Servicios Personalizados
Revista
Articulo
Links relacionados
Compartir
Revista Uruguaya de Ciencia Política
versión impresa ISSN 0797-9789versión On-line ISSN 1688-499X
Rev. Urug. Cienc. Polít. vol.17 no.1 Montevideo dic. 2008
DEMOCRACIA Y DESARROLLO: UN ENFOQUE "PARTIDISTA"*
Democracy and Development: A "Partisan" Approach
Adolfo Garcé y Mauricio Armellini**
Resumen: Durante muchos años los estudiosos han procurado encontrar la clave mágica del desarrollo latinoamericano en el plano de las ideas económicas y en las instituciones económicas. En este artículo se presenta un enfoque diferente. Se propone que, en el largo plazo, la rotación de partidos de izquierda y partidos de derecha es el escenario que más favorece el desarrollo de las naciones. Se asume que el desarrollo es un proceso que combina crecimiento y aumento del bienestar social, que los partidos de derecha priorizan el crecimiento y que los partidos de izquierda enfatizan la redistribución del ingreso, y que existe en el largo plazo un trade off entre crecimiento y distribución del ingreso. Esta hipótesis es sometida a un análisis estadístico con una muestra de 122 países, usando el IDH calculado por Naciones Unidas como Proxy de desarrollo.
Palabras clave: Democracia, Desarrollo, Rotación de Partidos, Enfoque partidista
Abstract: For years scholars have tried to find the magic key to Latin American development, mainly through economic theory and economic institutions. In this paper we propose a different approach: we claim that in the long run, the rotation in government of right and left-wing parties favors development. We assume that development combines growth and increased social well-being, that right-wing parties prioritize growth while left-wing parties prioritize social well being, and that there is a trade off between growth and income distribution in the long run. This hypothesis is tested empirically using a simple of 122 countries, using the United Nations’ Human Development Index (HDI) as a proxy for development.
Key words: Democracy, Development, Party Turnover, Partisan Approach
1. Introducción
Durante muchos años los latinoamericanos nos hemos empecinado en buscar en el terreno de las ideas económicas la fórmula mágica del desarrollo económico y del bienestar social. A lo largo de las cinco últimas décadas, "desarrollistas", "dependentistas", "neoclásicos" y "neo-institucionalistas", cada uno apegado a su propio credo, han predicado que América Latina sólo lograría trepar los escalones del desarrollo económico y social una vez que hubiera descubierto y aplicado cabalmente el paradigma "verdadero" (Garcé, 2000).
Recientemente, algunos especialistas latinoamericanos han empezado a problematizar el enfoque reduccionista convencional y comenzado a aceptar que pueden existir distintos caminos hacia el desarrollo. José Antonio Ocampo, por ejemplo, ha dicho, en diversos foros internacionales, que "la idea de que debe existir una especie de patrón, estilo o modelo único de desarrollo, aplicable a todos los países, no sólo es ahistórica, sino nociva y contraria a la democracia" (Ocampo, 2005).
En este artículo se argumentará que es necesario dar un paso más en esa dirección. Siguiendo a Ocampo, sostenemos que, ciertamente, "democracia es diversidad", y que pueden existir "diferentes caminos hacia el desarrollo". Pero nos gustaría agregar, y aspiramos a poder demostrar, que existen buenas razones teóricas y suficiente evidencia empírica como para argumentar que el camino hacia el desarrollo se facilita cuando las naciones logran ir oscilando entre modelos de desarrollo diferentes y que tienden a visualizarse como contrapuestos. Más específicamente, sostenemos que el escenario que más favorece el incremento de la riqueza y la mejora del bienestar de la mayoría de la población en el largo plazo es la rotación entre partidos de izquierda y partidos de derecha.
La lógica del argumento se compone de tres elementos. En primer lugar, distinguimos en términos conceptuales crecimiento económico de desarrollo.[1]. Definimos desarrollo como un proceso de crecimiento económico sostenido que va acompañado de redistribución del ingreso. Al adoptar esta definición de desarrollo nos colocamos dentro de una tradición de pensamiento económico que ha ido ganando en influencia a partir de los trabajos de Amartya Sen, pero que tiene raíces profundas en la teoría económica moderna (desde John Keynes a Gunnar Myrdal) y en el pensamiento "estructuralista" latinoamericano (desde Celso Furtado y Raúl Prebisch a la exigencia de "transformación productiva con equidad" de los textos de CEPAL de la década del 90’)[2].
