Servicios Personalizados
Revista
Articulo
Links relacionados
Compartir
Odontoestomatología
versión On-line ISSN 1688-9339
Odontoestomatología vol.15 no.spe Montevideo jun. 2013
Primer Relevamiento Nacional de Salud Bucal en población joven y adulta uruguaya
Lorenzo, Susana*,
Álvarez, Ramon**,
Blanco, Silvana***,
Peres, Marco****
* Prof. Agda. MSc.Servicio de Epidemiología y Estadística. Cátedra de Odontología Social. Facultad de Odontología. UdelaR
susana.of.lorenzo@gmail.com
** Profesor Adjunto MSc. Instituto de Estadística. Facultad de Ciencias Económicas. UdelaR
*** Profesora. Cátedra de Odontología Social. Facultad de Odontología, UdelaR
**** Professor of Population Oral Health, Australian Research Centre for Population Oral Health, The University of Adelaide, Adelaide, Australia
Resumen
El objetivo de este artículo es presentar la metodología del “Primer relevamiento nacional en salud bucal en población joven y adulta urbana uruguaya” desarrollado durante los años 2010-2011 a cargo de la Facultad de Odontología de la Universidad de la República. Se contextualiza en la instalación del nuevo Sistema Nacional Integrado de salud (2008) y adquiere relevancia por la inexistencia de datos previos para la población adulta. Métodos Se recogió información sobre: caries, paradenciopatías, lesiones de mucosa, maloclusiones y factores de riesgo socioculturales. Se utilizó la metodología basada en “Relevamientos Nacionales, Métodos Básicos” (OMS, 1997),muestreo en fases, estratificado por conglomerados con dos muestras independientes, una de los departamentos del interior (n= 922 personas divididas en: 418:15-24 años, 229:35-44 años y 275: 65-74 años) y otra de Montevideo, (n=563 personas divididas en: 279: 15-24 años;131: 35-44 años; 153: 65-74 años). Se recogió información en los domicilios, mediante un examen clínico y un cuestionario socio-cultural. La tasa de respuesta fue en promedio de 61%. La reproducibilidad interexaminador (en todas las condiciones relevadas) osciló entre 0.6 y 1 (test Kappa).
Palabras clave: Relevamiento nacional, metodología, adultos, salud bucal
Abstract
The objective of this article is to present the methodology of the first Uruguayan national wide young and adult oral health survey. It was carried out by the School of Dentistry, Universidad de la República, during 2010-2011 in order to provide epidemiological data.The survey was performed in the context of the implementation of the National Health System. Methodological aspects followed those suggested by WHO for oral health surveys (1997). It was adopted a stratified, double phase cluster sampling design. The capital and the rest of the provinces were considered in two independent samples: one for the provinces (n=922: 418:15-24ys. ; 229: 35-44 ys; 275: 65-74ys) and another for the capital (n=563: 279:15-24ys.;131: 35-44ys.; 153: 65-74ys). The survey included a household questionnaire about participants’ risk factors for oral and general health as well as socioeconomic status and dental exams which assessed dental caries, periodontal disease, malocclusions and mucosal lesions. The mean response rate was 61%. Inter-examiner reliability for all conditions varies from 0.6 to 1(Kappa ).
Key words: National survey Oral Helath survey, methodology, adults, oral helath people
Fecha recibido: 14.03.2013 - Fecha aceptado: 03.05.2013
Introducción
La realización de estudios descriptivos epidemiológicos, construidos sobre muestras poblacionales sólidamente seleccionadas, permite contar con información confiable que puede ser utilizada para la asignación de recursos o su redistribución, constituyéndose en una línea de base sobre la cual poder planificar y realizar comparaciones.
El Uruguay, se encuentra en un proceso de consolidación de un Sistema Nacional Integrado de Salud (1) donde se articulan los subsistemas Público y Privado que asegura a la población el acceso universal, equitativo e integral a la salud. La salud bucal es parte de la salud general, por lo cual, se crea el Programa Nacional de Salud Bucal que define como grupos prioritarios a las mujeres embarazadas, los niños y los adolescentes, no existiendo programas específicos para la población adulta. En el decreto 465/008 fue definida la Canasta de prestaciones de salud, de acuerdo a lo previsto en el Art. 45 de la ley del SNIS. El capítulo 5 corresponde a la Salud Bucal y describe la normativa vigente y la definición de tipología de consultas odontológicas y la definición taxativa de las prestaciones (2). Es en este contexto, y debido a la inexistencia de información epidemiológica en salud bucal referida a la población joven y adulta, que adquiere relevancia la realización de un relevamiento epidemiológico durante los años 2010-2011 en población joven y adulta en Uruguay. Se trata del primer estudio realizado en el país con estas características basado en la metodología propuesta por la Organización Mundial de la Salud OMS (3) con algunas modificaciones en el diseño de la muestra, llevado adelante por la Facultad de Odontología de la UdelaR, con el auspicio del Ministerio de Salud Pública.
Es de importancia mencionar que fue la Facultad quién tuvo la iniciativa y responsabilidad de conducir el relevamiento (el propio manual para Encuestas Básicas, en su primer capítulo refiere a la responsabilidad de la autoridad sanitaria o en su defecto de la academia en la realización de este tipo de estudios). Por ello la organización del trabajo y los aspectos operativos, pueden diferir en parte con los desarrollados por otros países donde son los ministerios que llevan adelante esta tarea.
El objetivo del presente artículo es presentar los aspectos metodológicos desarrollados en el relevamiento detallando los criterios utilizados en el diseño de la muestra así como la forma de recoger la información clínica y socio-demográfica. El análisis particular de los datos y resultados que cada condición relevada se realiza en los artículos subsiguientes del presente número.
Métodos
El relevamiento epidemiológico debió considerar 2 características del Uruguay: la concentración de la población en el sur donde se encuentra su capital (departamento de Montevideo) donde viven la mitad de los uruguayos y el hecho de que todas las redes viales se abren en abanico desde Montevideo hacia los otros 18 departamentos que conforman su estructura administrativa y que se denominan genéricamente “el interior del país”. Estas características demográficas, administrativas y de comunicación condicionaron fuertemente la organización y operativa del relevamiento realizado.
Se trata de un estudio poblacional a nivel nacional, realizado en los domicilios, representativo de la población joven y adulta urbana de todos los departamentos del país con un muestreo en 2 fases, estratificado, trabajándose con dos muestras independientes, por un lado los departamentos del interior y por el otro Montevideo, la capital del país.
Siendo el presente, el primer estudio a nivel nacional en la población joven y adulta conducido por la Facultad de Odontología los examinadores fueron en su mayoría, docentes de la Facultad, el diseño de la muestra lo realizó el Servicio de Epidemiología de la Cátedra de Odontología Social en colaboración con el Instituto de Estadística de la Facultad de Ciencias Económicas y el sorteo de la muestra estuvo a cargo del Instituto Nacional de Estadística (INE).
Se recogió información sobre los principales problemas de salud bucal y necesidades de tratamiento en los grupos de edad de 15-24(E1), 35-44(E2) y 65-74(E3), a través de un examen bucal, utilizando los criterios de la OMS (3).
Se aplicó un cuestionario sobre la condición socio-económica; hábitos y factores de riesgo (hábitos de fumar, consumo de alcohol, ingesta de frutas y verduras); utilización de servicios de salud y autopercepción de salud (ver formulario de recolección de datos en la pagina 21).
Diseño, selección y calibración de la muestra
Grupos de Edad.
En función de los recursos humanos y materiales disponibles, se decidió seleccionar los tramos de edad que figuran a continuación.
15-24. La edad recomendada por la OMS para relevar la situación epidemiológica en
salud bucal de los jóvenes es de 15 y de18 años. Dado que en el Uruguay el Instituto Nacional de Estadística trabaja en la Encuesta Continua de Hogares (nuestro marco muestral) con la edad de 15 a 24 años, se adoptó esta franja. El criterio de utilizar franja de edad en lugar de edad índice es similar al utilizado en Brasil (tramo de 15-19 años) en sus relevamientos.
35-44. Permite conocer no solo el estado de salud de los adultos, sobre todo con respecto a Caries y Paradenciopatías sino también los efectos generales de los tratamientos recibidos hasta el momento, tratándose de la franja de edad recomendada por la OMS permitiendo comparaciones internacionales.
65-74. Valen las mismas consideraciones que en el grupo de edad anterior. Cobra relevancia en el caso de una población como la uruguaya que presenta una de las más altas proporciones de adultos mayores de Latinoamérica (4,5).
La edad de los 12 años no fue seleccionada ya que en forma paralela se desarrolló en nuestro país un relevamiento nacional en escolares de 12 años, cuyos resultados serán publicados a la brevedad (6).
En lugar de considerar los lineamientos generales propuestos por la OMS (3) para encuestas poblacionales, se utilizó un diseño muestral complejo en 2 fases.
En la primera fase se usó como marco muestral el conjunto de personas de los 3 tramos de edad que se consignan en la tabla 1, pertenecientes a localidades de 20.000 o más habitantes visitadas en la Encuesta Continua de Hogares (ECH) para los meses de febrero - abril de 2010 (7).La ECH es una encuesta nacional que considera nueve zonas de carácter geográfico y socioeconómico, y está basada en un diseño muestral estratificado por conglomerados polietápico. En la primera etapa las Unidades Primarias de Muestreo (UPM) son las secciones censales y en la segunda etapa las Unidades Secundarias de Muestreo (USM) son los hogares.
Se establecieron 6 dominios de estimación que surgieron de cruzar los grupos de edad definidos y caracterizados por la OMS, con 2 regiones (Montevideo e Interior) tal como se consigna en la Tabla 1. En la segunda fase se hace una muestra del total de personas consideradas en la primera fase para llegar al total requerido.
Los tamaños de muestra calculados para la segunda fase son los que se presentan en la Tabla 2.
Con esos tamaños de muestra por dominio no fue necesario hacer muestreo para el tramo etario (E1); para los tramos de edad (E2) y (E3) se debió submuestrear ya que se tenía casi el doble de personas seleccionables. El submuestreo (E2) y (E3) fue a través de muestreo aleatorio simple (en forma independiente para cada dominio).
El cálculo del tamaño muestral se realizó usando el simulador de cálculos muestrales realizado por “STEPwise approach to chronic disease risk factor surveillance (STEPS)” de la OMS, para lo cual fue necesario conocer las prevalencias a medir, la precisión deseada, niveles de confianza y el efecto diseño (deff) (8).
Para considerar las prevalencias, se utilizó como referencia el relevamiento nacional de salud bucal de Brasil del año 2003 (9). Se consideró que las patologías más prevalentes tanto en Uruguay como en Brasil en adultos eran la caries dental y las paradenciopatías.
Para cada tramo de edad se utilizaron dichas patologías para definir el tamaño de la muestra.
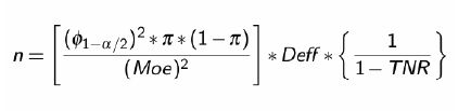
En el tramo de 15 a 19 años se utilizó como referencia las paradenciopatías (o sea 54%). En las franjas de 35-44 y 65-74 años se utilizó la caries (los porcentajes de personas sanas fueron los mismos en las edades antes mencionadas de 0.52%. La formula para el calculo del tamaño muestral es la siguiente:
donde Moe es el margen de error deseado, deff es el efecto diseño (que equivale al factor de inflación de varianza por trabajar con muestro complejo en comparación al Muestreo aleatorio simple (MAS), TNR es la tasa de no respuesta esperada, л es la prevalencia a ser estimada y Φ es el cuantil (1-α/2) de una curva normal (10).
