Servicios Personalizados
Revista
Articulo
Links relacionados
Compartir
Cuadernos de Investigación Educativa
versión impresa ISSN 1510-2432versión On-line ISSN 1688-9304
Cuad. Investig. Educ. vol.7 no.1 Montevideo jun. 2016
Desempeño docente en la enseñanza universitaria: análisis de las opiniones estudiantiles
Teacher performance in higher education: analysis of students’ opinion
DOI: http://dx.doi.org/10.18861/cied.2016.7.1.2576
Silvia Loureiro
Magíster en Química, orientación en Educación. Universidad de la República. Profesora de Química, Instituto de Profesores Artigas (IPA). Docente Adjunta, Unidad de Enseñanza, Facultad de Ingeniería, Universidad de la República. Profesora de Química, grado 5, Educación Secundaria.
Marina Míguez
Magíster en Química orientación Educación y Doctora en Química orientación Educación, Universidad de la República. Máster en Estudios Biológicos-Naturistas, Universidad de León, España. Químico Farmacéutico. Directora y Profesora agregada, Unidad de Enseñanza, Facultad de Ingeniería, Universidad de la República.
Ximena Otegui
Magíster en Enseñanza Universitaria, área social, Universidad de la República. Profesora de Química, Instituto de Profesores Artigas (IPA). Profesora adjunta, Unidad de Enseñanza, Facultad de Ingeniería, Universidad de la República.
Fecha de recibido: 09/11/2015
Fecha de aceptado: 01/02/2016
Resumen
Desde hace ya cierto tiempo las instituciones de Educación Superior han reconocido la necesidad de incrementar y mejorar la calidad de la enseñanza que imparten. Entre las estrategias propuestas para lograrlo se encuentra desarrollar un sistema de evaluación de la función enseñanza del profesorado. La Facultad de Ingeniería de la Universidad de la República, Uruguay, desarrolla un Sistema de Evaluación Docente en la Enseñanza. Este sistema está integrado por 5 instrumentos, la autoevaluación docente, la evaluación del superior, la evaluación del docente sobre su coordinador, la valoración final del curso y la encuesta de opinión estudiantil sobre el desempeño docente. En este trabajo se presenta un análisis comparativo de las respuestas estudiantiles sobre el desempeño de sus docentes en clase, según el tramo de la carrera que cursan en Facultad, y un análisis de correlación con las respuestas referidas al juicio global sobre el docente. Se constata que existen diferencias significativas en las respuestas según el tramo de las carreras, siendo los estudiantes de final de carrera quienes manifiestan valoraciones más positivas. Se puede afirmar además que, mediante la aplicación del análisis factorial, la pregunta “Juicio global sobre el docente” resulta ser un buen indicador de los atributos del docente en la actividad enseñanza indagados a través del resto de las preguntas del formulario. Estos análisis brindan información muy valiosa para la orientación de la acción didáctica y la toma de decisiones institucionales.
Palabras clave: evaluación docente, desempeño docente, opinión estudiantil, Ingeniería, Educación Superior
Abstract
For quite some time the higher education institutions have recognized the need to increase and improve the quality of their teaching. Among the strategies proposed to achieve this is to develop a system for evaluating teacher education function. The School of Engineering, University of the Republic, develops a Teacher Evaluation System in Teaching consisting of 5 instruments. One is a survey of student opinion about courses and teaching performance in the classroom. This paper presents a comparative analysis of student responses about the performance of their teachers in class is presented in the section of the race that occur on Faculty and correlation analysis with answers concerning the overall judgment on the teacher. It is found that there are significant differences in the responses by stretch of racing, the final degree students demonstrate more positive assessments. You can also say that, by applying the factor analysis, the question 'Overall judgment on the teacher' turns out to be a good indicator of the attributes of teachers in teaching activity investigated through the rest of the questions on the survey. These analyzes provide valuable information for the guidance of the teaching action and the institutional decision-making.
Keywords: teacher evaluation, teacher performance, student opinion, Engineering, Higher Education
Introducción
Desde hace ya cierto tiempo las instituciones de Educación Superior han reconocido la necesidad de incrementar y mejorar la calidad de la enseñanza que imparten. Entre las estrategias propuestas para lograrlo se encuentra desarrollar un sistema de evaluación de la función enseñanza del profesorado. Cuanta más atención se preste a la evaluación, y más se utilicen sus resultados para la toma de decisiones, su papel en la enseñanza adquirirá una mayor relevancia (Millman y Darling-Haammond, 1997).