En segundo lugar, apoyándonos en la línea de investigaciones que consideran posible y necesario distinguir izquierda y derecha (Klingemann, Hofferbert y Budge, 1994; Bobbio, 1995; Boix, 1996; Budge et. al., 2001; Alcántara, 2004), suponemos que los partidos de izquierda priorizan la distribución del ingreso mientras que los partidos de derecha jerarquizan la búsqueda del crecimiento de la economía. No nos parece que esta manera de diferenciar izquierda y derecha sea excesivamente arbitraria. Por el contrario, está relativamente extendida entre políticos, ciudadanos y académicos.
En tercer lugar, asumimos que, en el mediano plazo, existe un trade off entre crecimiento e igualdad. Al gobernar la economía de sus naciones los partidos pueden intentar maximizar ambos objetivos simultáneamente pero solamente por lapsos relativamente breves. Acompañamos, en este caso, el punto de vista predominante en la economía clásica: traspasado cierto umbral, el incremento de los niveles de igualdad puede conspirar contra el dinamismo de la economía.[3] Debe quedar claro que asumir este a priori no implica descartar la validez de los estudios que, como los Persson y Tabellini (1994), demuestran que altos niveles de desigualdad obstaculizan el crecimiento económico.
Teniendo en cuenta que no vamos a dar, en este artículo, el paso de formular un modelo de comportamiento electoral que formalice este supuesto, queremos al menos explicitar cómo suponemos que puede funcionar la economía política de este trade off. Muchos años de gobiernos de izquierda determinan un fortalecimiento de los mecanismos de protección social y de los niveles salariales. Esto termina, a la corta o la larga, conspirando contra el ahorro interno, la inversión y la competitividad de la economía. Los problemas de competitividad, a su vez, frenan la tasa de crecimiento. Esto impacta negativamente en el ingreso de los trabajadores, presiona al alza a la tasa de desocupación y, al caer la recaudación, erosiona la calidad de los servicios públicos. El descontento del votante del electorado tiende a crecer hasta que termina optando por votar por un partido de derecha que le ofrece un set de policies orientado a relanzar la economía. Análogamente, la acumulación de años de gobiernos de derecha estimula la liberalización económica y el debilitamiento de los mecanismos redistributivos y de la intervención del estado para garantizar ciertos niveles de acceso a educación, salud y protección social. A medida que este proceso se agudiza, crece el impacto potencial que sobre el desarrollo podría tener la implementación de las políticas sociales y redistributivas asociadas con la izquierda. Este razonamiento se formaliza en la sección siguiente.
El argumento que se acaba de resumir procura contribuir a la reflexión acerca de la relación entre democracia y desarrollo. Como es sabido, existe un amplio consenso respecto a la relación positiva entre estos dos factores (Przeworski, Alvarez, Cheibub y Limongi, 2000). Sin embargo, permanecen abiertos los debates teóricos acerca de la precedencia y la mecánica de la causalidad. Asimismo, los resultados a los que llegan diversos investigadores dependen fuertemente de las metodologías y datos adoptados.
Uno de los enfoques teóricos que han procurado explicar el vínculo entre democracia y desarrollo proviene de la economía institucional: la probabilidad de cambiar las "reglas del juego" económico abruptamente es más baja en un país democrático que en uno no democrático, dado el complejo sistema de pesos y contrapesos característicos del primero. Esto reduce la incertidumbre económica, atrayendo inversiones y favoreciendo de este modo el crecimiento de la economía. Este enfoque teórico es potente y, por eso mismo, muy popular entre los académicos. Sin embargo, como hemos dicho, tomaremos por una pista diferente. En lugar de un enfoque institucionalista defenderemos una aproximación "partidista".
2. Justificación
De acuerdo a la definición que explicitamos líneas arriba, el desarrollo es un concepto que trasciende el crecimiento económico y que supone una mejora generalizada en las condiciones de vida de la población. Esto requiere que la población disponga de mayores recursos (crecimiento) pero que, a su vez, éstos lleguen cada vez a más individuos (distribución).
De este modo, crecimiento y distribución son dos aspectos necesarios del desarrollo. En el largo plazo, la continuidad de políticas económicas centradas en uno solo de estos aspectos hará que éste pierda capacidad de impacto en el desarrollo y aumente la necesidad del otro, precisamente porque el desarrollo requiere de ambos factores.