Teniendo en cuenta los diferentes valores de prevalencia, los cálculos finales de los tamaños de muestra nij en cada dominio resultan de considerar a su vez un efecto de diseño de 1.5 y una tasa de no respuesta del 20% (11, 12, 13)
Selección de la muestra
El sorteo de la muestra, fue realizado por el Instituto Nacional de Estadística (INE), el que proporcionó los expansores para la muestra del Interior y para la muestra de Montevideo. Esos expansores fueron calculados por el equipo de muestreo del INE y consideraba los pesos muestrales originales correspondientes a la ECH (fase 1) y los pesos muestrales que se produjeron por estar trabajando con una muestra de la Encuesta ECH (fase 2).
Montevideo, tuvo un diseño muestral consecuencia de la re-valoración de los recursos humanos y materiales disponibles en el año 2011. Se realizó un submuestreo considerando una reducción del 50 %. Para eso la muestra de Montevideo original se usó como marco para el submuestreo, ordenando las personas por edad y sexo originalmente seleccionadas. Se generó una submuestra de 750 personas mediante muestreo sistemático. Lo anterior permitirá conocer, en el caso de la capital tendencias en cuanto a las patologías relevadas.
Se relevaron personas sorteadas de las poblaciones de quince ciudades: Artigas, Canelones, Ciudad de la Costa, La Paz, Las Piedras, Colonia, Florida, Maldonado, San Carlos, Montevideo, Paysandú, Rivera, San José; Salto y Tacuarembó pertenecientes a once departamentos de Uruguay.
No existió reemplazo de domicilios y se volvió a cada domicilio hasta 3 veces.
En los casos en que no se encontró a la persona buscada por ejemplo: 1) cuando el domicilio no tenía número, 2) cuando la persona se había mudado y 3) cuando la casa estaba deshabitada, se aplicó un algoritmo de sustitución. En el único caso en que no se aplicó la sustitución fue cuando la persona era fallecida.
El procedimiento de sustitución era: “pararse en el punto más noroeste de la manzana y caminar en sentido horario contando el número de casas desde ese punto (casa 1) hasta encontrar una casa con una persona de la edad y sexo requerido. Se anotaba el número de casa de la secuencia donde finalmente se hizo el examen y el número de integrantes de ese hogar, edad y sexo.
Si al final de recorrer toda la manzana no hubiéramos encontrado una casa con la persona de la edad y sexo requerido, se daba prioridad al criterio de edad y se escogía una persona de sexo opuesto al inicialmente definido.
En algunas oportunidades en las diferentes casas se encontraron varias personas con estas condiciones. Entre estas últimas elegimos al azar una para encuestar. Por otra parte si la persona a censar se encontraba en otro departamento durante los fines de semana que era el momento en que se realizaba la a encuesta, se anotó la situación. Finalmente figuraba en el instructivo para el encuestador que frente a cualquier situación no prevista se informara al responsable del proyecto.
Calibración de la muestra
La muestra finalmente relevada debe ser considerada en forma separada para Montevideo e interior para el análisis de la cobertura y la calibración (proceso por el cual se ajustan las variables de la muestra a valores poblacionales de referencia).
Para el caso de Montevideo teniendo en cuenta la experiencia de trabajo en el Interior que fue por donde se comenzó el relevamiento, se encuestó la mitad del tamaño muestral original. La forma de seleccionar la submuestra fue mediante muestreo sistemático, habiendo previamente ordenado la muestra original por sexo, edad y por ubicación geográfica de la persona dentro de Montevideo, usando para eso una variable compuesta que integraba la sección y el segmento censal. El criterio seguido con esta opción era poder asegurarse que los 3 dominios de edad en Montevideo no quedasen muy desbalanceados y a su vez se pudiese relevar una gran casuística “al barrer” de todas las secciones censales consideradas. De esta manera se podía recoger a escala reducida la estructura de datos que existe en la muestra original vinculada a la distribución espacial de las personas.
Para la calibración de la muestra del interior se manejaron 2 aspectos: la tasa de respuesta producida (tabla 3) y por otro lado el desbalance para algunas variables demográficas que se consideraron claves, como edad y sexo por departamento.
Se construyó 1 sistema de calibrado mediante postestratificación, para lo cual se usaron como totales poblacionales los que se calculaban expandiendo los totales en el marco muestral de la fase 1, utilizando el programa R y las herramientas derivadas del mismo para este fin, de acuerdo a http://www.R-project.org/ (14, 15,16,17, 18).
De esta manera se tiene un nuevo sistema de pesos muestrales que reproducen los totales por sexo y edad con varianza 0.
En el Gráfico 1 y 2 se pueden ver como es la relación entre los pesos originales y los pesos calibrados mediante post-estratificación. En el grafico por edad los colores representan: Negro (E1), Rojo (E2), Verde (E3).
En el Gráfico 2 (según sexo) el color negro representa las mujeres y el rojo a los hombres mostrando entonces que estos últimos son los que tienen una modificación de los pesos, los que se incrementan al haber quedado subrepresentados en la muestra del interior.
Captura de la Información
Para la captura de la información se usaron cuestionarios en papel, donde se registraba el examen clínico y la información epidemiológica, consignadas por el registrador. Posteriormente el volcado de la información a medio electrónico se hizo mediante digitación, usando el sistema epidata (www.epidata.dk) programa de dominio público que permite hacer verificación y validación de la información en tiempo real. Para eso se programaron 2 tablas de datos con diccionarios de control de rangos, enlazadas entre sí a través de campo clave.
Condiciones Relevadas
I) Examen clínico
Las condiciones de salud bucal observadas por los examinadores fueron lesiones de mucosa y pérdida dentaria (en los 3 grupos de edad); condición periodontal: sangrado, bolsa y sarro (en todos los grupos de edad) y pérdida de inserción (35-44 y 65-74 años). La caries dental en corona (en todos los grupos) y caries de raíz (en los grupos de 35-44 y 65-74 años). Las maloclusiones fueron relevadas solamente en el grupo de edad de 15-24 años.
Una vez en el hogar del encuestado, para el examen clínico, se siguió la secuencia de la historia clínica. Dicha historia clínica (pág. 22) fue diseñada especialmente por el equipo de investigación a partir de la modificación de la utilizada en el relevamiento de Brasil (19).
Se comenzaba examinando el “uso y necesidad de prótesis” en el maxilar superior e inferior. Luego se continuaba con el examen de mucosa (previo al retiro de la prótesis), comenzando desde continente externo hacia continente interno. A continuación se realizaba el examen periodontal, como figura en la ficha clínica. Luego se realizaba el examen oclusal siguiendo el orden del mismo. Por último se realizaba el examen de la dentición comenzando por la pieza 18 y siguiendo la secuencia 28, 38 y 48, utilizando la sonda recomendada por la OMS, sonda CPI (sonda periodontal 11.5 B).
Las necesidades de tratamiento se evaluaron siguiendo los criterios propuestos por el Manual para encuestas básicas de la OMS (3).
Más detalles sobre los códigos, criterios y técnicas de aplicación de los índices pueden consultarse en el manual para examinadores del proyecto SBBrasil2010 (19) ya que en el entrenamiento de los examinadores uruguayos colaboró un experto de Brasil y el material teórico utilizado fue el de la OMS (1997).
I.1 Examen de cada condición y sus particularidades
Lesiones de mucosa
El examen se realizó siguiendo los criterios sugeridos por el Manual para encuestas básicas de la OMS de 1997. Se puso especial interés en las lesiones pre-cancerosas.
Se utilizó una técnica de iluminación mediante un fronto lux de espectro de luz blanco
azul. El instrumental consistió en un espejo para retraer los tejidos y la sonda periodontal antes mencionada. Las lesiones se topografiaron en: borde bermellón, comisuras, labios, surcos, mucosa bucal, piso de boca, lengua, paladar duro/blando, rebordes alveolares/encía. El diagnóstico de leucoplasia se confirmó por biopsia.
Condición Periodontal.
Se incluyeron las variables correspondientes al Índice Periodontal Comunitario CPI propuesto por la OMS, mediante el cual se divide la boca en sextantes y se examinan los dientes índice indicados.
Se incorporaron las modificaciones introducidas por el “Projecto SBBrasil 2010” (19, 20) por lo que se consiguió evaluar por separado la prevalencia de sangrado, sarro y bolsa, y no sólo la peor situación del sextante como proponía originalmente el índice CPI. Se valoró asimismo la pérdida de inserción periodontal (CAL). Por detalles sobre esta condición ver el artículo específico sobre la misma titulado “Enfermedad periodontal en la población joven y adulta uruguaya del interior del país. Relevamiento Nacional 2010-2011“(21).
Maloclusiones
Se utilizó el índice estético dental (DAI) que registra no sólo problemas de oclusión sino de estética y da idea en su conjunto de las necesidades de tratamiento, relevándose las edades de 15-24 años (3).
Se valoraron: dientes ausentes, apiñamiento en el sector anterior, espacio en el sector anterior, diastemas, máxima irregularidad en el maxilar (como piezas extruídas a vestibular), máxima irregularidad en la mandíbula, overjet, overbite, mordida abierta y relación antero-posterior de los molares. Debido a que este índice demostró tener dificultades en cuanto a su sensibilidad para captar algunos problemas de maloclusiones (22) como la mordida cruzada, mordida abierta posterior y/o mordida profunda, las que tienen importancia en el diagnóstico y necesidades de tratamiento, estas condiciones fueron incorporadas en el relevamiento. Por detalles sobre esta patología ver el artículo específico sobre la misma (23).
Caries Dental
Se utilizó el índice de dientes cariados, perdidos y obturados (CPOD) recomendado por la OMS (1997) que aunque tiene ciertas limitaciones, continúa siendo el indicador de elección para los relevamientos epidemiológicos poblacionales para medir historia y presente de la enfermedad y sus secuelas. Se utilizó el criterio de lesión cavitada propuesto por la OMS, el que combinado con la valoración de las necesidades de tratamiento permite identificar las verdaderas necesidades de tratamiento y las lesiones incipientes. Por detalles sobre esta patología ver el artículo específico sobre la misma (24).
Pérdida Dentaria
Es de interés cuando se maneja en conjunto con las necesidades de prótesis para poder planificar la atención en función del análisis de las necesidades existentes. Se calcula a partir del componente perdido del CPO mediante los códigos referidos a pérdida por caries u problemas periodontales. En breve se publicará el artículo correspondiente a esta temática.
I.2 Reporte de cada condición y cálculo su prevalencia
Caries:
Se calculó el CPOD, el SIC y la prevalencia de Caries.
El CPOD se calculó de la siguiente forma: número de dientes con caries, obturados y perdidos, como lo recomienda la OMS: considerando C, los códigos correspondientes a lesión de caries: (lesión cavitada: 1) y a diente obturado y cariado (código 2) para todas las edades; P se correspondió con el código 4 (diente perdido por caries) para todas las edades y en mayores de 35 años se agrega el código 5 (diente perdido por otra razón); para el componente O, se consideró el código 3 (diente obturado sano). También se calculó el Índice Significativo de Caries (SIC) que corresponde al CPOD que resume el estado del tercio de la población más afectado por esta patología.
Para la prevalencia de caries se usó el índice de Knutson, individualizando la proporción de sujetos libres de caries (individuos con CPO igual a cero).
Paradenciopatías
Se calculó el índice CPI que toma en cuenta la condición (de sano, sangrado, sarro, bolsa incipiente y bolsa profunda) del peor sextante para clasificar a las personas.
Además se presentó la prevalencia de cada condición.
