Introducción
La identificación, es una de las más importantes tareas del perito legista, procurando establecer la identidad de una persona o la individualización de restos humanos. 1 En ese contexto, la Odontología Legal desempeña un capital rol en el análisis, pericia y evaluación de procedimientos relacionados con las regiones de cabeza y cuello. La identificación positiva es un requisito para declarar oficialmente a las personas fallecidas, siendo el corolario de investigaciones criminales y desastres masivos 2.
Los dientes son considerados las estructuras más duras del cuerpo humano, al resistir a la mayoría de los eventos post-mortem, que destruyen o modifican los demás tejidos corporales. La edad dentaria es un indicador fiable para estimar la edad cronológica de un individuo, en procesos de adopción de menores, determinación de la edad de delincuentes, víctimas y/o inmigrantes indocumentados. 3,4,5 En relación a los métodos existentes, los más confiables son los que se basan en los estadíos de mineralización dentaria, y no en la erupción. La emergencia gingival de las piezas dentarias puede encontrarse bajo la influencia de diversos factores sistémicos como: sexo, ancestralidad, factores hormonales, nutricionales y enfermedades sistémicas. 3 Como factores locales se incluyen la extracción temprana o tardía de dientes deciduos, anquilosis, impactación o aglomeración de dientes permanentes. 6
Teniendo en cuenta que, durante la niñez, la mayoría de los dientes se encuentran en desarrollo, cuanto más joven es el ser humano, mayor es la aproximación de la edad estimada, a la edad cronológica real. 2 En contrapartida, esta precisión va decreciendo a medida que las piezas completan su cierre apical. 7 Más allá de los 14 ó 15 años, los terceros molares son los únicos dientes que siguen desarrollándose. Es por esto, que la evaluación radiográfica del tercer molar es un método trascendente en las ciencias forenses. 8
Entre los métodos de evaluación de la maduración dentaria, mediante la lectura radiográfica, pueden enumerarse los de Carmen Nolla (1960)9, Demirjian et al. (1973)6 y Nicodemo et al. (1974)10. El método de Nolla, se basa en 11 estadíos, que van de 0 (ausencia de cripta) hasta 11 (cierre apical). Se puede utilizar cualquier cuadrante o la arcada completa del maxilar o mandíbula, incluyendo o no el tercer molar. A cada estadío le corresponde una puntuación, y el puntaje obtenido se lo analiza y relaciona con tablas de referencia para cada sexo, estimando así la edad dentaria del individuo en cuestión. 9 Para poder estudiar la edad dentaria, Demirjian et al. (1973), utilizan los siete dientes permanentes del sector izquierdo de la mandíbula, estableciendo ocho etapas de calcificación para cada diente, comprendidas entre las letras A y H, siendo el 0 la ausencia de calcificación. Elaboran tablas preestablecidas por sexo, con una puntuación que permitirá estimar la edad dentaria. 6) Nicodemo et al. (1974) examinaron una muestra de brasileros y elaboraron una tabla cronológica de mineralización de dientes permanentes, de comprobada aplicabilidad. Este método se basa también en la estimación a partir de estadíos, que van desde 1 (identificación de algún punto de mineralización cuspídea) hasta 8 (cierre apical). 10
Diversas investigaciones se han realizado, en la tentativa de avalar si estos métodos pueden ser aplicados en otros grupos poblacionales. En muchos países se encontraron diferencias, al comparar los datos obtenidos de la población estudiada con las tablas estandarizadas. (2,3,4,11 En muchos de los estudios efectuados, se pudo comprobar que, a pesar de ser una herramienta de gran utilidad, estos métodos requieren de adaptaciones para una mejor adecuación a otras poblaciones. 2,3,5,10,11) Es así que posiblemente, en grupos poblacionales con características étnicas diferentes, no deban ser empleadas las mismas tablas, sino proceder a crear una propia.
De cara a lo expuesto, el presente trabajo tuvo como objetivo verificar si el método de Demirjian et al. (1973), es aplicable a los datos de un estudio realizado en Uruguay.
Métodos
Fueron seleccionadas 1013 ortopantomografías digitales (OPTs), de un total de 2100, tomadas con el ortopantomógrafo CS 8100R, como parte del protocolo institucional para realizar tratamientos ortodóncicos, a pacientes asistidos en la Clínica de Ortodoncia de ANDA (Asociación Nacional de Afiliados), con edades comprendidos entre 5 y 25 años. Se excluyeron todas las radiografías, cuya imagen no fuera clara para la lectura, quedando finalmente una muestra de 620 pertenecientes a pacientes del sexo femenino y 393 del masculino.