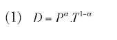
Esta idea la podemos formalizar del siguiente modo. Supongamos que disponemos de una medida del nivel de desarrollo (D), que depende positivamente del nivel de producto per cápita de una economía (P) y del nivel de igualdad en la distribución de recursos (T). Supongamos además que la relación funcional es de tipo Cobb-Douglas, tal como lo muestra la expresión (1), donde 0 < α < 1.

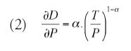
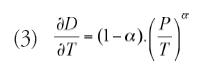
De acuerdo a esta primera expresión, cuanto mayor sea el nivel de producto per cápita y cuanto mayor sea el nivel de igualdad, mayor será el nivel de desarrollo. Ahora bien, de acuerdo a lo expresado arriba, si se aumenta indefinidamente solo uno de los factores dejando el otro constante, su impacto marginal en el desarrollo decrece hasta ser casi cero; en otros términos, aumentar solamente el producto per cápita ó el nivel de igualdad arroja cada vez menos incrementos en el desarrollo (en el límite, estos incrementos son infinitesimales). Esto se refleja en la siguiente característica de la función Cobb-Douglas:
Es decir, los efectos de cada uno de estos factores en el desarrollo son positivos, pero decrecientes. La segunda expresión muestra que el impacto del producto en el desarrollo depende positivamente del nivel de distribución y negativamente del nivel de producto: es decir, cuanto mayor es el producto en relación a la igualdad, menor impacto marginal del producto en el desarrollo. Análogamente, cuanto mayor es el nivel de igualdad, mayor impacto en el desarrollo tendrá un incremento del producto.
La tercera expresión muestra la contraparte: el impacto de la igualdad en el desarrollo (representado por la derivada del desarrollo respecto a la igualdad) será mayor en países que ya tienen altos niveles de producto y bajos niveles de igualdad, y será bajo en países que tienen bajo nivel de producto y alta igualdad.
En definitiva, tal como en la teoría clásica de producción, cuanto más abundante es un factor, más productivo es el otro. En este caso, una sociedad que solamente promueve el crecimiento pero en la que no hay políticas de redistribución, "gastará" el efecto del crecimiento en el desarrollo, y sólo podrá impactar en el desarrollo a través de políticas redistributivas.
Esto refleja la idea de que un gobierno puede ser exitoso en el corto plazo promoviendo un factor de desarrollo u otro, pero en el largo plazo el éxito en términos de desarrollo dependerá de cuán fácilmente pueda transitar de una estrategia de crecimiento a una de redistribución y viceversa. En otros términos, la habilidad de transitar de unas políticas a otras permite un desarrollo equilibrado y sostenible en el largo plazo.
De acuerdo a los objetivos de los partidos de derecha e izquierda mencionados más arriba, la probabilidad de esta alternancia entre políticas de crecimiento y redistribución aumentará en la medida que derecha e izquierda se alternen en el poder. Naturalmente, esto requiere un sistema político democrático que permita la rotación de partidos en el poder y en el cual el crecimiento de una fuerza política opositora no lleve necesariamente a un golpe de estado para retener el poder. De este modo, la democracia permite la rotación de partidos en el poder, que a su vez favorece la aplicación del rango de políticas necesario para promover el desarrollo en el largo plazo.
Según nuestra hipótesis, esta puede una de las razones por la cual democracia y desarrollo están positivamente relacionadas: la democracia es el "vehículo" mediante el cual derecha e izquierda se pueden alternar en el poder, asegurando (o aumentando las probabilidades de) que políticas de crecimiento y distribución se alternen en el largo plazo, favoreciendo el desarrollo.
3. Datos
En este apartado nos ocupamos de determinar en qué medida lo mencionado más arriba es observable.
Con una muestra de 122 países, utilizamos como proxy de desarrollo el Índice de Desarrollo Humano (IDH) calculado por las Naciones Unidas.[4] Este índice agrega una medida del nivel de ingreso (producto bruto per cápita) con dos medidas de bienestar social (educación y salud).