Por otro lado se presenta el promedio de sextantes afectados por cada condición, obteniendo así una idea de la gravedad de cada patología. Como el número de sextantes presentes era muy variable también se presenta el porcentaje promedio de sextantes afectados con cada condición. El equipo de investigación entiende que de esta forma se logra una mayor validez en la caracterización de la población.
Se consideró un “caso” de enfermedad periodontal cuando el individuo tenía una bolsa mayor a 4mm y una pérdida de inserción periodontal (CAL) mayor a 3mm. en el mismo individuo.
Lesiones de mucosa
Las lesiones de mucosa se presentan expresadas en porcentajes para la tipología y topografía de cada lesión analizada (25).
Maloclusiones
Se presenta la prevalencia de cada condición incluida en el DAI y la distribución de las
personas en las tres categorías del indicador resultantes del peso especifico atribuido a cada una de ellas por edad y por sexo. Por detalles sobre el análisis de las maloclusiones en jóvenes de 15-24 consultar el artículo “Prevalencia de maloclusiones en adolescentes y adultos jóvenes del interior del Uruguay en el Relevamiento Nacional de Salud Bucal 2010-2012.(23).
II) Cuestionario sobre condiciones socioeconómicas, factores de riesgo, uso de servicios de salud, y auto percepción en salud bucal
Previo a la realización del examen bucal en el domicilio, se aplicó un cuestionario a las personas seleccionadas de la muestra.
El cuestionario estuvo formado por seis módulos de preguntas, al que fue agregado un séptimo modulo para las personas relevadas en la ciudad de Montevideo.
Los módulos básicos refieren a: a) datos personales y demográficos, b) características socioeconómicas, c) atención a la salud general y bucal, d) hábitos y factores de riesgo común, e) enfermedades generales y f ) salud bucal.
El cuestionario se aplicaba previo al análisis clínico por parte del examinador; se trató de un cuestionario cerrado, con respuestas preestablecidas ya escritas en el formato papel que eran trasladadas al formulario por parte del registrador.
Los datos personales y demográficos permitieron caracterizar a los individuos en relación a su edad, sexo y ubicación geográfica en el país.
El bloque de datos socioeconómicos está integrado por preguntas que forman parte del “INSE” (Índice Socio Económico) reducido. El INSE es un indicador validado por la Facultad de Ciencias Sociales de la Universidad de la República (Uruguay) (26) que en su versión reducida incluye 9 dimensiones referidas a características de la vivienda, propiedad de bienes patrimoniales, acceso a servicios y equipamiento del hogar. Las variables recogidas fueron: ocupación del jefe del hogar (1) Nivel Educativo: al menos una persona con educación terciaria (2), cantidad de preceptores de ingresos (3), Hogar: características de la vivienda, servicios y bienes: Servicio doméstico en el hogar (4) heladera con freezer (5), Tv color (6), Automóvil (7), tarjetas de crédito internacional (8), número de baños de la vivienda (9).
El índice resultante es por lo tanto una escala numérica ascendente que define los diversos grupos de la población. A través del puntaje cada variable tiene un peso determinado en el índice, siendo las variables que poseen una mayor ponderación, la ocupación del jefe de hogar y la cantidad de perceptores de ingresos que posee el hogar. Una tercera parte de la ponderación surge de cuatro preguntas: ocupación y nivel educativo del jefe y del hogar, y número de preceptores de ingresos (27). Permite estratificar a la población en 7 estratos (alto-alto, alto-medio; medio alto, medio-medio, medio-bajo y bajo-medio y bajo-bajo) que se resumen en 3 grupos alto, medio y bajo (28).
Los módulos de atención a la salud general y bucal, el de factores de riesgo común tomados por el Ministerio de Salud Pública en su relevamiento de factores de riesgo (8) y el de enfermedades generales están formados por preguntas tomadas del Instrumento Steps perteneciente al método Step wise de vigilancia de factores de riesgo de enfermedades crónicas de la OMS (29). Las variables relevadas con respecto a enfermedades generales fueron presencia de hipertensión y diabetes relatada por el encuestado y una segunda pregunta donde se indagaba sobre la confirmación por parte de un profesional de la salud de la patología relatada. Los factores de riesgo relevados corresponden a consumo de tabaco, consumo nocivo de alcohol, consumo de frutas y verduras frescas. En relación a la atención a la salud fueron relevados los lugares en donde los encuestados reciben asistencia médica y odontológica y datos referentes a su última de visita al odontólogo.
Con relación al módulo sobre salud bucal las preguntas incluidas son una traducción de parte de las pertenecientes al módulo complementario “Oral Health ” del Instrumento Steps de la OMS que no fueron incluídas en la 1ª Encuesta Nacional de Factores de Riesgo de Enfermedades Crónicas No Transmisibles (30). Incluye aspectos relacionados a la frecuencia de cepillado, auto percepción del dolor buco dental, molestias causadas por el estado de los dientes y una última pregunta diseñada por el equipo de investigación que pretendía dar cuenta de los motivos que le impedían al encuestado, mantener su boca sana.
En el caso del relevamiento en la capital se incorporó un séptimo módulo que permite la utilización del enfoque del modelo epidemiológico de curso de vida (life course).
Se trata de preguntas referidas a la trayectoria social del individuo, es decir si ha sido un movimiento ascendente o descendente en la escala social o si se ha mantenido en la misma categoría. Se aplicó en la franja de edad de 15 a 24 años.
Las preguntas refirieron a cuál era la percepción del joven de su nivel socioeconómico cuando tenía 6 años y en el momento actual. Una tercera pregunta refirió al nivel educativo de la madre cuando el joven tenía 6 años, la que se tomó como indicador de nivel socioeconómico. (31).
Aspectos Éticos
De acuerdo a la normativa vigente en el país (32) el proyecto de investigación fue presentado y aprobado por el Comité de Ética de Investigación de la Facultad de Odontología.
Durante la ejecución del relevamiento una vez ubicada la vivienda de acuerdo a los datos de la muestra, el equipo de encuestadores se presentaba a las personas que vivían en ella e identificaban a la persona que debían entrevistar.
A partir del diálogo entre las personas y la comprensión de la investigación que se llevaba a cabo, la persona a encuestar decidía o no participar de la investigación. De acceder a ello se solicitaba su firma en un formulario de Consentimiento Informado escrito.
Proceso de estandarización y calibrado
El material teórico para la calibración fue extraído del último relevamiento nacional de salud bucal de Brasil (33).
Trabajaron 6 examinadores y sus respectivos suplentes durante el año 2010. Los examinadores completaron un proceso de capacitación que tuvo 3 fases: a) la primera teórica donde se abordaron aspectos clínicos de las patologías a relevar, donde se contó con la colaboración de docentes expertos en los aspectos clínicos de las condiciones a relevar así como de un docente con conocimientos en epidemiología y salud colectiva (entre los meses de mayo-junio, 10 hs) b) una segunda fase donde se desarrollaron talleres teórico-prácticos donde se debían aplicar los conocimientos recibidos al diagnóstico en slides y modelos de yeso (entre los meses de junio-julio, 10 hs.) y c) una tercera fase, fundamentalmente práctica donde se contó con el asesoramiento de un experto de Brasil que había participado ya como entrenador de examinadores brasileros y donde se realizó el entrenamiento por condición y por grupo de edad durante 3 jornadas de trabajo intensivas (julio, 23 horas). A comienzos del año 2011, se integraron 4 nuevos examinadores y se realizó un proceso de re-calibrado de todo el equipo.
Durante a técnica de calibración se tomó el examinador con mejores valores Kappa intraexaminador, como patrón oro y el resto se comparó con él.
Se calculó el índice Kappa ponderado para cada examinador para cada año del relevamiento, excepto para el DAI del año 2011 donde se midió a través del coeficiente intraclase, considerando las tres categorías del indicador.
En el año 2010, el calibrado interexaminador en las diferentes condiciones fue en CPO: 0.78 a 1, DAI: 0.63 a 0.87 y CPI(bolsa periodontal): 0.6 a 0.1. El calibrado intra-examinador, osciló entre 0.67 y 0.98.
En el año 2011, el recalibrado interexaminador fue en CPO: 0.87 a 0.95, en DAI: 0.7 a 1 y CPI :0.6 a 1. El calibrado intra-operador fue: CPO: 08 a 1, DAI: 0.93, variando entre 0.6 y 1 ; y CPI (bolsa periodontal): 0.6 a 1.
Trabajo de campo
En base a la muestra proporcionada por el INE se prepararon una serie de mapas y hojas de ruta para el control de campo. La base cartográfica asociada a la muestra seleccionada fue armada con la georeferenciación creada por el INE (34) con la cual se pudieron construir mapas con los encuestados ubicados a nivel de las manzanas. La desagregación cartográfica que surge del censo fase 1 2004, tiene la estructura jerárquica: Sección, Segmento, Zona (que equivale en las localidades urbanas a las manzanas). La muestra proporcionada por el INE tenía asociados a esos tres elementos la dirección y número de puerta para cada persona seleccionada, además de contar con el ordinal del hogar dentro de la manzana (zona censal) para ubicar la persona cuando la dirección no estaba disponible. Como forma de asegurarse la ubicación de la persona se seguía el manual de encuestador elaborado por el INE para la ECH. Para cada localidad se preparaba un planillado con la distribución de la carga de trabajo repartida en equipos formados por un examinador y un registrador.
La distribución espacial de la muestra original y de la muestra finalmente relevada se puede ver en el mapa 1.
Durante el año 2010 y comienzos del año 2011 se completaron las visitas a los 10 departamentos del interior y entre los meses de marzo y diciembre del año 2011 se relevó la capital.
Se trabajaba durante los fines de semana y los exámenes clínicos y aplicación del examen clínico y cuestionario, se realizaban en los domicilios de los encuestados y llevaban un promedio de entre 20 y 30 minutos por encuesta.
Los examinadores concurrían provistos de todos los elementos de bioseguridad (gorro, tapaboca, guantes e instrumental estéril).
Discusión
En relación al muestreo es importante dejar claro que los resultados para las muestras (Montevideo e Interior del país) deben ser considerados de forma separada ya que terminaron teniendo diseños diferentes. La muestra del interior del país corresponde a un diseño complejo en fases, ajustada posteriormente por sexo y edad en base a un proceso de postestratificación completo, lo cual permite considerar aceptable la precisión de los resultados y la validez externa del estudio.
En el caso de la muestra para Montevideo, la cual tuvo una reducción importante, es preciso considerar que la modificación se realizó previa al inicio de la recolección de información (año 2011, segundo año del relevamiento). Ello fue posible gracias a la experiencia adquirida en la primera etapa del relevamiento (interior de país), lo que permitió prever que con los recursos humanos y materiales disponibles no sería posible llegar al tamaño deseado. Se prefirió el rediseño expuesto en la sección de metodología, que al menos permitió por primera vez conocer las tendencias en salud bucal en la capital con valores puntuales confiables.
Referido también a la validez externa del estudio y su relación con los recursos disponibles, es importante no perder de vista que la muestra es representativa para los uruguayos que viven en ciudades de 20.000 o más habitantes en los 3 tramos etarios considerados. Una muestra adecuada para localidades menores (de 5000 a 10000 y localidades de 10000 a 20000) implicaría manejar tamaños muestrales mayores y más cantidad de recursos humanos dada la distribución espacial de esas localidades.
En cuanto a la tasa de respuesta para el interior del país fue promedialmente del 61%. Se observó que en todos los departamentos, excepto en Canelones (departamento correspondiente a la zona metropolitana) se superó el 65%, pudiéndose encontrar un grupo de departamentos con mejores tasas como Tacuarembó y Paysandú (alrededor del 80%), un segundo grupo intermedio: Artigas, Colonia, Florida y Rivera (alrededor del 70%) y un tercer grupo con valores cercanos al 65% como Maldonado, Salto y San José. El proceso de post-calibración permitió ajustar el desbalance producido por la no respuesta por sexo y edad. El estudio de la no respuesta por nivel socioeconómico, se realizará en una segunda etapa tomando en cuenta por un lado el INSE (35) y por el otro los estratos socio demográficos del INE implícitos en el diseño muestral de la primera fase.