Según Ruiz (1999), lo fundamental es reconocer cuál es el principal rol que juega la evaluación y las finalidades que cumple, identificando quién se beneficia con ella. Considera a la evaluación como un proceso de análisis de la información recogida acerca del objeto de estudio para luego emitir juicios de valor sobre el mismo en pro de una mejora.
En la evaluación docente, el objeto de estudio es el desempeño docente en la enseñanza y debe caracterizarse por ser: integral, evaluando diversos aspectos de la función docente; permanente, ya que la evaluación podrá identificar fortalezas y dificultades sólo cuando es continua; participativa, involucrando a los diversos actores de la institución, y contextual, en el sentido de que sea acorde a la realidad de la institución, sistematizando y extendiendo aquellas experiencias que ya se han desarrollado. Se considera que la evaluación docente debe permitir una retroalimentación, ya que debe dar información a los docentes sobre sus logros y sus dificultades y al resto de la institución sobre la enseñanza; la toma de decisiones, los resultados de la evaluación docente deben ser un insumo para tomar decisiones orientadas a mejorar el proceso de enseñanza y la identificación de necesidades de formación, desarrollando las estrategias más adecuadas para satisfacerlas (Míguez y Loureiro, 2006).
La evaluación del docente universitario es entendida por varios autores como una tarea multidimensional y compleja, que debe realizarse a partir de información procedente de diversas fuentes, empleando un enfoque multiestratégico (Mateo et al, 1996; Muñiz et al, 1991; Muñoz et al, 2002). Se considera conveniente tender hacia un Sistema de Evaluación Docente, que incluya distintas fuentes de información. Entre los distintos insumos de los que se nutre una evaluación integral se encuentran las opiniones de los estudiantes, la auto-evaluación del docente, la evaluación por parte del superior jerárquico, la evaluación de sus pares y la observación metodológica (Muñoz et al, 2002).
Desde el año 2002 la Facultad de Ingeniería (FI) de la Universidad de la República, ha desarrollado un Sistema de Evaluación Docente en la Enseñanza (SEDE-FI), a través de diferentes etapas y grados de implementación. El objetivo general de esta iniciativa, aprobada por el Consejo de la FI, es el mejoramiento continuo de la enseñanza en la facultad. Para ello se plantean tres objetivos particulares: mejorar los cursos, apoyar a los docentes (fundamentalmente a los más jóvenes) y tener una evaluación de la función docente en enseñanza.
El SEDE-FI está integrado por 5 instrumentos, la autoevaluación docente, la evaluación del superior, la evaluación del docente sobre su coordinador, la valoración final del curso y la encuesta de opinión estudiantil sobre el desempeño docente. La información que brindan estos instrumentos, más allá de recoger opiniones generales, permite orientar las dinámicas de las prácticas educativas, reconociendo las diferentes modalidades de enseñanza. El formulario numerado como 5 (F5), busca recabar las opiniones emitidas por los estudiantes a través de 19 preguntas de respuesta cerrada (con escala de Lickert) y una pregunta de respuesta abierta referida a diversos aspectos de la actividad docente en la función enseñanza. Lo aplican los docentes en sus clases cada semestre en los cursos de la FI de todas las carreras de Ingeniería y de Tecnólogo que en ella se imparten (Agrimensura, Civil, Computación, Eléctrica, Mecánica, Naval, Producción, Química, Alimentos, Cartografía). Si bien no se puede tomar sólo la opinión de los estudiantes ya que brinda una visión parcial de la actuación docente, se reconoce como uno de los pilares importantes de la evaluación del profesorado.
En función de los resultados se establecen acciones, reorientaciones y recomendaciones, complementando el análisis curricular y el seguimiento de avance en las carreras realizado por la institución. Aporta información relevante y pertinente para la revisión permanente y mejora del Plan de Estudios y para el diseño de estrategias de acción tanto del diseño curricular como en las acciones de formación docente (Míguez et al, 2005).
En este trabajo se presenta un análisis comparativo de las respuestas de los estudiantes sobre el desempeño de sus docentes en clase según el tramo de la carrera que cursan en FI y a su vez se analiza su correlación con las respuestas a la pregunta 11 del formulario, que refiere al juicio global sobre el docente. El objetivo de este estudio es analizar los resultados de la encuesta de opinión estudiantil sobre el desempeño docente en clase, valorando su uso para la toma de decisiones institucionales en FI.