A cada una de las OPTs se le asignó un número, para permitir una identificación y asegurar el anonimato de los pacientes. Dado que un mismo paciente pudo haber sido radiografiado más de una vez (20 individuos), en épocas diferentes, se consideraron como de distintos individuos.
Para cumplir con el respectivo análisis de confiabilidad, en una primera etapa, se procedió al entrenamiento visual y calibrado de los 3 operadores, utilizando 50 OPTs, seleccionadas al azar. El análisis del estadio de cada pieza, se efectuó siguiendo los criterios descritos por Demirjian et al. (1973)6, en cada una de las OPTs, en tres ocasiones diferentes, con un intervalo no menor a dos semanas entre ellas. El total de la muestra fue analizado por el operador que obtuvo el más alto índice de confiabilidad, (Kappa 0,89), desconociendo en todo momento la edad real y el sexo del paciente.
Es pertinente hacer notar que el proyecto de esta iniciativa científica, fue elaborado de acuerdo a las recomendaciones del Comité de Ética en Investigación de la Facultad de Odontología de la Universidad de la República, y aprobado el 5 de agosto de 2019, según consigna el Exp. 091900-00212-19.
Los datos fueron recolectados en una planilla electrónica creada para la investigación, con los siguientes campos: número de OPT, sexo, fecha de nacimiento, fecha de realización de la OPT, edad al momento de la OPT, identificación de cada pieza dentaria estudiada, conforme la nomenclatura FDI (Federación Dental Internacional), y estadios establecidos por Demirjian et al. (1973)6, tal cual se aprecia en la Figura 1.
Las variables estudiadas consistieron en sexo (obtenido de la base de datos de OPTs digitales), edad (tiempo transcurrido desde el nacimiento del paciente hasta la toma de la OPT, expresado en años y meses, estableciendo la diferencia aritmética entre la fecha de la toma radiográfica y la de nacimiento), y estadio de Demirjian (consistente en 8 estadios de mineralización dental, de A a H, para los 7 dientes inferiores izquierdos, 31 a 37, y los terceros molares superiores derechos, 18, e inferiores izquierdos, 38).
La consistencia del banco de datos y el análisis de los datos se efectuaron utilizando el programa estadístico R Core Team (2020) https://www.R-project.org/. Para la estimación de la edad se aplicaron los algoritmos utilizados por los autores, para las 7 piezas mandibulares izquierdas (Tabla 1), evaluándose el acuerdo entre edad real y pronosticada.
Para el análisis de los terceros molares se consideraron los estadios de Demirjian et al. (1973)6 y su relación con la edad real.
Tabla 1: Ponderadores para estadios dentales utilizados por Demirjian et al. (1973) 6, El 3,7% (10 niñas)niños y niñas, para los 7 dientes mandibulares izquierdos
Resultados
La muestra inicial constó de 1013 ortopantomografías, de acuerdo al método a utilizar fueron seleccionadas, según puede apreciarse en la Figura 2. Un aspecto a considerar en el Flujograma, es que los terceros molares (18 y 38), pueden no estar presentes en totalidad (1013), de los individuos.
La muestra evaluada, siguiendo los criterios de Demirjian et al. (1973) anteriormente dichos, fue de 270 mujeres y 165 hombres, con edades comprendidas entre 5 y 16 años, como se aprecia en la Tabla 2.