Para el caso de la muestra de Montevideo, los resultados permitirán establecer una línea de base que en virtud de la reducción de su tamaño, tal como se explicó en la sección de metodología y en el primer párrafo de la discusión, permitirá mostrar estimaciones puntuales ajustadas por el proceso de calibración pero con una mayor incertidumbre reflejada en intervalos de confianza más amplios.
La medición de la condición socioeconómica que se realizó a través del INSE refleja no la clase social, sino la estratificación socioeconómica que articula dimensiones de carácter “económico” -ocupación del jefe y cantidad de preceptores de ingreso-, “educativo” –nivel de educación del jefe y clima educativo del hogar- y “de consumo” –equipamiento del hogar y características de la vivienda. La construcción del INSE para Montevideo, se basó en la metodología del sistema de puntaje a partir de un modelo econométrico de predicción del ingreso del hogar, y el establecimiento de puntos de corte que definen los límites de cada estrato de acuerdo a un análisis de cluster. Se trata de una metodología validada para la clasificación de los hogares según su capacidad de consumo y gasto, que resulta eficiente y eficaz para los estudios de mercado y opinión pública, y que no utiliza la medición del ingreso del hogar por el difícil acceso y las distorsiones de las respuestas de los encuestados que pueden ocurrir en relación a esta pregunta.
En cuanto a las variables clínicas la utilización de un formulario basado en el Manual de Encuestas Básicas y el uso de preguntas estandarizadas y protocolizadas basadas en el Manual de Steps de la OMS (que incluye variables de atención a la salud general y bucal, hábitos y factores de riesgo de las enfermedades generales, enfermedades generales y percepción de salud bucal), permiten la comparación de los resultados con los obtenidos en otros países miembros de la OMS, entre ellos Uruguay.
La inclusión del modulo de factores de riesgo y enfermedades generales podrá permitir el análisis de los datos de salud bucal desde la conceptualización propuesta por Sheiham y Watt del enfoque de riesgo común para las enfermedades orales y las enfermedades crónicas mas prevalentes. (36).
Conclusiones
En el presente artículo se ha presentado la metodología empleada en el “Primer relevamiento nacional de salud bucal, en población joven y adulta uruguaya 2010-2011”. En función de la precisión y tasa de respuesta obtenida para el interior del país, el relevamiento es una herramienta epidemiológica basal de valor para realizar comparaciones con otros estudios, para el diseño de una estrategia de vigilancia, así como para contribuir en la mejora del modelo de atención a la salud bucal.
Los resultados correspondientes a Montevideo (capital), cuya precisión es limitada, permitirán ajustar el diseño para futuros relevamientos.
Se impulsa de esta forma, con el relevamiento, la colocación de la Odontología en la agenda sanitaria nacional.
Referencias bibliográficas
1. Uruguay. Poder Legislativo. Ley Nº 18.211. Sistema Nacional Integrado de Salud. Publicada D.O. 13 dic/007 - Nº 27384 .[en línea] [citado 30/12/2012].Disponible en: http://www.parlamento.gub.uy/leyes/AccesoTextoLey.asp?Ley=18211&Anchor=
2. Uruguay. Ministerio de Salud Pública. Catálogo de prestaciones. Anexo II. En: Decreto No. 001-3281/2008 CM/568 (Oct 3, 2008). Disponible en: http://www.msp.gub.uy/ucjunasa_2227_1.html. [Acceso 30 abril 2013]
3. Organización Mundial de la Salud Encuestas de salud bucodental: métodos básicos. 4ed. Ginebra: OMS, 1997.[en línea] [citado 30/12/2012]. Disponible en http://whqlibdoc.who.int/publications/1997/9243544934_spa.pdf
4. Del Popolo F. Características sociodemográficas y socioeconómicas de las personas de edad en América Latina. Santiago de Chile: CEPAL, 2001. 57p.
5. Uruguay. Instituto Nacional de Estadística. Indicadores Sociodemográficos .[en línea] [citado 27/04/2013]. Disponible en:
http://www.ine.gub.uy/socio-demograficos/demograficos2008.asp
6. Angulo M, Bianco P.Relevamiento y análisis de caries, gingivitis, fluorosis y factor socio económico en niños escolarizados de 12 años de la ROU.[Proyecto en etapa de redacción]
7. Uruguay. Instituto Nacional de Estadística. Encuesta continua de hogares: principales resultados 2010. [Citado: 31/12/2012]. Disponible en: http://www.ine.gub.uy/biblioteca/Encuesta%20Continua%20de%20Hogares/Publicaci%C3%B3n%20Principales%20Resultados%202010.pdf
8. Uruguay. Ministerio de Salud Pública. División Epidemiología. 1ª Encuesta Nacional de Factores de Riesgo de Enfermedades Crónicas No Transmisibles. [en línea] Montevideo: MSP, 2009. [citado Disponible en:
http://www.msp.gub.uy/ucepidemiologia_5551_1.html
9. Brasil. Ministério da Saúde. Secretaria de Atenção à Saúde Departamento de Atenção Básica. Condições de Saúde Bucal da População Brasileira 2002-2003 Resultados Principais.– DF 2005. [en línea] [Citado: 27/04/2013]. Disponible en:
http://dtr2001.saude.gov.br/editora/produtos/livros/pdf/05_0053_M.pdf
10. Hervada Vidal X, BarbeitoNaveira G, Santiago Pérez MI, MujicaLengua OJ, VázquezFernández E. Manual de ayuda de Epidat 4.0. [en línea] [citado 30/04/2013].Conseller de Sanidade da Xunta de Galicia, 2012 Disponible:
http://www.sergas.es/gal/documentacionTecnica/docs/SaudePublica/Apli/Epidat4/Ayuda%20general.pdf
11. Levy PS &Lemeshow S. Sampling of Populations: methods and applications. New York: John Wiley, 1999
12. Silva Ayçaguer LC. Diseño razonado de muestras y captación de datos para la investigación sanitaria. Madrid: Díaz de Santos, 2000. 356p.
13. Lumley T. Analysis of complex survey samples. J Stat Soft 2004; 9(1): 1-19
14. Kish L. Survey Sampling. New York: John Wiley & Sons, 1965
15. Lumley T. Complex surveys: a guide to analysis using. Hoboken: John Wiley, 2010
16. Lundström S, Särndal CE. Calibration as a Standard Method for Treatment of Nonresponse. J OfficialStat [en línea] 1999; 15(2): 305—327 [citado 30/04/2013]. Disponible en: http://www.jos.nu/Articles/abstract.asp?article=152305
17. Lwanga, S. &Lemeshow, S. Determinación del tamaño de las muestras en los estudios sanitarios. Organización Mundial de la Salud, 1991
18. Särndal, C.-E.; Swensson, B. &Wretman, J. Model Assisted Survey Sampling, Springer. 1992
19. Brasil. Ministério da Saúde. Secretaria de Políticas de Saúde. Departamento de Atenção Básica. Projeto SB2000: condições de saúde bucal da população brasileira no ano 2000:manual do examinador. Brasília: Ministério da Saúde; 2001. [en línea] [Citado: 27/04/2013 50p. Disponible en: http://bvsms.saude.gov.br/bvs/publicacoes/condSB_man_exam.pdf
20. Giuseppe RoncalliI A. et al. Aspectos metodológicos do Projeto SBBrasil 2010 de interesse para inequéritos nacionais de saúde. Cad Saúde Pública Rio de Janeiro [en línea] 28 suppl. 2012. [citado 29/12/2012]7p Disponible en
http://www.scielo.br/scielo.php?pid=S0102-311X2012001300006&script=sci_arttext
21. Lorenzo S., Piccardo V., Alvarez F., Massa F., Alvarez R. Enfermedad Periodontal en la población joven y adulta uruguaya del Interior del país. Un estudio poblacional. Odontoestomatología 2013; supl (in press).
22. Garbin AJÍ, Perin PCP, Garbin CAS. Prevalência de oclusopatias e comparação entre a Classificação de Angle e o Índice de Estética Dentária em escolares do interior do estado de São Paulo–Brasil. Dent Press J Orthod [en línea]. 2010 july-aug; 15(4):94-102. Disponible en: http://www.scielo.br/pdf/dpjo/v15n4/14.pdf
23. Ourens M, Roger KC, Hilgert J, Lorenzo S, Neves F, Alvarez R, Abbeg C. Prevalencia de maloclusiones en adolescentes y adultos jóvenes del interior del uruguay en el relevamiento nacional de salud bucal 2010-2012. Odontoestomatología 2013 supl (in press).
24. Olmos P, Piovesán S, Musto MS, Lorenzo S, Alvarez R. La caries dental, enfermedad oral más prevalente. Primer Estudio poblacional en jóvenes y adultos uruguayos del interior del país..Odontoestomatología 2013 supl 2013 (in press).
25. Casnati B, Alvarez R, Mazza F, Lorenzo S, Angulo M, Carzoglio J. Prevalencia y factores de riesgo de las lesiones de la mucosa oral en la poblaciónurbana del Uruguay. Odontoestomatología 2013 supl 2013 (in press).
26. Universidad de la República. Facultad de Ciencias Sociales. Departamento de Sociología. Validación Nacional del Índice de Nivel Socio Económico para estudios de mercado y opinión pública. [en línea]. Montevideo: Facultad de Sociología, 2006. 100p. [citado 30/04/2012]. Disponible en: http://www.comunicacion.edu.uy/sites/default/files/inse_0.pdf
27. Comisión Agrupada de Nivel Socio Económico. Índice Primario de Nivel Socio Económico para Montevideo. Montevideo: CAINSE, 2004. 92p.
28. Fernández, A., Perera, M. Índice de Niveles Socio–Económicos (INSE). Informe Final. Montevideo: CPA-Ferrere, 2003.
29. OMS. El método stepswise de vigilancia. [en línea]. [citado 30/04/2013] Disponible en: http://www.who.int/chp/steps/es/
30. OMS. El método step wise de la OMS para la vigilancia. Modulo opcional de salud oral. [en línea] [citado 30 04.2013] Disponible en http://www.who.int/chp/steps/riskfactor/modules/es/index.html
31. Peres MA, Barros AJ, Peres KG, Araújo CL, Menezes AM. Life course dental caries determinants and predictors in children aged 12 years: a population-based birth cohort.Community Dent Oral Epidemiol. 2009 Apr;37(2):123-33.
