoramic radiographs were studied, obtained from a private institution, in Montevideo, Uruguay. 620 radiographs belonged to female patients and 393 to male, aged between 5 and 25 years old. The Demirjian algorithm applied to the sample studied proved to be ineffective. The data obtained for third molars, suggest that this method could help in the process of identification of the Uruguayan population, although adaptations are required for better results.
Keywords: Forensic Dentistry; panoramic radiographs; identification
La Odontología Legal constituye una especialidad de real importancia, tanto en el proceso de identificación humana, como en cuestiones relacionadas con el derecho civil, penal o laboral. En este escenario, la estimación de la edad es un factor coadyuvante, al aportar informaciones que orientan dichas acciones. Esta investigación tuvo como objetivo evaluar la posibilidad de aplicar el método radiográfico de estimación de edad de Demirjian et al. (1973), en una muestra uruguaya. Se estudiaron 1013 ortopantomografías digitales, obtenidas del archivo de una institución de asistencia colectivizada, de Montevideo, Uruguay, de las cuales 620 pertenecen a pacientes del sexo femenino y 393 al masculino, con edades comprendidas entre los 5 y 25 años. El algoritmo de Demirjian demostró ser poco efectivo, para la muestra estudiada. Los datos obtenidos para los terceros molares sugieren que este método podría aplicarse para la población uruguaya, aunque se requieran adaptaciones que permitan alcanzar mejores resultados.
Palabras clave: Odontología Forense; Ortopantomografías; Identificación
A Odontologia Legal é uma especialidade de real importância, tanto no processo de identificação humana, quanto em questões relacionadas ao direito civil, penal ou do trabalho. Nesse cenário, a estimativa de idade é um fator adjuvante, fornecendo informações que norteiam tais ações. O objetivo desta pesquisa foi avaliar a probabilidade de aplicação do método radiográfico de estimativa da idade de Demirjian et al. (1973), em uma amostra populacional uruguaia. Foram estudadas 1013 radiografias panorâmicas digitais obtidas do arquivo de uma instituição de assistência coletivizada, em Montevidéu, Uruguai. 620 radiografias pertenciam ao sexo feminino e 393 ao sexo masculino, com idades entre 5 e 25 anos. O algoritmo Demirjian aplicado à amostra estudada mostrou-se ineficaz. Os dados obtidos para os terceiros molares sugerem que esse método poderia auxiliar no processo de identificação da população uruguaia, embora sejam necessárias adaptações para obter melhores resultados.
Palavras clave: Odontologia Forense; Radiografias panorâmicas; Identificação
Introduction
Identification is one of the main tasks of forensic experts, as they seek to determine someone’s identity or individualize human remains. 1 In this context, forensic dentistry is essential in the analysis, expertise, and evaluation of procedures on the head and neck. Identification is required for an official declaration of death and is the endpoint of criminal investigations and mass disasters.2
Teeth are considered the hardest structures in the human body, resisting most post-mortem events that destroy or modify other body tissues. Dental age is a reliable indicator for estimating chronological age in child adoption proceedings and determining the age of offenders, victims and/or undocumented immigrants.3-5 The most reliable current methods are based on the stages of tooth mineralization rather than on eruption. Tooth gingival emergence can be influenced by various systemic factors such as gender, ancestry, hormonal and nutritional factors, and systemic diseases. 3 Local factors include early or late extraction of deciduous teeth, ankylosis, impaction, or crowding of permanent teeth.6
As most teeth are still developing during childhood, the younger the person, the closer the estimated age is to the actual chronological age. 2 Conversely, this accuracy decreases as apical closure is completed.7 The third molars are the only teeth that continue developing beyond age 14 or 15. Therefore, radiographic evaluation of the third molar is an essential method in forensic science.8
Some of the methods for assessing dental maturity with radiographs are those developed by Carmen Nolla (1960),9) Demirjian et al. (1973),6 and Nicodemo et al. (1974)10. Nolla’s method is based on 11 stages, ranging from 0 (absence of crypt) to 11 (apical closure). Any quadrant or the entire arch of the maxilla or mandible can be used, including or excluding the third molar. Each stage is assigned a score, then analyzed and related to reference tables for each sex. This allows practitioners to estimate the person’s dental age. 9 Demirjian et al.(1973) studied tooth age using the seven permanent teeth of the left sector of the mandible. They established eight calcification stages for each tooth, between the letters A and H, where state 0 means no calcification. They draw up pre-established tables by sex, with scores that help estimate dental age.6) Nicodemo et al. (1974) examined a sample of Brazilians and developed a chronological table of permanent teeth mineralization, which has proven to be applicable. This method is also based on stage estimation, ranging from 1 (some point of cuspid mineralization) to 8 (apical closure).10
Several studies have attempted to assess whether these methods can be applied to other population groups. Differences were found in many countries when comparing data obtained from the study population to standardized tables.2,11 Many of these studies found that despite being functional, these methods must be adapted to better suit other populations.2,3,5,10,11) Therefore, a different table should be developed to assess population groups with different ethnic characteristics.