Marco conceptual didáctico-pedagógico que sustenta el diseño del formulario de encuesta estudiantil
Una distinción que es fundamental al momento de pensar en un sistema de evaluación docente en la función enseñanza, es tener en cuenta que aprendizaje y enseñanza pertenecen a dominios diferentes. Muchos autores han aportado al esfuerzo de diferenciar ambos campos de producción de conocimiento, y mucho se ha escrito en el esfuerzo por romper con un binomio que ha permanecido por mucho tiempo en el discurso sobre la educación: 'el proceso de enseñanza-aprendizaje'. Es interesante el aporte de Camilloni al respecto “Se ha producido la ruptura conceptual entre los procesos de enseñanza y aprendizaje, abandonando un lema pedagógico “el proceso de enseñanza-aprendizaje” como objeto de conocimiento de la didáctica y como objeto de la acción educativa…Se parte ahora de la idea de que se trata de dos procesos claramente delimitados, diferentes....” (1996:27).
Las diferencias a grandes rasgos consisten en que los procesos puestos en juego por el estudiante a nivel cognitivo poco tienen que ver con el proceso de enseñanza que despliega el docente. El proceso de enseñanza corre por cuenta de este último y se concreta en una serie de acciones que el docente debe llevar adelante con objetivos precisos, entre ellas: generar interés por la materia, generar la necesidad de aprender, decidir lo que es importante que los alumnos aprendan, averiguar qué es lo que pueden aprender, organizar la materia de estudio, presentar los materiales con claridad, plantear preguntas críticas, evaluar aprendizajes, fomentar la capacidad de solucionar problemas, etc. (Ausubel, 1976) Estas tareas son algunas de las múltiples tareas presentes en el proceso de enseñanza, no lo agotan pero creemos ilustran las diferencias entre los procesos.
Toda enseñanza se basa en una concepción de aprendizaje, la mayoría de las veces implícita, adquirida de modo incidental, cuando el que ahora es docente era un aprendiz integrado a una cultura de aprendizaje dada. Diversos trabajos han insistido en que las teorías que los profesores tienen sobre la enseñanza en general y de las ciencias en particular guían su labor docente y condicionan los acontecimientos en el aula (Porlán, 1988; Míguez, 2001).
Tanto docentes como alumnos elaboran representaciones sobre el aprendizaje y la enseñanza que en muchos casos no proceden de la instrucción directa, puesto que no se corresponden con teorías del aprendizaje estudiadas formalmente. Más bien estas representaciones parecen adquirirse de modo implícito a través de la práctica diaria en escenarios educativos, y su vez estar configuradas por rasgos bastante generales de los modos de pensar de las personas.
En todos los niveles de la educación es necesario poseer un conocimiento previo de la situación, conocer los mecanismos de aprendizaje de los alumnos, los procesos de apropiación de conocimientos, habilidades, valores, actitudes y destrezas, ideas previas, interés por el nuevo conocimiento, entorno social, etc. Esta reflexión lleva al diseño de estrategias de enseñanza adecuadas para realizar eficazmente las transposiciones didácticas, y el uso de recursos apropiados que permitan facilitar el aprendizaje. Junto con un profundo dominio de la historia de su disciplina, los buenos enseñantes trabajan con concepciones de los estudiantes que se apoyan en resultados de relevantes estudios sobre la cognición humana que han resaltado varias conceptos clave: el carácter constructivo del conocimiento; la dificultad de modificar los modelos mentales estudiantiles; el papel fundamental que, en estas modificaciones, desempeñan las preguntas generadas por el docente; y la fortísima conexión que existe entre la motivación intrínseca y el aprendizaje. (Bain, K., 2005)
Los buenos aprendizajes obtenidos son una consecuencia directa de haber puesto en práctica estrategias de enseñanza encaminadas hacia el fomento de aprendizajes no acumulativos y del desarrollo de habilidades de pensamiento. Sensatamente, la buena enseñanza se preocupa por la construcción de aprendizajes en los que se imbrican de modo interactivo tanto los procesos racionales como otros de carácter emocional.