32. Uruguay. Consejo de Ministros. Decreto 379/08 promulgado agosto 2008 publicado 14 de agosto de 2008.
33. Brasil. Ministério da Saúde, Secretaria de Políticas de Saúde. Departamento de atenção básica. Área técnica de saúde bucal. Projeto SB2000 Condições de saúde bucal da população brasileira no ano 2000: manual de calibração de examinadores Brasília - 2001 [en línea] [citado: 27/04/2013] Disponible en: http://189.28.128.100/dab/docs/manuais_sbbrasil/man_cali/man_cali.pdf
34.Uruguay. Instituto Nacional de Estadística. Información Cartográfica [en línea] [Citado: 31/12/2012] Disponible en: http://www.ine.gub.uy/mapas/mapas2011/inicio.html
35.Llambí C, Piñeyro L. INSE – Revisión anual 2012. [en línea] [Citado: 30/04/2013]. Disponible en:
http://www.cinve.org.uy/informesproyectos/inse-revision-anual-2012/
36. Sheiman A, Watt RG. The common risk factor approach: a rational basis for promoting oral health. Community Dent Oral Epid 2000 Dec;28(6):399-406
Aspectos metodológicos
Lorenzo, Susana*,
Álvarez, Ramon**,
Blanco, Silvana***,
Peres, Marco****
* Prof. Agda. MSc.Servicio de Epidemiología y Estadística. Cátedra de Odontología Social. Facultad de Odontología. UdelaR
susana.of.lorenzo@gmail.com
** Profesor Adjunto MSc. Instituto de Estadística. Facultad de Ciencias Económicas. UdelaR
*** Profesora. Cátedra de Odontología Social. Facultad de Odontología, UdelaR
**** Professor of Population Oral Health, Australian Research Centre for Population Oral Health, The University of Adelaide, Adelaide, Australia
Resumen
El objetivo de este artículo es presentar la metodología del “Primer relevamiento nacional en salud bucal en población joven y adulta urbana uruguaya” desarrollado durante los años 2010-2011 a cargo de la Facultad de Odontología de la Universidad de la República. Se contextualiza en la instalación del nuevo Sistema Nacional Integrado de salud (2008) y adquiere relevancia por la inexistencia de datos previos para la población adulta. Métodos Se recogió información sobre: caries, paradenciopatías, lesiones de mucosa, maloclusiones y factores de riesgo socioculturales. Se utilizó la metodología basada en “Relevamientos Nacionales, Métodos Básicos” (OMS, 1997),muestreo en fases, estratificado por conglomerados con dos muestras independientes, una de los departamentos del interior (n= 922 personas divididas en: 418:15-24 años, 229:35-44 años y 275: 65-74 años) y otra de Montevideo, (n=563 personas divididas en: 279: 15-24 años;131: 35-44 años; 153: 65-74 años). Se recogió información en los domicilios, mediante un examen clínico y un cuestionario socio-cultural. La tasa de respuesta fue en promedio de 61%. La reproducibilidad interexaminador (en todas las condiciones relevadas) osciló entre 0.6 y 1 (test Kappa).
Palabras clave: Relevamiento nacional, metodología, adultos, salud bucal
Abstract
The objective of this article is to present the methodology of the first Uruguayan national wide young and adult oral health survey. It was carried out by the School of Dentistry, Universidad de la República, during 2010-2011 in order to provide epidemiological data.The survey was performed in the context of the implementation of the National Health System. Methodological aspects followed those suggested by WHO for oral health surveys (1997). It was adopted a stratified, double phase cluster sampling design. The capital and the rest of the provinces were considered in two independent samples: one for the provinces (n=922: 418:15-24ys. ; 229: 35-44 ys; 275: 65-74ys) and another for the capital (n=563: 279:15-24ys.;131: 35-44ys.; 153: 65-74ys). The survey included a household questionnaire about participants’ risk factors for oral and general health as well as socioeconomic status and dental exams which assessed dental caries, periodontal disease, malocclusions and mucosal lesions. The mean response rate was 61%. Inter-examiner reliability for all conditions varies from 0.6 to 1(Kappa ).
Key words: National survey Oral Helath survey, methodology, adults, oral helath people
Fecha recibido: 14.03.2013 - Fecha aceptado: 03.05.2013
Introducción
La realización de estudios descriptivos epidemiológicos, construidos sobre muestras poblacionales sólidamente seleccionadas, permite contar con información confiable que puede ser utilizada para la asignación de recursos o su redistribución, constituyéndose en una línea de base sobre la cual poder planificar y realizar comparaciones.
El Uruguay, se encuentra en un proceso de consolidación de un Sistema Nacional Integrado de Salud (1) donde se articulan los subsistemas Público y Privado que asegura a la población el acceso universal, equitativo e integral a la salud. La salud bucal es parte de la salud general, por lo cual, se crea el Programa Nacional de Salud Bucal que define como grupos prioritarios a las mujeres embarazadas, los niños y los adolescentes, no existiendo programas específicos para la población adulta. En el decreto 465/008 fue definida la Canasta de prestaciones de salud, de acuerdo a lo previsto en el Art. 45 de la ley del SNIS. El capítulo 5 corresponde a la Salud Bucal y describe la normativa vigente y la definición de tipología de consultas odontológicas y la definición taxativa de las prestaciones (2). Es en este contexto, y debido a la inexistencia de información epidemiológica en salud bucal referida a la población joven y adulta, que adquiere relevancia la realización de un relevamiento epidemiológico durante los años 2010-2011 en población joven y adulta en Uruguay. Se trata del primer estudio realizado en el país con estas características basado en la metodología propuesta por la Organización Mundial de la Salud OMS (3) con algunas modificaciones en el diseño de la muestra, llevado adelante por la Facultad de Odontología de la UdelaR, con el auspicio del Ministerio de Salud Pública.
Es de importancia mencionar que fue la Facultad quién tuvo la iniciativa y responsabilidad de conducir el relevamiento (el propio manual para Encuestas Básicas, en su primer capítulo refiere a la responsabilidad de la autoridad sanitaria o en su defecto de la academia en la realización de este tipo de estudios). Por ello la organización del trabajo y los aspectos operativos, pueden diferir en parte con los desarrollados por otros países donde son los ministerios que llevan adelante esta tarea.
El objetivo del presente artículo es presentar los aspectos metodológicos desarrollados en el relevamiento detallando los criterios utilizados en el diseño de la muestra así como la forma de recoger la información clínica y socio-demográfica. El análisis particular de los datos y resultados que cada condición relevada se realiza en los artículos subsiguientes del presente número.
Métodos
El relevamiento epidemiológico debió considerar 2 características del Uruguay: la concentración de la población en el sur donde se encuentra su capital (departamento de Montevideo) donde viven la mitad de los uruguayos y el hecho de que todas las redes viales se abren en abanico desde Montevideo hacia los otros 18 departamentos que conforman su estructura administrativa y que se denominan genéricamente “el interior del país”. Estas características demográficas, administrativas y de comunicación condicionaron fuertemente la organización y operativa del relevamiento realizado.
Se trata de un estudio poblacional a nivel nacional, realizado en los domicilios, representativo de la población joven y adulta urbana de todos los departamentos del país con un muestreo en 2 fases, estratificado, trabajándose con dos muestras independientes, por un lado los departamentos del interior y por el otro Montevideo, la capital del país.
Siendo el presente, el primer estudio a nivel nacional en la población joven y adulta conducido por la Facultad de Odontología los examinadores fueron en su mayoría, docentes de la Facultad, el diseño de la muestra lo realizó el Servicio de Epidemiología de la Cátedra de Odontología Social en colaboración con el Instituto de Estadística de la Facultad de Ciencias Económicas y el sorteo de la muestra estuvo a cargo del Instituto Nacional de Estadística (INE).
Se recogió información sobre los principales problemas de salud bucal y necesidades de tratamiento en los grupos de edad de 15-24(E1), 35-44(E2) y 65-74(E3), a través de un examen bucal, utilizando los criterios de la OMS (3).
Se aplicó un cuestionario sobre la condición socio-económica; hábitos y factores de riesgo (hábitos de fumar, consumo de alcohol, ingesta de frutas y verduras); utilización de servicios de salud y autopercepción de salud (ver formulario de recolección de datos en la pagina 21).
Diseño, selección y calibración de la muestra
Grupos de Edad.
En función de los recursos humanos y materiales disponibles, se decidió seleccionar los tramos de edad que figuran a continuación.
15-24. La edad recomendada por la OMS para relevar la situación epidemiológica en
salud bucal de los jóvenes es de 15 y de18 años. Dado que en el Uruguay el Instituto Nacional de Estadística trabaja en la Encuesta Continua de Hogares (nuestro marco muestral) con la edad de 15 a 24 años, se adoptó esta franja. El criterio de utilizar franja de edad en lugar de edad índice es similar al utilizado en Brasil (tramo de 15-19 años) en sus relevamientos.
35-44. Permite conocer no solo el estado de salud de los adultos, sobre todo con respecto a Caries y Paradenciopatías sino también los efectos generales de los tratamientos recibidos hasta el momento, tratándose de la franja de edad recomendada por la OMS permitiendo comparaciones internacionales.
65-74. Valen las mismas consideraciones que en el grupo de edad anterior. Cobra relevancia en el caso de una población como la uruguaya que presenta una de las más altas proporciones de adultos mayores de Latinoamérica (4,5).
La edad de los 12 años no fue seleccionada ya que en forma paralela se desarrolló en nuestro país un relevamiento nacional en escolares de 12 años, cuyos resultados serán publicados a la brevedad (6).
En lugar de considerar los lineamientos generales propuestos por la OMS (3) para encuestas poblacionales, se utilizó un diseño muestral complejo en 2 fases.
En la primera fase se usó como marco muestral el conjunto de personas de los 3 tramos de edad que se consignan en la tabla 1, pertenecientes a localidades de 20.000 o más habitantes visitadas en la Encuesta Continua de Hogares (ECH) para los meses de febrero - abril de 2010 (7).La ECH es una encuesta nacional que considera nueve zonas de carácter geográfico y socioeconómico, y está basada en un diseño muestral estratificado por conglomerados polietápico. En la primera etapa las Unidades Primarias de Muestreo (UPM) son las secciones censales y en la segunda etapa las Unidades Secundarias de Muestreo (USM) son los hogares.
Se establecieron 6 dominios de estimación que surgieron de cruzar los grupos de edad definidos y caracterizados por la OMS, con 2 regiones (Montevideo e Interior) tal como se consigna en la Tabla 1. En la segunda fase se hace una muestra del total de personas consideradas en la primera fase para llegar al total requerido.
Los tamaños de muestra calculados para la segunda fase son los que se presentan en la Tabla 2.
Con esos tamaños de muestra por dominio no fue necesario hacer muestreo para el tramo etario (E1); para los tramos de edad (E2) y (E3) se debió submuestrear ya que se tenía casi el doble de personas seleccionables. El submuestreo (E2) y (E3) fue a través de muestreo aleatorio simple (en forma independiente para cada dominio).
El cálculo del tamaño muestral se realizó usando el simulador de cálculos muestrales realizado por “STEPwise approach to chronic disease risk factor surveillance (STEPS)” de la OMS, para lo cual fue necesario conocer las prevalencias a medir, la precisión deseada, niveles de confianza y el efecto diseño (deff) (8).
Para considerar las prevalencias, se utilizó como referencia el relevamiento nacional de salud bucal de Brasil del año 2003 (9). Se consideró que las patologías más prevalentes tanto en Uruguay como en Brasil en adultos eran la caries dental y las paradenciopatías.
Para cada tramo de edad se utilizaron dichas patologías para definir el tamaño de la muestra.
En el tramo de 15 a 19 años se utilizó como referencia las paradenciopatías (o sea 54%). En las franjas de 35-44 y 65-74 años se utilizó la caries (los porcentajes de personas sanas fueron los mismos en las edades antes mencionadas de 0.52%. La formula para el calculo del tamaño muestral es la siguiente:
donde Moe es el margen de error deseado, deff es el efecto diseño (que equivale al factor de inflación de varianza por trabajar con muestro complejo en comparación al Muestreo aleatorio simple (MAS), TNR es la tasa de no respuesta esperada, л es la prevalencia a ser estimada y Φ es el cuantil (1-α/2) de una curva normal (10).