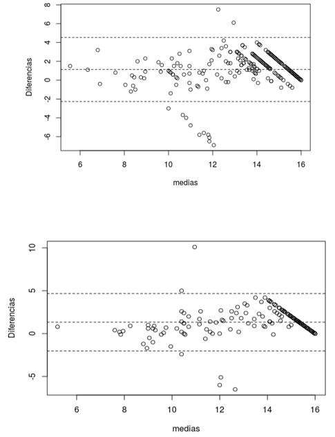
Utilizando los valores del algoritmo de Demirjian et al. (1973)6 de la Tabla 1, para los 7 dientes mandibulares izquierdos, y estimando la edad, pudimos apreciar que en nuestra muestra el 95,56 % de las niñas observadas (258), quedan incluidas dentro de la banda de confianza (en este caso la línea punteada inferior y superior en cada gráfico, que surge de hacer un intervalo de confianza para la diferencia de medias, al 95 %), observándose un sesgo sistemático, entre los 13 y 16 años, donde la diferencia decrece linealmente, lo que demuestra la no existencia de un grado de acuerdo entre la edad real y la estimada. El 3,7% (10 niñas), cuyas edades estaban entre los 10 y 12 años, tuvieron su edad subestimada por debajo de la banda de confianza; el 0,74% (2 niñas) comprendidas entre 12 y 14 años, quedaron por encima de la banda, siendo la edad estimada superior a la real. Los niños observados mostraron un comportamiento similar, el 96,4% quedó dentro del límite de tolerancia, siendo sobrestimados un 1,21% (2 Individuos) y subestimados un 2,42% (4 individuos), como puede apreciarse en el gráfico de Bland Altman Plot 16, en ambos sexos parece funcionar más razonablemente a edades tempranas (Gráfico 1).
Como podemos apreciar en la Tabla 3, la aplicación del método Demirjian no es buen predictor, la edad estimada y la real no siguen un comportamiento monótono, alcanzando valores alejados, pudiendo subestimarla en 45 individuos, (14, niños y 31 niñas) o sobreestimarla en 379, 145 y 234 niños y niñas respectivamente. No hay entonces un comportamiento adecuado de la estimación de la edad utilizando el algoritmo de Demirjian en la muestra en estudio.
Como alternativa al método de Demirjian et al. (1973) se estiman dos modelos de regresión considerando los estadios ideados por los autores para los terceros molares, para hombres y mujeres de 5 a 25 años, con un total 985 individuos, 605 mujeres y 377 hombres. (Tabla 4)
Al aplicar el método para los terceros molares, superior derecho e inferior izquierdo (18 y 38), para población masculina los valores de intercepto (ß 0) alcanzaron valores de 11.00 y 11.5, (Tabla 5), mientras que, para la femenina, 13.36 y 10.76 respectivamente (Tabla 6).
Dicha aplicación resulta en una mejor aproximación de la edad pronosticada a la real, estos modelos lineales muestran una relación monótona creciente que acompaña el índice de maduración dental. El promedio de los hombres que presentan su molar 18 en estadio A, tuvieron su edad estimada en 9,65 años (Edad estimada = intercepto + coeficiente, 11-1.35= 9,65) y las niñas que tienen su molar 38 en estadio H.
Discusión
Se debe tener en cuenta que las diferencias encontradas entre la muestra considerada y la población estándar en la que se basa el algoritmo de Demirjian, puede deberse a varios motivos, entre ellos, la calidad de la muestra y, las variantes biológicas y genéticas que fundamentan las diferencias de desarrollo entre distintas poblaciones o incluso en una misma población.
A partir de un trabajo llevado a cabo en la República Argentina, Poletto y Giménez (2012)11afirmaron que los métodos de Nolla y Demirjian fueron formulados en un conjunto poblacional muy acotado (se examinaron 50 individuos), por lo que, no son totalmente representativos para su propia población. Los resultados así lo demuestran: el método de Nolla subestimó la edad entre 4 y 6 meses, al paso que, el de Demirjian, la sobrestimó entre 3 y 5 meses.
Olze et al. (2004)12, en Berlín, Alemania, llevaron a cabo un estudio comparativo de la mineralización de los terceros molares, en muestras de ascendencia alemana, japonesa y sudafricana, valiéndose del método de Demirjian. Los autores comprobaron diferencias estadísticamente significativas, que permiten corroborar la diversidad presente en el desarrollo dentario entre diferentes etnias. Incluso, al comparar la población sudafricana con la japonesa, verificaron que, para un mismo estadio, los sudafricanos eran 1 a 4 años menores que los japoneses. En virtud de los resultados obtenidos, sugirieron que este fenómeno podría deberse a las características inherentes a cada grupo étnico.
Estudios realizados en diversos países, en relación al desarrollo del tercer molar, arrojaron diferencias evidentes. En Turquía se comprobó que la cripta se hacía visible en el arco mandibular a la edad de 8 años 7, en Yangsan, Corea, entre los 6 y7 años (siendo más prematuro en el sexo masculino)13, y en Egipto 14, se producía a edades más tempranas, también en el sexo masculino. Ninguna paciente del sexo femenino, menor de 18 años, presentaba un desarrollo completo del tercer molar, aunque 33,3% de los del sexo masculino, habían culminado su cierre apical. 14
En esta investigación, la muestra no presentó una adecuada distribución en edad y sexo, ya que se contó con más mujeres que hombres y mas individuos con edad comprendida entre los 12 y 15 años. Incluso, existen franjas etarias con muy pocos individuos y algunas sin representación.