La crítica a un entendimiento reduccionista de la docencia universitaria que la equipara a la mera impartición de las clases magistrales, olvidando que, sin dejarlas de lado, debería entenderse por docencia todo lo que podamos hacer para ayudar y motivar a los estudiantes a aprender; la necesidad de sustituir un modelo transmisivo de impartir clases -dentro del cual lo fundamental parece ser el contar algo a alguien- por otro en el que se vincule estrechamente nuestra enseñanza al aprendizaje de los alumnos.
Sobre la base de este sustento teórico la institución, a través de los órganos cogobernados diseñó el formulario de encuesta de opinión estudiantil que se analiza en este trabajo.
Estructura general del formulario de encuesta de opinión estudiantil
El formulario (F5) se divide en 5 secciones: 1) datos del estudiante, 2) datos del docente y de la asignatura, 3) preguntas sobre el docente, 4) preguntas sobre el curso, 5) espacio para respuesta abierta. El formulario permite diferenciar las preguntas de opinión con respecto al docente y con respecto al curso en general, lo que posibilita discriminar las opiniones vertidas. El estudiante debe tener la oportunidad de discernir estos niveles en el momento de contestar, y es indispensable para el análisis e interpretación de los resultados obtenidos.
Otro aspecto que enriquece la retroalimentación para el docente, es el hecho de comparar los resultados de las encuestas en los diferentes cursos que imparte (modalidad, cantidad de alumnos, asignatura) lo que permite detectar fortalezas y oportunidades de mejora en las distintas situaciones.
Para el diseño del F5 se propusieron preguntas que se sustentan en determinados modelos de enseñanza y de aprendizaje. En los siguientes apartados se presentan las preguntas y se describe el marco conceptual didáctico y pedagógico que las sustentan, lo que permite una mejor interpretación de los resultados y las reorientaciones posteriores.
-Preguntas relativas a la actuación del docente en clase
En la figura 1 se presentan las preguntas relativas al desempeño docente en clase, incluidas en el F5.
Figura 1. Preguntas del F5 sobre el docente.
Dentro del primer grupo de preguntas se destaca la importancia de la pregunta 1, “Marca los objetivos específicos de cada clase”, ya que esto favorece que los estudiantes se involucren más con el desarrollo de las clases, coadyuvando a direccionar correctamente su gestión de aprendizajes.
Esta pregunta está estrechamente vinculada con las preguntas 2 a 4, que apuntan a establecer el nivel de organización y diseño de las planificaciones de las clases en particular y del curso en su globalidad. Es razonable esperar coherencia interna entre las respuestas a estas preguntas.
La pregunta 5, “Establece conexiones con los contenidos de otras asignaturas…”, permite valorar si el docente ha logrado darle a la asignatura un enfoque aplicado, relacionándola con la vida cotidiana y profesional, lo que incide positivamente en la motivación de los estudiantes y en aprendizajes significativos, favoreciendo la comprensión y transferencia de los contenidos disciplinares. Es importante hacer conexiones entre lo que se aprende y lo que se sabe de otros cursos así como de otras experiencias y contextos. Lograr que los estudiantes relacionen y apliquen las habilidades y conceptos que han aprendido en clase con otras áreas es uno de los objetivos principales de la educación, sobre todo si ésta es de nivel universitario.
El uso que el docente hace de los medios (pregunta 6) debe favorecer los procesos de enseñanza y de aprendizaje, resultando en un apoyo para la comprensión de lo trabajado en clase. La potencialidad de los recursos y medios tecnológicos se evidencia en el uso eficiente que los docentes y los estudiantes le dan. Lo importante no es la tecnología en sí, sino cómo se integra al proceso educativo.
La pregunta 7 permite establecer si se ha generado un buen clima de trabajo en el aula, uno de los pilares fundamentales para el proceso de aprendizaje. Animar a los estudiantes a plantear dudas contribuye a generar un buen clima, lo que se vincula estrechamente con el grado de motivación de los estudiantes. Uno de los momentos claves en el proceso de comunicación entre profesor y estudiante es cuando este último formula preguntas, las cuales bien empleadas por el docente resultan un disparador maravilloso para la mejora de los aprendizajes con sentido.
Para lograr la comprensión de los contenidos de la asignatura, deben generarse aprendizajes significativos en los estudiantes. Se ha determinado que la potenciación del proceso motivacional de los estudiantes es fundamental para el logro de estos objetivos. Si los estudiantes están motivados intrínsecamente por el aprendizaje y no sólo en forma extrínseca por la calificación, por el lucimiento o por el miedo al fracaso, se obtienen aprendizajes profundos y duraderos. Esto es lo que busca valorar la pregunta 8.