Teniendo en cuenta los diferentes valores de prevalencia, los cálculos finales de los tamaños de muestra nij en cada dominio resultan de considerar a su vez un efecto de diseño de 1.5 y una tasa de no respuesta del 20% (11, 12, 13)
Selección de la muestra
El sorteo de la muestra, fue realizado por el Instituto Nacional de Estadística (INE), el que proporcionó los expansores para la muestra del Interior y para la muestra de Montevideo. Esos expansores fueron calculados por el equipo de muestreo del INE y consideraba los pesos muestrales originales correspondientes a la ECH (fase 1) y los pesos muestrales que se produjeron por estar trabajando con una muestra de la Encuesta ECH (fase 2).
Montevideo, tuvo un diseño muestral consecuencia de la re-valoración de los recursos humanos y materiales disponibles en el año 2011. Se realizó un submuestreo considerando una reducción del 50 %. Para eso la muestra de Montevideo original se usó como marco para el submuestreo, ordenando las personas por edad y sexo originalmente seleccionadas. Se generó una submuestra de 750 personas mediante muestreo sistemático. Lo anterior permitirá conocer, en el caso de la capital tendencias en cuanto a las patologías relevadas.
Se relevaron personas sorteadas de las poblaciones de quince ciudades: Artigas, Canelones, Ciudad de la Costa, La Paz, Las Piedras, Colonia, Florida, Maldonado, San Carlos, Montevideo, Paysandú, Rivera, San José; Salto y Tacuarembó pertenecientes a once departamentos de Uruguay.
No existió reemplazo de domicilios y se volvió a cada domicilio hasta 3 veces.
En los casos en que no se encontró a la persona buscada por ejemplo: 1) cuando el domicilio no tenía número, 2) cuando la persona se había mudado y 3) cuando la casa estaba deshabitada, se aplicó un algoritmo de sustitución. En el único caso en que no se aplicó la sustitución fue cuando la persona era fallecida.
El procedimiento de sustitución era: “pararse en el punto más noroeste de la manzana y caminar en sentido horario contando el número de casas desde ese punto (casa 1) hasta encontrar una casa con una persona de la edad y sexo requerido. Se anotaba el número de casa de la secuencia donde finalmente se hizo el examen y el número de integrantes de ese hogar, edad y sexo.
Si al final de recorrer toda la manzana no hubiéramos encontrado una casa con la persona de la edad y sexo requerido, se daba prioridad al criterio de edad y se escogía una persona de sexo opuesto al inicialmente definido.
En algunas oportunidades en las diferentes casas se encontraron varias personas con estas condiciones. Entre estas últimas elegimos al azar una para encuestar. Por otra parte si la persona a censar se encontraba en otro departamento durante los fines de semana que era el momento en que se realizaba la a encuesta, se anotó la situación. Finalmente figuraba en el instructivo para el encuestador que frente a cualquier situación no prevista se informara al responsable del proyecto.
Calibración de la muestra
La muestra finalmente relevada debe ser considerada en forma separada para Montevideo e interior para el análisis de la cobertura y la calibración (proceso por el cual se ajustan las variables de la muestra a valores poblacionales de referencia).
Para el caso de Montevideo teniendo en cuenta la experiencia de trabajo en el Interior que fue por donde se comenzó el relevamiento, se encuestó la mitad del tamaño muestral original. La forma de seleccionar la submuestra fue mediante muestreo sistemático, habiendo previamente ordenado la muestra original por sexo, edad y por ubicación geográfica de la persona dentro de Montevideo, usando para eso una variable compuesta que integraba la sección y el segmento censal. El criterio seguido con esta opción era poder asegurarse que los 3 dominios de edad en Montevideo no quedasen muy desbalanceados y a su vez se pudiese relevar una gran casuística “al barrer” de todas las secciones censales consideradas. De esta manera se podía recoger a escala reducida la estructura de datos que existe en la muestra original vinculada a la distribución espacial de las personas.
Para la calibración de la muestra del interior se manejaron 2 aspectos: la tasa de respuesta producida (tabla 3) y por otro lado el desbalance para algunas variables demográficas que se consideraron claves, como edad y sexo por departamento.
Se construyó 1 sistema de calibrado mediante postestratificación, para lo cual se usaron como totales poblacionales los que se calculaban expandiendo los totales en el marco muestral de la fase 1, utilizando el programa R y las herramientas derivadas del mismo para este fin, de acuerdo a http://www.R-project.org/ (14, 15,16,17, 18).
De esta manera se tiene un nuevo sistema de pesos muestrales que reproducen los totales por sexo y edad con varianza 0.
En el Gráfico 1 y 2 se pueden ver como es la relación entre los pesos originales y los pesos calibrados mediante post-estratificación. En el grafico por edad los colores representan: Negro (E1), Rojo (E2), Verde (E3).
En el Gráfico 2 (según sexo) el color negro representa las mujeres y el rojo a los hombres mostrando entonces que estos últimos son los que tienen una modificación de los pesos, los que se incrementan al haber quedado subrepresentados en la muestra del interior.
Captura de la Información
Para la captura de la información se usaron cuestionarios en papel, donde se registraba el examen clínico y la información epidemiológica, consignadas por el registrador. Posteriormente el volcado de la información a medio electrónico se hizo mediante digitación, usando el sistema epidata (www.epidata.dk) programa de dominio público que permite hacer verificación y validación de la información en tiempo real. Para eso se programaron 2 tablas de datos con diccionarios de control de rangos, enlazadas entre sí a través de campo clave.
Condiciones Relevadas
I) Examen clínico
Las condiciones de salud bucal observadas por los examinadores fueron lesiones de mucosa y pérdida dentaria (en los 3 grupos de edad); condición periodontal: sangrado, bolsa y sarro (en todos los grupos de edad) y pérdida de inserción (35-44 y 65-74 años). La caries dental en corona (en todos los grupos) y caries de raíz (en los grupos de 35-44 y 65-74 años). Las maloclusiones fueron relevadas solamente en el grupo de edad de 15-24 años.
Una vez en el hogar del encuestado, para el examen clínico, se siguió la secuencia de la historia clínica. Dicha historia clínica (pág. 22) fue diseñada especialmente por el equipo de investigación a partir de la modificación de la utilizada en el relevamiento de Brasil (19).
Se comenzaba examinando el “uso y necesidad de prótesis” en el maxilar superior e inferior. Luego se continuaba con el examen de mucosa (previo al retiro de la prótesis), comenzando desde continente externo hacia continente interno. A continuación se realizaba el examen periodontal, como figura en la ficha clínica. Luego se realizaba el examen oclusal siguiendo el orden del mismo. Por último se realizaba el examen de la dentición comenzando por la pieza 18 y siguiendo la secuencia 28, 38 y 48, utilizando la sonda recomendada por la OMS, sonda CPI (sonda periodontal 11.5 B).
Las necesidades de tratamiento se evaluaron siguiendo los criterios propuestos por el Manual para encuestas básicas de la OMS (3).
Más detalles sobre los códigos, criterios y técnicas de aplicación de los índices pueden consultarse en el manual para examinadores del proyecto SBBrasil2010 (19) ya que en el entrenamiento de los examinadores uruguayos colaboró un experto de Brasil y el material teórico utilizado fue el de la OMS (1997).
I.1 Examen de cada condición y sus particularidades
Lesiones de mucosa
El examen se realizó siguiendo los criterios sugeridos por el Manual para encuestas básicas de la OMS de 1997. Se puso especial interés en las lesiones pre-cancerosas.
Se utilizó una técnica de iluminación mediante un fronto lux de espectro de luz blanco
azul. El instrumental consistió en un espejo para retraer los tejidos y la sonda periodontal antes mencionada. Las lesiones se topografiaron en: borde bermellón, comisuras, labios, surcos, mucosa bucal, piso de boca, lengua, paladar duro/blando, rebordes alveolares/encía. El diagnóstico de leucoplasia se confirmó por biopsia.
Condición Periodontal.
Se incluyeron las variables correspondientes al Índice Periodontal Comunitario CPI propuesto por la OMS, mediante el cual se divide la boca en sextantes y se examinan los dientes índice indicados.
Se incorporaron las modificaciones introducidas por el “Projecto SBBrasil 2010” (19, 20) por lo que se consiguió evaluar por separado la prevalencia de sangrado, sarro y bolsa, y no sólo la peor situación del sextante como proponía originalmente el índice CPI. Se valoró asimismo la pérdida de inserción periodontal (CAL). Por detalles sobre esta condición ver el artículo específico sobre la misma titulado “Enfermedad periodontal en la población joven y adulta uruguaya del interior del país. Relevamiento Nacional 2010-2011“(21).
Maloclusiones
Se utilizó el índice estético dental (DAI) que registra no sólo problemas de oclusión sino de estética y da idea en su conjunto de las necesidades de tratamiento, relevándose las edades de 15-24 años (3).
Se valoraron: dientes ausentes, apiñamiento en el sector anterior, espacio en el sector anterior, diastemas, máxima irregularidad en el maxilar (como piezas extruídas a vestibular), máxima irregularidad en la mandíbula, overjet, overbite, mordida abierta y relación antero-posterior de los molares. Debido a que este índice demostró tener dificultades en cuanto a su sensibilidad para captar algunos problemas de maloclusiones (22) como la mordida cruzada, mordida abierta posterior y/o mordida profunda, las que tienen importancia en el diagnóstico y necesidades de tratamiento, estas condiciones fueron incorporadas en el relevamiento. Por detalles sobre esta patología ver el artículo específico sobre la misma (23).
Caries Dental
Se utilizó el índice de dientes cariados, perdidos y obturados (CPOD) recomendado por la OMS (1997) que aunque tiene ciertas limitaciones, continúa siendo el indicador de elección para los relevamientos epidemiológicos poblacionales para medir historia y presente de la enfermedad y sus secuelas. Se utilizó el criterio de lesión cavitada propuesto por la OMS, el que combinado con la valoración de las necesidades de tratamiento permite identificar las verdaderas necesidades de tratamiento y las lesiones incipientes. Por detalles sobre esta patología ver el artículo específico sobre la misma (24).
Pérdida Dentaria
Es de interés cuando se maneja en conjunto con las necesidades de prótesis para poder planificar la atención en función del análisis de las necesidades existentes. Se calcula a partir del componente perdido del CPO mediante los códigos referidos a pérdida por caries u problemas periodontales. En breve se publicará el artículo correspondiente a esta temática.
I.2 Reporte de cada condición y cálculo su prevalencia
Caries:
Se calculó el CPOD, el SIC y la prevalencia de Caries.
El CPOD se calculó de la siguiente forma: número de dientes con caries, obturados y perdidos, como lo recomienda la OMS: considerando C, los códigos correspondientes a lesión de caries: (lesión cavitada: 1) y a diente obturado y cariado (código 2) para todas las edades; P se correspondió con el código 4 (diente perdido por caries) para todas las edades y en mayores de 35 años se agrega el código 5 (diente perdido por otra razón); para el componente O, se consideró el código 3 (diente obturado sano). También se calculó el Índice Significativo de Caries (SIC) que corresponde al CPOD que resume el estado del tercio de la población más afectado por esta patología.
Para la prevalencia de caries se usó el índice de Knutson, individualizando la proporción de sujetos libres de caries (individuos con CPO igual a cero).
Paradenciopatías
Se calculó el índice CPI que toma en cuenta la condición (de sano, sangrado, sarro, bolsa incipiente y bolsa profunda) del peor sextante para clasificar a las personas.
Además se presentó la prevalencia de cada condición.
Por otro lado se presenta el promedio de sextantes afectados por cada condición, obteniendo así una idea de la gravedad de cada patología. Como el número de sextantes presentes era muy variable también se presenta el porcentaje promedio de sextantes afectados con cada condición. El equipo de investigación entiende que de esta forma se logra una mayor validez en la caracterización de la población.