In view of the above, this paper aims to verify whether the method developed by Demirjian et al. (1973) can be applied to assess the data from a study conducted in Uruguay.
Methods
We selected 1013 digital panoramic radiographs or orthopantomographs (OPTs) of 2100 patients taken with the CS 8100R unit. The images were obtained under the institutional protocol for orthodontic treatment of patients aged 5-25 seen at ANDA’s (Asociación Nacional de Afiliados) Orthodontic Clinic. All radiographs whose image was unclear were excluded, leaving a sample of 620 female and 393 male patients.
Each OPT was assigned a number for identification purposes and to ensure patient anonymity. Since 20 patients had been X-rayed more than once at different times, their OPTs were considered to belong to different individuals.
The initial reliability analysis was conducted by visually training and calibrating the 3 operators using 50 OPTs selected at random. Each tooth stage was analyzed following the criteria described by Demirjian et al. (1973)6 in each OPT and on three different occasions, with an interval of no less than two weeks between the analyses. The total sample was analyzed by the operator with the highest reliability index (Kappa 0.89). The patient’s actual age and sex remained unknown at all times.
This scientific study was conducted following the recommendations of the Research Ethics Committee of the School of Dentistry, Universidad de la República, and approved on 5 August 2019, as stated in file nº 0919000021219.
The data were collected in a spreadsheet including the following fields: OPT number, sex, date of birth, date of OPT, age at the time of OPT, identification of each tooth studied, according to the FDI nomenclature, and stages established by Demirjian et al. (1973),6 as shown in Figure 1.
Table 1: Weights for dental stages used by Demirjian et al. (1973)6 in boys and girls for the seven left mandibular teeth
The variables studied were sex (obtained from the OPT database), age (time elapsed from the patient’s birth to the OPT, expressed in years and months, establishing the arithmetic difference between the OPT date and the date of birth), and Demirjian stage (8 stages of dental mineralization, from A to H, for the 7 lower left teeth, 31 to 37, and the upper right third molars, 18, and lower left third molars, 38).
R Core Team (2020) statistical software (https://www.R-project.org/) was used to analyze the consistency of the databank and the data. The author’s algorithms were used to estimate the age of the seven left mandibular teeth (Table 1), and the agreement between actual and predicted age was evaluated.
The stages proposed by Demirjian et al. (1973)6 were used to analyze third molars and their relation to real age.
Results
The initial sample included 1013 OPTs which were selected according to the method to be used, as shown in Figure 2. The flowchart reflects the fact that not every individual (1013) may have third molars (18 and 38).
The sample assessed with the criteria of Demirjian et al. (1973) above included 270 females and 165 males aged 5-16, as shown in Table 2.