Las preguntas 9 y 10 son indicadores, entre otras cosas, del respeto que manifiesta el docente por sus alumnos y por su tarea, lo que complementa la información obtenida en el resto del cuestionario.
Finalmente se pide un juicio global (pregunta 11) buscando resumir la información anterior. Esto permite analizar tanto la coherencia interna de las respuestas, como aquellos indicadores a los cuales los estudiantes dan mayor importancia a la hora de emitir opinión sobre la actuación del docente en la enseñanza.
- Preguntas relativas al curso
En la figura 2 se muestran las preguntas relativas al curso incluidas en el F5.
Figura 2. Preguntas del F5 sobre el curso.
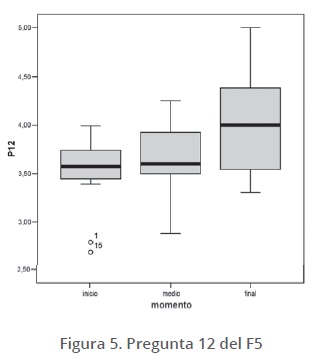
La pregunta 12 permite establecer la opinión que tienen los estudiantes sobre las clases de consulta a través de la valoración de las distintas modalidades ofrecidas típicamente (clases de consulta presenciales, por correo electrónico, en foros de discusión).
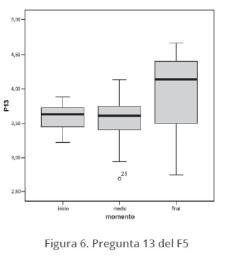
La pregunta 13 determina qué valoración dan los estudiantes acerca de los materiales de estudio (repartidos, bibliografía seleccionada, etc.) recomendados por los docentes para preparar el curso, permitiendo ajustar los esfuerzos realizados en este sentido.
La pregunta 14 permite obtener información acerca del acceso de los estudiantes a las páginas web de los cursos (en la medida de su respuesta a la opción “No corresponde”) y la valoración sobre su utilidad.
La pregunta 15, hace referencia a la importancia de establecer coordinación entre las clases teóricas y prácticas. Resultaría interesante poder conocer cómo se realiza esa coordinación, cómo se seleccionan y jerarquizan los contenidos para que no se repitan en las diferentes instancias, sin llegar a desconectarse de modo que se conviertan en dos asignaturas “separadas” (práctico y teórico).
Las preguntas 16 a 18 hacen referencia a la evaluación propuesta para el curso. Permiten clarificar qué visión tienen los estudiantes sobre la forma en que son evaluados y qué función cumple la evaluación en su formación desde su perspectiva. La evaluación debe formar naturalmente parte del proceso de aprendizaje, aprovechándose e integrándose al proceso de enseñanza.
Finalmente se solicita un juicio global sobre el curso (pregunta 19) buscando resumir la información anterior, permitiendo a su vez analizar tanto la coherencia interna de las respuestas como aquellos indicadores a los cuales los estudiantes den mayor importancia a la hora de emitir opinión sobre la actuación del docente en la enseñanza.
Metodología
El primer análisis consistió en comparar las medias de las respuestas a cada pregunta en 3 tramos de la carrera seleccionados. Para este estudio se utilizaron 9353 formularios y se seleccionaron todos los cursos evaluados que integran alguna de las siguientes categorías: Inicio (cursos de 1º y 2º semestre), Medio (cursos de 5º y 6º semestre) y Final (cursos de 9º y 10º semestre) de las carreras de FI. Con estos criterios se abarcaron 15 cursos de inicio, 17 de medio y 18 de final de la carrera. Para determinar si existen o no diferencias significativas en las respuestas se utilizó el test Kruskal-Wallis (no paramétrico). Para realizar la comparación entre las valoraciones realizadas por los estudiantes del tramo final entre las carreras, se utilizaron los test no paramétricos de Kruskal-Wallis y Mann-Whitney.
El segundo análisis buscó determinar, mediante la aplicación del análisis factorial, si la pregunta 11 (Juicio global sobre el docente) es un buen indicador de los atributos del docente en la actividad enseñanza indagados a través del resto de las preguntas del formulario. Para la realización de este estudio se analizaron 12.661 formularios correspondientes a cursos de distintos tramos de las carreras que imparte la facultad.