Se consideró un “caso” de enfermedad periodontal cuando el individuo tenía una bolsa mayor a 4mm y una pérdida de inserción periodontal (CAL) mayor a 3mm. en el mismo individuo.
Lesiones de mucosa
Las lesiones de mucosa se presentan expresadas en porcentajes para la tipología y topografía de cada lesión analizada (25).
Maloclusiones
Se presenta la prevalencia de cada condición incluida en el DAI y la distribución de las
personas en las tres categorías del indicador resultantes del peso especifico atribuido a cada una de ellas por edad y por sexo. Por detalles sobre el análisis de las maloclusiones en jóvenes de 15-24 consultar el artículo “Prevalencia de maloclusiones en adolescentes y adultos jóvenes del interior del Uruguay en el Relevamiento Nacional de Salud Bucal 2010-2012.(23).
II) Cuestionario sobre condiciones socioeconómicas, factores de riesgo, uso de servicios de salud, y auto percepción en salud bucal
Previo a la realización del examen bucal en el domicilio, se aplicó un cuestionario a las personas seleccionadas de la muestra.
El cuestionario estuvo formado por seis módulos de preguntas, al que fue agregado un séptimo modulo para las personas relevadas en la ciudad de Montevideo.
Los módulos básicos refieren a: a) datos personales y demográficos, b) características socioeconómicas, c) atención a la salud general y bucal, d) hábitos y factores de riesgo común, e) enfermedades generales y f ) salud bucal.
El cuestionario se aplicaba previo al análisis clínico por parte del examinador; se trató de un cuestionario cerrado, con respuestas preestablecidas ya escritas en el formato papel que eran trasladadas al formulario por parte del registrador.
Los datos personales y demográficos permitieron caracterizar a los individuos en relación a su edad, sexo y ubicación geográfica en el país.
El bloque de datos socioeconómicos está integrado por preguntas que forman parte del “INSE” (Índice Socio Económico) reducido. El INSE es un indicador validado por la Facultad de Ciencias Sociales de la Universidad de la República (Uruguay) (26) que en su versión reducida incluye 9 dimensiones referidas a características de la vivienda, propiedad de bienes patrimoniales, acceso a servicios y equipamiento del hogar. Las variables recogidas fueron: ocupación del jefe del hogar (1) Nivel Educativo: al menos una persona con educación terciaria (2), cantidad de preceptores de ingresos (3), Hogar: características de la vivienda, servicios y bienes: Servicio doméstico en el hogar (4) heladera con freezer (5), Tv color (6), Automóvil (7), tarjetas de crédito internacional (8), número de baños de la vivienda (9).
El índice resultante es por lo tanto una escala numérica ascendente que define los diversos grupos de la población. A través del puntaje cada variable tiene un peso determinado en el índice, siendo las variables que poseen una mayor ponderación, la ocupación del jefe de hogar y la cantidad de perceptores de ingresos que posee el hogar. Una tercera parte de la ponderación surge de cuatro preguntas: ocupación y nivel educativo del jefe y del hogar, y número de preceptores de ingresos (27). Permite estratificar a la población en 7 estratos (alto-alto, alto-medio; medio alto, medio-medio, medio-bajo y bajo-medio y bajo-bajo) que se resumen en 3 grupos alto, medio y bajo (28).
Los módulos de atención a la salud general y bucal, el de factores de riesgo común tomados por el Ministerio de Salud Pública en su relevamiento de factores de riesgo (8) y el de enfermedades generales están formados por preguntas tomadas del Instrumento Steps perteneciente al método Step wise de vigilancia de factores de riesgo de enfermedades crónicas de la OMS (29). Las variables relevadas con respecto a enfermedades generales fueron presencia de hipertensión y diabetes relatada por el encuestado y una segunda pregunta donde se indagaba sobre la confirmación por parte de un profesional de la salud de la patología relatada. Los factores de riesgo relevados corresponden a consumo de tabaco, consumo nocivo de alcohol, consumo de frutas y verduras frescas. En relación a la atención a la salud fueron relevados los lugares en donde los encuestados reciben asistencia médica y odontológica y datos referentes a su última de visita al odontólogo.
Con relación al módulo sobre salud bucal las preguntas incluidas son una traducción de parte de las pertenecientes al módulo complementario “Oral Health ” del Instrumento Steps de la OMS que no fueron incluídas en la 1ª Encuesta Nacional de Factores de Riesgo de Enfermedades Crónicas No Transmisibles (30). Incluye aspectos relacionados a la frecuencia de cepillado, auto percepción del dolor buco dental, molestias causadas por el estado de los dientes y una última pregunta diseñada por el equipo de investigación que pretendía dar cuenta de los motivos que le impedían al encuestado, mantener su boca sana.
En el caso del relevamiento en la capital se incorporó un séptimo módulo que permite la utilización del enfoque del modelo epidemiológico de curso de vida (life course).
Se trata de preguntas referidas a la trayectoria social del individuo, es decir si ha sido un movimiento ascendente o descendente en la escala social o si se ha mantenido en la misma categoría. Se aplicó en la franja de edad de 15 a 24 años.
Las preguntas refirieron a cuál era la percepción del joven de su nivel socioeconómico cuando tenía 6 años y en el momento actual. Una tercera pregunta refirió al nivel educativo de la madre cuando el joven tenía 6 años, la que se tomó como indicador de nivel socioeconómico. (31).
Aspectos Éticos
De acuerdo a la normativa vigente en el país (32) el proyecto de investigación fue presentado y aprobado por el Comité de Ética de Investigación de la Facultad de Odontología.
Durante la ejecución del relevamiento una vez ubicada la vivienda de acuerdo a los datos de la muestra, el equipo de encuestadores se presentaba a las personas que vivían en ella e identificaban a la persona que debían entrevistar.
A partir del diálogo entre las personas y la comprensión de la investigación que se llevaba a cabo, la persona a encuestar decidía o no participar de la investigación. De acceder a ello se solicitaba su firma en un formulario de Consentimiento Informado escrito.
Proceso de estandarización y calibrado
El material teórico para la calibración fue extraído del último relevamiento nacional de salud bucal de Brasil (33).
Trabajaron 6 examinadores y sus respectivos suplentes durante el año 2010. Los examinadores completaron un proceso de capacitación que tuvo 3 fases: a) la primera teórica donde se abordaron aspectos clínicos de las patologías a relevar, donde se contó con la colaboración de docentes expertos en los aspectos clínicos de las condiciones a relevar así como de un docente con conocimientos en epidemiología y salud colectiva (entre los meses de mayo-junio, 10 hs) b) una segunda fase donde se desarrollaron talleres teórico-prácticos donde se debían aplicar los conocimientos recibidos al diagnóstico en slides y modelos de yeso (entre los meses de junio-julio, 10 hs.) y c) una tercera fase, fundamentalmente práctica donde se contó con el asesoramiento de un experto de Brasil que había participado ya como entrenador de examinadores brasileros y donde se realizó el entrenamiento por condición y por grupo de edad durante 3 jornadas de trabajo intensivas (julio, 23 horas). A comienzos del año 2011, se integraron 4 nuevos examinadores y se realizó un proceso de re-calibrado de todo el equipo.
Durante a técnica de calibración se tomó el examinador con mejores valores Kappa intraexaminador, como patrón oro y el resto se comparó con él.
Se calculó el índice Kappa ponderado para cada examinador para cada año del relevamiento, excepto para el DAI del año 2011 donde se midió a través del coeficiente intraclase, considerando las tres categorías del indicador.
En el año 2010, el calibrado interexaminador en las diferentes condiciones fue en CPO: 0.78 a 1, DAI: 0.63 a 0.87 y CPI(bolsa periodontal): 0.6 a 0.1. El calibrado intra-examinador, osciló entre 0.67 y 0.98.
En el año 2011, el recalibrado interexaminador fue en CPO: 0.87 a 0.95, en DAI: 0.7 a 1 y CPI :0.6 a 1. El calibrado intra-operador fue: CPO: 08 a 1, DAI: 0.93, variando entre 0.6 y 1 ; y CPI (bolsa periodontal): 0.6 a 1.
Trabajo de campo
En base a la muestra proporcionada por el INE se prepararon una serie de mapas y hojas de ruta para el control de campo. La base cartográfica asociada a la muestra seleccionada fue armada con la georeferenciación creada por el INE (34) con la cual se pudieron construir mapas con los encuestados ubicados a nivel de las manzanas. La desagregación cartográfica que surge del censo fase 1 2004, tiene la estructura jerárquica: Sección, Segmento, Zona (que equivale en las localidades urbanas a las manzanas). La muestra proporcionada por el INE tenía asociados a esos tres elementos la dirección y número de puerta para cada persona seleccionada, además de contar con el ordinal del hogar dentro de la manzana (zona censal) para ubicar la persona cuando la dirección no estaba disponible. Como forma de asegurarse la ubicación de la persona se seguía el manual de encuestador elaborado por el INE para la ECH. Para cada localidad se preparaba un planillado con la distribución de la carga de trabajo repartida en equipos formados por un examinador y un registrador.
La distribución espacial de la muestra original y de la muestra finalmente relevada se puede ver en el mapa 1.
Durante el año 2010 y comienzos del año 2011 se completaron las visitas a los 10 departamentos del interior y entre los meses de marzo y diciembre del año 2011 se relevó la capital.
Se trabajaba durante los fines de semana y los exámenes clínicos y aplicación del examen clínico y cuestionario, se realizaban en los domicilios de los encuestados y llevaban un promedio de entre 20 y 30 minutos por encuesta.
Los examinadores concurrían provistos de todos los elementos de bioseguridad (gorro, tapaboca, guantes e instrumental estéril).
Discusión
En relación al muestreo es importante dejar claro que los resultados para las muestras (Montevideo e Interior del país) deben ser considerados de forma separada ya que terminaron teniendo diseños diferentes. La muestra del interior del país corresponde a un diseño complejo en fases, ajustada posteriormente por sexo y edad en base a un proceso de postestratificación completo, lo cual permite considerar aceptable la precisión de los resultados y la validez externa del estudio.
En el caso de la muestra para Montevideo, la cual tuvo una reducción importante, es preciso considerar que la modificación se realizó previa al inicio de la recolección de información (año 2011, segundo año del relevamiento). Ello fue posible gracias a la experiencia adquirida en la primera etapa del relevamiento (interior de país), lo que permitió prever que con los recursos humanos y materiales disponibles no sería posible llegar al tamaño deseado. Se prefirió el rediseño expuesto en la sección de metodología, que al menos permitió por primera vez conocer las tendencias en salud bucal en la capital con valores puntuales confiables.
Referido también a la validez externa del estudio y su relación con los recursos disponibles, es importante no perder de vista que la muestra es representativa para los uruguayos que viven en ciudades de 20.000 o más habitantes en los 3 tramos etarios considerados. Una muestra adecuada para localidades menores (de 5000 a 10000 y localidades de 10000 a 20000) implicaría manejar tamaños muestrales mayores y más cantidad de recursos humanos dada la distribución espacial de esas localidades.
En cuanto a la tasa de respuesta para el interior del país fue promedialmente del 61%. Se observó que en todos los departamentos, excepto en Canelones (departamento correspondiente a la zona metropolitana) se superó el 65%, pudiéndose encontrar un grupo de departamentos con mejores tasas como Tacuarembó y Paysandú (alrededor del 80%), un segundo grupo intermedio: Artigas, Colonia, Florida y Rivera (alrededor del 70%) y un tercer grupo con valores cercanos al 65% como Maldonado, Salto y San José. El proceso de post-calibración permitió ajustar el desbalance producido por la no respuesta por sexo y edad. El estudio de la no respuesta por nivel socioeconómico, se realizará en una segunda etapa tomando en cuenta por un lado el INSE (35) y por el otro los estratos socio demográficos del INE implícitos en el diseño muestral de la primera fase.