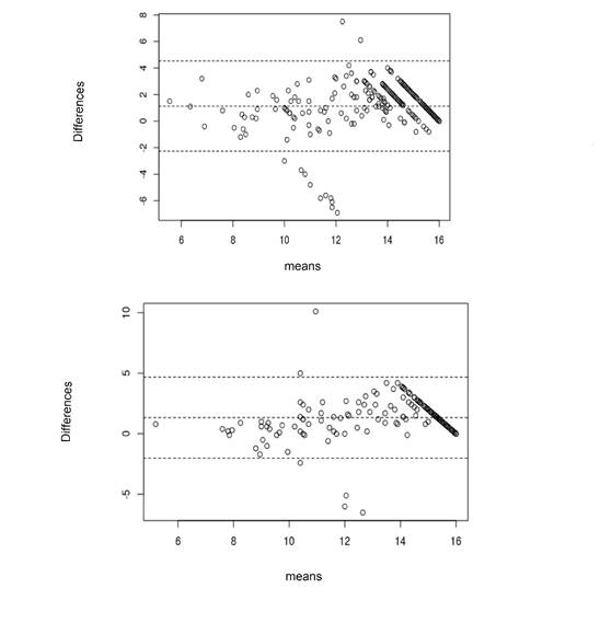
We used the values of the algorithm of Demirjian et al. (1973)6 from Table 1 to analyze the seven left mandibular teeth. We estimated the ages and observed that 95.56 % of the girls (258) fall within the confidence band (in this case, the upper and lower dotted line in each graph resulting from calculating a confidence interval for the mean difference at 95 %). A systematic bias is observed between the ages of 13 and 16, where the difference decreases linearly. This demonstrates there is no correspondence between the actual and estimated ages. Of the girls, 3.7% (10 girls) had their age underestimated below the confidence band whose ages were between 10 and 12; 0.74% (2 girls) between 12 and 14 were above the band, so the estimated age was higher than the actual age. The boys showed a similar behavior: 96.4% were within the tolerance limit, 1.21% were overestimated (2 individuals), and 2.42% were underestimated (4 individuals). This can be seen in the Bland-Altman plot:16 in both sexes, it seems to work better at younger ages (Chart 1).
Table 3 shows that the Demirjian method is not a good predictor. The estimated and real ages do not follow a monotonic pattern, and the method yields distant values. The ages are underestimated in 45 individuals (14 boys and 31 girls) and overestimated in 379 individuals (145 and 234 boys and girls). Therefore the Demirjian algorithm does not adequately estimate age in the sample under study.
As an alternative to The Demirjian method (1973), we estimated two regression models considering the stages determined for third molars, for males and females aged 5 to 25, with a total of 985 individuals, 605 females, and 377 males. (Table 4)
Applying the method for the upper right and lower left third molars (18 and 38) for the male population yielded intercept values (ß0) reaching 11.00 and 11.5 (Table 5). For the female population, the values were 13.36 and 10.76, respectively (Table 6).
This application yields a more accurate predicted age. These linear models show a growing monotonic relationship aligned with the dental maturation rate. The average of the males with molar 18 in stage A had their estimated age at 9.65 (estimated age = intercept + coefficient, 11-1.35=9.65), and the females with a molar 38 were in stage H.
Discussion
The differences found between the sample under consideration and the standard population on which the Demirjian algorithm is based may be due to several reasons. These include the quality of the sample and the biological and genetic variants that underlie the differences in development between different populations or even within the same population.
Based on work conducted in Argentina, Poletto and Giménez (2012)11 stated that Nolla and Demirjian’s methods were developed based on a very limited population set (50 individuals were examined) and are therefore not fully representative of their population. The results show that Nolla’s method underestimated age by 4 to 6 months, while Demirjian’s overestimated age by 3 to 5 months.
In Berlin, Germany, Olze et al. (2004)12 conducted a comparative study of third molar mineralization in samples of German, Japanese, and South African descent using the Demirjian method. The authors found statistically significant differences, proving tooth development diversity among different ethnic groups. Even when comparing the South African and Japanese populations, they found that South Africans were 1 to 4 years younger than the Japanese for the same stage. These results suggest that this could be due to each ethnic group’s inherent characteristics.