Resultados
A partir del análisis se constata que para 5 preguntas del cuestionario existen diferencias significativas en las opiniones estudiantiles según el tramo de la carrera en la que se encuentran. Las preguntas son: “Establece conexiones con los contenidos de otras asignaturas, presenta ejemplos aplicados a la vida profesional y/o a la vida cotidiana”; “Favorece el planteo de preguntas y se preocupa por responderlas”; “Son útiles las clases de consulta”; “Se recomiendan y utilizan materiales de estudio útiles para preparar la asignatura” y “La evaluación se centró en la comprensión de la asignatura”. Para estas 5 preguntas, los estudiantes del tramo final de la carrera manifiestan valoraciones más positivas que los de los tramos inicial y medio; siendo la pregunta 5: “Establece conexiones con los contenidos de otras asignaturas, presenta ejemplos aplicados a la vida profesional y/o a la vida cotidiana”, la que presenta mayor diferencia.
Los diagramas de caja o boxplots, (figuras 3 a 6), muestran la distribución de respuestas a las preguntas 5, 7, 12 y 13 respectivamente, en función del momento de la carrera.



Las comparaciones de a pares dentro de cada pregunta, realizadas a través del test de Mann-Whitney, mostraron diferencias significativas con p-valores < 0,05 entre las valoraciones realizadas al inicio y medio con relación al final de carrera. Las valoraciones realizadas por los estudiantes de inicio de carrera con relación a los estudiantes de mitad de carrera, no presentaron diferencias significativas.
La pregunta: “Establece conexiones con los contenidos de otras asignaturas, presenta ejemplos aplicados a la vida profesional y/o a la vida cotidiana” es la que presenta mayor diferencia, lo que resulta esperable de acuerdo a la distribución de las asignaturas y las previaturas correlativas en el Plan de Estudios vigente (1997), donde las más básicas se ubican al inicio y las más tecnológicas en los semestres más avanzados. También se encontraron diferencias significativas en las valoraciones que realizan los estudiantes del tramo final entre las distintas carreras, siendo los estudiantes de Ingeniería Eléctrica quienes realizaron valoraciones más positivas en todas las preguntas. Este resultado es un insumo que se toma en cuenta para sugerir a los cursos de inicio de la carrera la importancia de incorporar aspectos vinculados a otras materias, a la práctica profesional y a la vida cotidiana ya que se entiende fundamental para favorecer la comprensión y transferencia de los contenidos disciplinares.
También se encontraron diferencias significativas en las valoraciones que realizan los estudiantes del tramo final entre las carreras Ingeniería Química, Ingeniería Civil e Ingeniería Eléctrica. Con relación a las preguntas relativas al docente, a través del test de Kruskal-Wallis, se constataron diferencias significativas en las preguntas 3, 5, 8, 10 y 11, siendo los estudiantes de Ingeniería Eléctrica quienes realizaron valoraciones más positivas en todas las preguntas.
Del análisis de la figura 7 surge que al observar las diferencias de a pares, mediante el test de Mann-Whitney, se puede afirmar que éstas están dadas básicamente entre Ingeniería Eléctrica con respecto a las otras dos carreras, no existiendo diferencias entre las carreras, Ingeniería Química e Ingeniería Civil.
Con relación a las preguntas relativas al curso, se constataron diferencias significativas en todas las preguntas salvo en la pregunta 12: “Son útiles las clases de consulta”, siendo también los estudiantes de Ingeniería Eléctrica quienes realizaron valoraciones más positivas en todas las preguntas. Al igual que en el caso de las preguntas relativas al curso, las diferencias estuvieron dadas básicamente por las valoraciones realizadas por los estudiantes de la carrera Ingeniería Eléctrica, con las valoraciones realizadas por los estudiantes de las otras dos carreras.
El estudio aquí presentado también buscó determinar si la pregunta 11 es un buen indicador de los atributos del docente, en la actividad enseñanza indagados a través del resto de las preguntas del formulario, mediante la aplicación del análisis factorial a las preguntas. En este caso, interesa identificar si existen preguntas del formulario que midan constructos similares (que estén correlacionadas a un mismo factor). Se plantea la hipótesis de que todas, o la mayoría de las preguntas, estarán positivamente correlacionadas con la pregunta 11 que refiere al juicio global del docente. De este modo se espera encontrar una alta correlación de la mayoría de las variables (donde debería estar incluida la variable asociada a la pregunta 11) a un único factor.