Para el caso de la muestra de Montevideo, los resultados permitirán establecer una línea de base que en virtud de la reducción de su tamaño, tal como se explicó en la sección de metodología y en el primer párrafo de la discusión, permitirá mostrar estimaciones puntuales ajustadas por el proceso de calibración pero con una mayor incertidumbre reflejada en intervalos de confianza más amplios.
La medición de la condición socioeconómica que se realizó a través del INSE refleja no la clase social, sino la estratificación socioeconómica que articula dimensiones de carácter “económico” -ocupación del jefe y cantidad de preceptores de ingreso-, “educativo” –nivel de educación del jefe y clima educativo del hogar- y “de consumo” –equipamiento del hogar y características de la vivienda. La construcción del INSE para Montevideo, se basó en la metodología del sistema de puntaje a partir de un modelo econométrico de predicción del ingreso del hogar, y el establecimiento de puntos de corte que definen los límites de cada estrato de acuerdo a un análisis de cluster. Se trata de una metodología validada para la clasificación de los hogares según su capacidad de consumo y gasto, que resulta eficiente y eficaz para los estudios de mercado y opinión pública, y que no utiliza la medición del ingreso del hogar por el difícil acceso y las distorsiones de las respuestas de los encuestados que pueden ocurrir en relación a esta pregunta.
En cuanto a las variables clínicas la utilización de un formulario basado en el Manual de Encuestas Básicas y el uso de preguntas estandarizadas y protocolizadas basadas en el Manual de Steps de la OMS (que incluye variables de atención a la salud general y bucal, hábitos y factores de riesgo de las enfermedades generales, enfermedades generales y percepción de salud bucal), permiten la comparación de los resultados con los obtenidos en otros países miembros de la OMS, entre ellos Uruguay.
La inclusión del modulo de factores de riesgo y enfermedades generales podrá permitir el análisis de los datos de salud bucal desde la conceptualización propuesta por Sheiham y Watt del enfoque de riesgo común para las enfermedades orales y las enfermedades crónicas mas prevalentes. (36).
Conclusiones
En el presente artículo se ha presentado la metodología empleada en el “Primer relevamiento nacional de salud bucal, en población joven y adulta uruguaya 2010-2011”. En función de la precisión y tasa de respuesta obtenida para el interior del país, el relevamiento es una herramienta epidemiológica basal de valor para realizar comparaciones con otros estudios, para el diseño de una estrategia de vigilancia, así como para contribuir en la mejora del modelo de atención a la salud bucal.
Los resultados correspondientes a Montevideo (capital), cuya precisión es limitada, permitirán ajustar el diseño para futuros relevamientos.
Se impulsa de esta forma, con el relevamiento, la colocación de la Odontología en la agenda sanitaria nacional.
Referencias bibliográficas
1. Uruguay. Poder Legislativo. Ley Nº 18.211. Sistema Nacional Integrado de Salud. Publicada D.O. 13 dic/007 - Nº 27384 .[en línea] [citado 30/12/2012].Disponible en: http://www.parlamento.gub.uy/leyes/AccesoTextoLey.asp?Ley=18211&Anchor=
2. Uruguay. Ministerio de Salud Pública. Catálogo de prestaciones. Anexo II. En: Decreto No. 001-3281/2008 CM/568 (Oct 3, 2008). Disponible en: http://www.msp.gub.uy/ucjunasa_2227_1.html. [Acceso 30 abril 2013]
3. Organización Mundial de la Salud Encuestas de salud bucodental: métodos básicos. 4ed. Ginebra: OMS, 1997.[en línea] [citado 30/12/2012]. Disponible en http://whqlibdoc.who.int/publications/1997/9243544934_spa.pdf
4. Del Popolo F. Características sociodemográficas y socioeconómicas de las personas de edad en América Latina. Santiago de Chile: CEPAL, 2001. 57p.
5. Uruguay. Instituto Nacional de Estadística. Indicadores Sociodemográficos .[en línea] [citado 27/04/2013]. Disponible en:
http://www.ine.gub.uy/socio-demograficos/demograficos2008.asp
6. Angulo M, Bianco P.Relevamiento y análisis de caries, gingivitis, fluorosis y factor socio económico en niños escolarizados de 12 años de la ROU.[Proyecto en etapa de redacción]
7. Uruguay. Instituto Nacional de Estadística. Encuesta continua de hogares: principales resultados 2010. [Citado: 31/12/2012]. Disponible en: http://www.ine.gub.uy/biblioteca/Encuesta%20Continua%20de%20Hogares/Publicaci%C3%B3n%20Principales%20Resultados%202010.pdf
8. Uruguay. Ministerio de Salud Pública. División Epidemiología. 1ª Encuesta Nacional de Factores de Riesgo de Enfermedades Crónicas No Transmisibles. [en línea] Montevideo: MSP, 2009. [citado Disponible en:
http://www.msp.gub.uy/ucepidemiologia_5551_1.html
9. Brasil. Ministério da Saúde. Secretaria de Atenção à Saúde Departamento de Atenção Básica. Condições de Saúde Bucal da População Brasileira 2002-2003 Resultados Principais.– DF 2005. [en línea] [Citado: 27/04/2013]. Disponible en:
http://dtr2001.saude.gov.br/editora/produtos/livros/pdf/05_0053_M.pdf
10. Hervada Vidal X, BarbeitoNaveira G, Santiago Pérez MI, MujicaLengua OJ, VázquezFernández E. Manual de ayuda de Epidat 4.0. [en línea] [citado 30/04/2013].Conseller de Sanidade da Xunta de Galicia, 2012 Disponible:
http://www.sergas.es/gal/documentacionTecnica/docs/SaudePublica/Apli/Epidat4/Ayuda%20general.pdf
11. Levy PS &Lemeshow S. Sampling of Populations: methods and applications. New York: John Wiley, 1999
12. Silva Ayçaguer LC. Diseño razonado de muestras y captación de datos para la investigación sanitaria. Madrid: Díaz de Santos, 2000. 356p.
13. Lumley T. Analysis of complex survey samples. J Stat Soft 2004; 9(1): 1-19
14. Kish L. Survey Sampling. New York: John Wiley & Sons, 1965
15. Lumley T. Complex surveys: a guide to analysis using. Hoboken: John Wiley, 2010
16. Lundström S, Särndal CE. Calibration as a Standard Method for Treatment of Nonresponse. J OfficialStat [en línea] 1999; 15(2): 305—327 [citado 30/04/2013]. Disponible en: http://www.jos.nu/Articles/abstract.asp?article=152305
17. Lwanga, S. &Lemeshow, S. Determinación del tamaño de las muestras en los estudios sanitarios. Organización Mundial de la Salud, 1991
18. Särndal, C.-E.; Swensson, B. &Wretman, J. Model Assisted Survey Sampling, Springer. 1992
19. Brasil. Ministério da Saúde. Secretaria de Políticas de Saúde. Departamento de Atenção Básica. Projeto SB2000: condições de saúde bucal da população brasileira no ano 2000:manual do examinador. Brasília: Ministério da Saúde; 2001. [en línea] [Citado: 27/04/2013 50p. Disponible en: http://bvsms.saude.gov.br/bvs/publicacoes/condSB_man_exam.pdf
20. Giuseppe RoncalliI A. et al. Aspectos metodológicos do Projeto SBBrasil 2010 de interesse para inequéritos nacionais de saúde. Cad Saúde Pública Rio de Janeiro [en línea] 28 suppl. 2012. [citado 29/12/2012]7p Disponible en
http://www.scielo.br/scielo.php?pid=S0102-311X2012001300006&script=sci_arttext
21. Lorenzo S., Piccardo V., Alvarez F., Massa F., Alvarez R. Enfermedad Periodontal en la población joven y adulta uruguaya del Interior del país. Un estudio poblacional. Odontoestomatología 2013; supl (in press).
22. Garbin AJÍ, Perin PCP, Garbin CAS. Prevalência de oclusopatias e comparação entre a Classificação de Angle e o Índice de Estética Dentária em escolares do interior do estado de São Paulo–Brasil. Dent Press J Orthod [en línea]. 2010 july-aug; 15(4):94-102. Disponible en: http://www.scielo.br/pdf/dpjo/v15n4/14.pdf
23. Ourens M, Roger KC, Hilgert J, Lorenzo S, Neves F, Alvarez R, Abbeg C. Prevalencia de maloclusiones en adolescentes y adultos jóvenes del interior del uruguay en el relevamiento nacional de salud bucal 2010-2012. Odontoestomatología 2013 supl (in press).
24. Olmos P, Piovesán S, Musto MS, Lorenzo S, Alvarez R. La caries dental, enfermedad oral más prevalente. Primer Estudio poblacional en jóvenes y adultos uruguayos del interior del país..Odontoestomatología 2013 supl 2013 (in press).
25. Casnati B, Alvarez R, Mazza F, Lorenzo S, Angulo M, Carzoglio J. Prevalencia y factores de riesgo de las lesiones de la mucosa oral en la poblaciónurbana del Uruguay. Odontoestomatología 2013 supl 2013 (in press).
26. Universidad de la República. Facultad de Ciencias Sociales. Departamento de Sociología. Validación Nacional del Índice de Nivel Socio Económico para estudios de mercado y opinión pública. [en línea]. Montevideo: Facultad de Sociología, 2006. 100p. [citado 30/04/2012]. Disponible en: http://www.comunicacion.edu.uy/sites/default/files/inse_0.pdf
27. Comisión Agrupada de Nivel Socio Económico. Índice Primario de Nivel Socio Económico para Montevideo. Montevideo: CAINSE, 2004. 92p.
28. Fernández, A., Perera, M. Índice de Niveles Socio–Económicos (INSE). Informe Final. Montevideo: CPA-Ferrere, 2003.
29. OMS. El método stepswise de vigilancia. [en línea]. [citado 30/04/2013] Disponible en: http://www.who.int/chp/steps/es/
30. OMS. El método step wise de la OMS para la vigilancia. Modulo opcional de salud oral. [en línea] [citado 30 04.2013] Disponible en http://www.who.int/chp/steps/riskfactor/modules/es/index.html
31. Peres MA, Barros AJ, Peres KG, Araújo CL, Menezes AM. Life course dental caries determinants and predictors in children aged 12 years: a population-based birth cohort.Community Dent Oral Epidemiol. 2009 Apr;37(2):123-33.
32. Uruguay. Consejo de Ministros. Decreto 379/08 promulgado agosto 2008 publicado 14 de agosto de 2008.
33. Brasil. Ministério da Saúde, Secretaria de Políticas de Saúde. Departamento de atenção básica. Área técnica de saúde bucal. Projeto SB2000 Condições de saúde bucal da população brasileira no ano 2000: manual de calibração de examinadores Brasília - 2001 [en línea] [citado: 27/04/2013] Disponible en: http://189.28.128.100/dab/docs/manuais_sbbrasil/man_cali/man_cali.pdf
34.Uruguay. Instituto Nacional de Estadística. Información Cartográfica [en línea] [Citado: 31/12/2012] Disponible en: http://www.ine.gub.uy/mapas/mapas2011/inicio.html
35.Llambí C, Piñeyro L. INSE – Revisión anual 2012. [en línea] [Citado: 30/04/2013]. Disponible en:
http://www.cinve.org.uy/informesproyectos/inse-revision-anual-2012/
36. Sheiman A, Watt RG. The common risk factor approach: a rational basis for promoting oral health. Community Dent Oral Epid 2000 Dec;28(6):399-406