Studies conducted in various countries concerning third molar development showed apparent differences. In Turkey, the crypt was found to become visible in the mandibular arch at age 87 in Yangsan, Korea, between the ages of 6 and 7 (earlier in males),13) and in Egypt,14 it also occurred at younger ages in males. No female patient under 18 showed complete third molar development, although 33.3% of the male patients had completed apical closure.14
The sample in this study did not have an adequate age and sex distribution, as there were more females than males and more individuals aged 12 to 15 years. We even had age groups with very few individuals and some with no representation.
When applying the Demirjian algorithm to the sample under study, the results show that the method is not a good predictor since the estimated age and the actual age do not follow a monotonic behavior. They do not grow at the same time, and there is an underestimation and mostly overestimation of age, both for girls and boys.
Regarding the estimates, a more significant overestimation was observed at younger ages. Even so, the margin of error decreases at older ages. Therefore, in our study population, the method could be more applicable to older individuals, both in males and females.
The results are similar to the research conducted in Argentina (2012),11 as both studies overestimate age using the Demirjian method. This indicates that this method applied to both neighboring populations results in age estimation errors.
A study conducted in Colombia concluded that The Demirjian method is not applicable due to ethnic differences.16) A variation can thus be observed between these populations from similar geographical settings and the sample of children of French-Canadian origin studied by Demirjian et al.6 Considering the age and sex distribution of the sample of this study, it is not easy to assess the actual magnitude of the estimation bias for each age (in case of under or overestimation). This occurs because the correct way to compare the estimated models with the Demirjian tables is to use the age distribution used by the authors.
A study conducted in a Spanish and Portuguese sample concluded that The Demirjian method tends to overestimate chronological age. It also determined that the predictive capacity of both methods was significantly higher for boys and girls up to the age of 10, decreasing progressively up to the age of 18 and ceasing to be statistically significant beyond that age, as explained above.17
Maber et al. Conducted a study in London in 20064 and found that this method overestimated age. Therefore, we verified that errors in age estimation are not limited to a specific geographical area.
A larger sample of individuals was obtained to study the third molars. Applying the method to study third molars resulted in more accurate age estimations.
Regarding the results of the study conducted on third molars, there are similarities with research carried out in the same region, such as that of Gundim et al. (Brazil, 2014).5 This study inferred that the ages of the individuals in both genders and dental development stages were aligned. The same is observed in studies from other regions, e.g., Sisman et al. (Turkey, 2007), (7 Simosson et al. (Sweden, 2017),8 and Jun-Hoa Jung et al. (Korea, 2014),13 These studies accept the application of this method for age estimation in both males and females.
Conclusions
Using The Demirjian method (1973) in our study proved not to be an adequate method. There is no standard that allows us to estimate the patient’s actual age with a certain degree of reliability. Using an algorithm through a linear regression model for third molars presented higher credibility.
These results point to the need to adapt this method to the Uruguayan population and all populations to be studied in the future. Practitioners must consider individual variables such as biological, genetic, and racial characteristics, as well as those to which the population is exposed and which collectively influence people, such as environmental or socioeconomic characteristics.