En primer lugar se buscó ver cómo se correlacionan las variables mediante la matriz de correlaciones, antes de proceder a la realización del análisis factorial, ya que será propicio aplicarlo si la variables se encuentran correlacionadas. La matriz de correlaciones se muestra en la figura 8.
Figura 8. Matriz de correlaciones entre las preguntas del formulario de encuesta.
La medida de Kaiser-Meyer-Olkin (KMO) contrasta si las correlaciones parciales entre variables son suficientemente pequeñas. El estadístico KMO se encuentra entre 0 y 1, los valores pequeños indican que el análisis factorial puede no ser adecuado. Valores menores que 0.5 indican que no debe utilizarse.
Por otro lado la prueba de esfericidad contrasta la hipótesis nula de que la matriz de correlaciones es una matriz identidad, si no se puede rechazar esta hipótesis no existirán correlaciones significativamente distintas de cero, en cuyo caso el modelo factorial no será pertinente.
En la tabla 1 se muestran los resultados de los test aplicados.

El estadístico KMO es más que aceptable, encontrándose cerca de 1. La prueba de esfericidad permite rechazar la hipótesis nula. Como conclusión se puede decir que la aplicación del análisis factorial a estos datos es adecuada.
Aplicado el análisis factorial se observó que del total de 10 preguntas sobre el desempeño docente, sólo hay 2 que no correlacionan con la 11, las cuales son: “Cumple con los horarios de clase” (Pregunta 9) y “Tiene una actitud respetuosa hacia los estudiantes” (Pregunta 10). En el caso de la P9, la no correlación con la 11 podría indicar que el cumplimiento con los horarios de clase no es un factor demasiado importante para de determinar un juicio global del docente, o al menos, es menos importante que las demás características evaluadas. En el caso de la P10, la misma puede estar presentando un comportamiento más complejo que no es claramente explicado por el modelo.
Las preguntas que correlacionan con el juicio global representan diversas características de la actividad docente en clase que se entendieron relevantes en el momento de decidir la construcción del instrumento. Estas son: “Marca los objetivos específicos de cada clase”, “Explica en clase con orden y claridad”, “Define el vocabulario especializado o técnico que utiliza”, “Sintetiza y subraya los conceptos que considera importantes”, “Establece conexiones con los contenidos de otras asignaturas, presenta ejemplos aplicados a la vida profesional y/o a la vida cotidiana”, “Cuando usa el pizarrón, transparencias, videos, etc. lo hace adecuadamente, ayudando a comprender mejor las explicaciones”, “Favorece el planteo de preguntas y se preocupa por responderlas”, “Motiva al estudiante por la asignatura”.
Este resultado permitirá considerar al juicio global del docente como índice para establecer si la evaluación docente es o no satisfactoria, ya que es representativo del desempeño docente en clase. En este sentido el Consejo de la FI en su resolución Nº 1350 de fecha 4 de junio de 2015 recomienda a las Comisiones de Instituto que, “a la hora de solicitar prórrogas o reelecciones docentes se tenga en cuenta la evaluación docente generada por el Sistema de Evaluación Docente Estudiantil (SEDE)”
Conclusiones
La evaluación de las prácticas educativas constituye uno de los espacios clave para la mejora de la calidad universitaria. El desarrollo del SEDE-FI y en particular la encuesta de opinión estudiantil, permite un acercamiento a este espacio, con un carácter esencialmente formativo, de conocimiento situado, posibilitando además la construcción de un programa de formación didáctica que se ajuste a las dinámicas institucionales, sin perder de vista la dimensión epistemológica de los campos específicos de las disciplinas.
Los estudiantes de FI de la Udelar, a través de la encuesta de opinión F5, valoran positivamente la actuación de sus docentes en clase. Para las preguntas, 5, 7, 12, 13 y 17 de la encuesta, los estudiantes del tramo final de la carrera manifiestan valoraciones más positivas que los de los tramos inicial y medio. La pregunta 5: “Establece conexiones con los contenidos de otras asignaturas, presenta ejemplos aplicados a la vida profesional y/o a la vida cotidiana”, es la que presenta mayor diferencia.
Por otra parte el análisis realizado mostró que la pregunta 11: “Juicio global sobre el docente”, es un buen indicador de varios atributos del docente en la actividad de enseñanza, lo que es relevante para la toma de decisiones institucionales.