Al aplicar el algoritmo de Demirjian a la muestra en estudio, los resultados obtenidos muestran que el método no es un buen predictor ya que la edad estimada y la edad real no siguen un comportamiento monótono, no crecen a la vez, observando subestimación y mayormente sobreestimación de la edad, tanto para el sexo femenino como el masculino.
Con respecto a las estimaciones realizadas: a edades menores se observó una sobreestimación mayor, que la que pudo apreciarse en individuos de mayor edad. Aun así, el margen de error disminuye a mayores edades. Con esto dicho, se podría afirmar que el método es más aplicable en nuestra población estudio, a individuos de mayor edad cronológica, tanto en hombres como mujeres.
Los resultados se asemejan a la investigación realizada en Argentina (2012), 11en cuanto a que en ambos casos se encontró una sobreestimación de la edad usando el método de Demirjian et al. Esto indica que, para ambas poblaciones, de localidades próximas, se observan errores de estimación en la edad al aplicar el método en cuestión. En un estudio realizado en Colombia, se llegó a la conclusión de que el método de Demirjian no es aplicable debido a las diferencias étnicas dadas 16). Se puede así constatar una variación entre estas poblaciones procedentes de configuraciones geográficas similares, respecto a la muestra de niños de origen Franco-Canadiense estudiada por Demirjian et al. 6. Considerando la distribución por edad y sexo de la muestra de este estudio, no es fácil evaluar la real magnitud del sesgo de estimación para cada edad (en el caso de que subestime o sobreestime), ya que lo adecuado para comparar los modelos estimados con las tablas de Demirjian es tener en la muestra del estudio, la misma distribución para la edad que la usada por los autores.
En referencia a un estudio realizado en una muestra española y portuguesa, se concluyó que el método de Demirjian tiende a sobreestimar la edad cronológica y a su vez se determinó que la capacidad predictiva de ambos métodos fue significativamente mayor para niños y niñas de hasta 10 años, disminuyendo progresivamente hasta los 18 años y dejando de ser estadísticamente significativa más allá de esa edad, tal como se explicó antes 17.
Maber y cols, en su investigación en Londres en 2006, (4 también concluyeron en la presencia de una sobreestimación de la edad con este método. Habiendo mencionado esto, verificamos que los errores en la estimación de la edad no se limitan a un área geográfica específica.
Para el estudio de los terceros molares, se obtuvo una muestra mayor de individuos. La aplicación del método para los terceros molares resultó en una mejor aproximación de la edad estimada a la real.
Con respecto a los resultados obtenidos en el estudio de los terceros molares, se aprecian similitudes con investigaciones realizadas en la misma región, tal como el de Gundim y cols (Brasil, 2014)5, en la cual se infiere que existe coincidencia entre las edades de los individuos en ambos géneros con respecto a los estadios de desarrollo dental. Se observa lo mismo en estudios realizados en otras regiones, por ejemplo, los referentes a Sisman y cols (Turquía, 2007) 7, Simosson y cols (Suecia, 2017) 8 y Jun-Hoa Jung y cols (Corea, 2014)13en los cuales es un factor común la aceptación de la aplicación del método para la estimación de la edad tanto en hombres como en mujeres.
Conclusiones
La utilización del método de Demirjian et al. (1973) para la nuestra en estudio demostró no ser un método adecuado; no existe un patrón que nos permita estimar con cierto grado de confiabilidad la edad real del paciente. El algoritmo sugerido a través de un modelo de regresión lineal para los terceros molares presentó un mayor grado de credibilidad.
En base a estos resultados surge la necesidad de adaptación de este método no solo a la población uruguaya sino a todas las poblaciones a futuro estudio, considerando las distintas variables que influyen a nivel individual, tales como biológicas, genéticas, raciales, además de aquellas características a las que está expuesta la población, que influyen de manera colectiva en una población, como pueden ser ambientales o socioeconómicas.










texto en 