REFERENCES
1. Gargano V, Picapedra A, Sassi C, Lima L, Alvarez R, Francesquini Jr. L Daruge Jr. E. ¿Son los índices caninos mandibular y maxilar herramientas fidedignas para la determinación del sexo? Actas odontológicas 2014; XI (1):22-34 [ Links ]
2. Silva Miranda S, Prata das Neves D.M, Da Silva Gomes FJ, Corte Real AT. Estimativa da idade pela mineralização dentária utilizando o método de Nicodemo, Morais e Médici Filho (1974) em população portuguesa. Rev. Arq. Odontol Belo Horizonte (Internet), jul/set 2015; 51(3): 158-164. (Citado 12 de marzo 2019) Disponible en: Disponible en: http://revodonto.bvsalud.org/pdf/aodo/v51n3/a06v51n3.pdf [ Links ]
3. Fortes de Oliveira O, Marques Fernandes M, Daruge Junior E; Haltenhoff M, Rodolfo F, Paranhos LR. Estimativa da idade por meio de radiografías panorámicas. Rev. Gaúcha Odontol. Porto Alegre, abr/jun 2010; 58(2): 203-206. [ Links ]
4. Maber M, Liversidge HM, Hector MP. Accuracy of age estimation of radiographic methods using developing teeth. Forensic Sci Int 2006; 159: S68-S73. [ Links ]
5. Gundim A, Sousa AP, Silva JC, De Olivera R, Yamamoto-Silva FP, Silva B. Estágio de mineralização dos terceiros molares e sua relação com a idade cronológica: uma amostra da população do Centro-Oeste do Brasil. Rev. Odontol UNESP. Sep.-Oct. 2014; 43(5): 294-298 [ Links ]
6. Demirjian A, Goldstein H, Tanner JM. A New System of Dental Age Assessment. Human Biology. Mayo 1973; 45(2): 211-227 [ Links ]
7. Sisman Y, Uysal T, Yagmur F, Ilhan Ramoglu S. Third-Molar Development in Relation to Chronological Age in Turkish Children and Young Adults. Angle Orthodontist. 2007; 77(6): 1040-1045. Disponible en: https://www.angle.org/doi/full/10.2319/101906-430.1 [ Links ]
8. Simonsson L, Näsström K, Kullman L. Radiographic Evaluation of Third Mandibular Molar Development as an Age Indicator in a Swedish Population. Madridge J Dent Oral Surg. 2017; 2(1): 31-37. [ Links ]
9. Nolla CM. The Development of Permanent Teeth. J Dent Child 1960; 27: 254-266. Disponible en: https://www.dentalage.co.uk/wp-content/uploads/2014/09/nolla_cm_1960_development_perm_teeth.pdf [ Links ]
10. Nicodemo RA, Moraes LC, Medici FE. Tabela cronológica da mineralização dos dentes permanentes entre brasileiros. Rev. Fac. Odont. São José dos Campos. Jun. 1974; 3(1): 55-56 [ Links ]
11. Poletto AN, Giménez ED. Edad dentaria: adecuación regional de los métodos de Nolla y Demirjian. Rev. Fac. Odont. UNCuyo. 2012; 6(2): 37-42. Disponible en: http://bdigital.uncu.edu.ar/app/navegador/?idobjeto=6575 [ Links ]
12. Olze A, Schmeling A, Taniguchi M, Maeda H, Van Niekerk P, Wernecke KD, et al. Forensic age estimation in living subjects: the ethnic factor in wisdom tooth mineralization. Int J Legal Med. 2004; 118: 170-173. [ Links ]
13. Yun-Hoa Jung, Bong-Hae Cho. Radiographic evaluation of third molar development in 6 to 24 years old. Imaging Sci Dent. 2014; 44: 185-91. [ Links ]
14. Hassan NA, Abo Hamila NAA. Ortopantomography and Age Determination Using Third Molar Mineralization in a Sample of Egyptians. Mansoura J Forensic Med Clin Toxicol. Jun. 2007; 15(1): 45-58 [ Links ]
16. Corral C, García F, García J, León P, Herrera A, Martínez C, Moreno F. Chronological versus dental age in subjects from 5 to 19 years: a comparative study with forensic implications, Colombia medica 2010; 41(3). [ Links ]
17. Tomás LF, Mónico LSM, Tomás I, Varela-Patiño P, Martin-Biedma B. The accuracy of estimating chronological age from Demirjian and Nolla methods in a Portuguese and Spanish sample. BMC Oral Health 2014. Disponible en: https://bmcoralhealth.biomedcentral.com/articles/10.1186/1472-6831-14-160 [ Links ]
Research note: Research protocol approved by the Research Ethics Committee of the School of Dentistry on 5 August 2019.
Authorship contribution: 1. Conception and design of study 2. Acquisition of data 3. Data analysis 4. Discussion of results 5. Drafting of the manuscript 6. Approval of the final version of the manuscript CB has contributted in 1,2, 4,5,6 RL has contributted in 1,2,4,5,6 AF has contributted in 1,2,4,5,6 RA has contributted in 3,4,5,6 AP has contributted in 1,2,3,4,5,6.
Received: April 18, 2022; Accepted: October 26, 2022










texto en 