Son los docentes de forma individual o colectiva, que a partir de los resultados de la evaluación docente, solicitan a la UEFI las estrategias de intervención apropiadas: tutorías didácticas y/o cursos de formación didáctica, ambos relativos a varios de los ejes estructurantes que sustentan desde el punto de vista didáctico y pedagógico al SEDE. En función de los resultados se han establecido acciones, reorientaciones y recomendaciones, complementando el análisis curricular y el seguimiento de avance estudiantil en las carreras realizado por la institución. El análisis de la información de los diversos formularios, junto con la reflexión de los actores institucionales ha permitido tomar decisiones oportunas y fundamentadas buscando la mejora continua de la calidad del proceso educativo.
En síntesis, es de gran importancia que la evaluación docente abarque las diferentes variables que influyen en el proceso educativo y que a partir de la información recogida, la misma se analice y discuta de modo de permitir tomar decisiones oportunas, fundamentadas y racionales. No resulta sencillo instalar prácticas de evaluación en todas las dimensiones necesarias, es preciso seguir esforzándose por superar las resistencias y generar una cultura de evaluación, enfatizando su carácter formativo. Se debe impulsar la evaluación docente como una reflexión permanente sobre la práctica, a fin de comprenderla y mejorarla.
Referencias bibliográficas
Ausubel, D. (1976). Psicología educativa: un punto de vista cognoscitivo. México: Editorial Trillas
Bain, K. (2005) Lo que hacen los mejores profesores de universidad. Valencia: Publicacions de la Universitat de València.
Camilloni de, A. (1996) “De herencias, deudas y legados. Una introducción a las corrientes actuales de la didáctica. En Corrientes Didácticas Contemporáneas, Buenos Aires: Paidós.
Loureiro, S. y Míguez, M. (2006) Evaluación docente. La experiencia en la Facultad de Ingeniería de la Universidad de la República. Revista Iberoamericana de Educación. (Revista electrónica), 40 (5). Recuperado de http://www.rieoei.org/experiencias137.htm (Fecha de consulta: octubre 19 de 2015).
Loureiro, S; Míguez, M. y Otegui, X. (2005) Aprendizaje, Enseñanza y Desempeño Curricular en la Facultad de Ingeniería: análisis cuantitativos y cualitativos. Serie Análisis de Datos. Montevideo: Facultad de Ingeniería de la UdelaR.
Mateo, M., Escudero, T., De Miguel, M., Ginés, J. y Rodríguez, S. (1996) La evaluación del profesorado. Un tema a debate. Revista de Investigación Educativa, 14(2), 73-94.
Míguez, M. (2001) Investigación de una Estrategia Didáctica alternativa: prácticos de inmunología de la Facultad de Química. Tesis de Maestría. Facultad de Química, UdelaR.
Míguez, M. (2008) Análisis de las relaciones entre proceso motivacional, estrategias de aprendizaje y rendimiento académico en estudiantes del área Científico-Tecnológica de la Universidad de la República. Tesis Doctoral. Uruguay.
Míguez, M.; Otegui, X.; Loureiro, S. Rodríguez Ayán, M. y Soubirón, E. (2010) La evaluación docente en el aula: una estrategia de formación didáctica. Anuario Latinoamericano de Educación Química, 25, 66 – 70.
Millman, J. y Darling-Haammond, L. (1997) Manual para la evaluación del profesorado. Madrid: La Muralla.
Muñiz, J., García, A. y Virgos, J. (1991) Escala de la Universidad de Oviedo para la evaluación del profesorado. Psicothema 3(2), 269-281.
Muñoz Cantero, J. M., Ríos de Deus, M. P. y Abalde, E. (2002) Evaluación Docente vs. Evaluación de la Calidad. Revista Electrónica de Investigación y Evaluación Educativa (RELIEVE). (Revista electrónica), 8, (2), Recuperado de http://www.uv.es/RELIEVE/v8n2/RELIEVEv8n2_4.htm (Fecha de consulta: octubre 19 de 2015).
Porlán, R. (1988). El pensamiento científico y pedagógico de maestros en formación, en Porlan, García y Cañal, Constructivismo y enseñanza de las ciencias, PP. 193-203. Sevilla: Díada.
Ruíz, J. (1999) Cómo hacer una evaluación de Centros Educativos. Madrid: Narcea.