Si bien el desarrollo ampliamente definido incluye varias dimensiones no comprendidas en esta medida (por ejemplo la igualdad de géneros), entendemos que este proxy tiene al menos tres virtudes que lo hacen la opción más razonable para este trabajo: en primer lugar, es un índice estandarizado para varios países que ya ha sido utilizado por varios investigadores en el área de desarrollo. Esto ha llevado a que las sucesivas revisiones y mejoras en su metodología de cálculo lo hagan el índice más extensamente utilizado de desarrollo. En segundo lugar, se ajusta a las dos dimensiones del desarrollo a las que nos pretendemos focalizar: crecimiento y distribución. El IDH no mide la distribución de ingresos directamente (como sí lo hace el Índice de Gini), pero incorpora dos medidas del alcance social de los beneficios de esa riqueza (en educación y salud). En otros términos, entendemos que un país que logre crecer a la vez que mejorar los niveles de educación y salud del grueso de su población, será un país que está creciendo y distribuyendo socialmente los beneficios de ese crecimiento. En tercer lugar, de acuerdo a nuestro marco teórico, nosotros intentamos capturar el efecto en el desarrollo de las políticas redistributivas de los gobiernos de izquierda. Sin embargo, estas políticas redistributivas van más allá de redistribuciones de ingresos (lo cual sería captado con indicadores tipo Gini): las izquierdas también redistribuyen gravando el ingreso y asignando recursos a la educación y a la salud. Por tanto, el efecto de esas políticas se pueden ver más claramente utilizando los indicadores de educación y salud del IDH que a través del Índice de Gini.
En última instancia, sostenemos que nuestra elección del indicador es acertada y que otras medidas de distribución (como Gini) están altamente correlacionadas con la dimensión distributiva del IDH. Esto último no es solo una especulación conceptual: la figura 1 muestra la relación existente entre el índice de Gini y los índices de salud y educación del IDH para un grupo de 126 países en el año 2006. De este gráfico parece desprenderse que en efecto, tomar los indicadores de salud y educación del IDH como proxies de distribución no parece desacertado, y nos permite aprovechar las ventajas ya mencionadas del IDH.
Valores comparables de este índice (obtenidos con la misma metodología) sólo existen para los años 1975, 1980, 1985, 1990, 1995, 2000 y 2004. Esto dificulta (o prácticamente imposibilita) un tratamiento con series de tiempo, ya que la serie comparable de IDH es corta y no continua.
Por razones prácticas, usamos como proxy del signo ideológico del gobierno el signo ideológico del partido de gobierno independientemente de que gobierne solo o en coalición. Los cambios derecha-izquierda los recogemos de la Base de Datos de Instituciones Políticas (Database of Political Institutions, Banco Mundial). Esta base de datos clasifica entre 1975 y 2004 la inclinación política del partido de gobierno de cada país en izquierda, centro, derecha, no aplicable (para los casos que no se ajustan a estas categorías) o sin partido (para los casos en los que no existe un ejecutivo). A nuestros efectos, computamos el número de veces que un país cambió entre derecha, izquierda o centro en el período 1975-2004, y llamamos a esta variable "cambios acumulados".
Agregamos una variable estándar en la literatura para medir el nivel de democracia: la variable Polity de la base de datos Polity IV (del University of Maryland’s Center for International Development and Conflict Management y el George Mason University’s Center for Global Policy). Esta variable asigna valores entre -10 (nada democrático) y 10 (totalmente democrático) a los sistemas políticos de cada país/año. Aquí la tomamos con una leve modificación para facilitar la interpretación de los coeficientes: con "Democracia" nos referimos al valor de esta variable más 10 unidades. En la tabla 1, esta variable aparece promediada para el período 1975-2004.
Adicionalmente, utilizamos dos variables "controles": el promedio 1975-2004 del gasto público como proporción del PBI[5], y la formación bruta de capital fijo como proporción del PBI[6]. El funcionamiento de estos controles se explicitará más adelante.
De acuerdo a nuestra hipótesis inicial, conociendo cómo un país ha transitado por diversos espectros políticos deberíamos tener algún poder de predicción sobre su nivel de desarrollo en 2004. En la tabla 1 ensayamos diferentes modelos de regresiones que tienen como variable dependiente el nivel de IDH en 2004 (ver anexo respecto a los datos y la elección metodológica).
En las seis especificaciones usamos "IDH inicial" como variable explicativa. Con esto nos referimos al IDH de 1975 o en su defecto al primer valor de IDH disponible en la muestra. De los 122 países de la muestra, 94 tienen datos de IDH para 1975. De los restantes, 10 tienen valores en esta variable para 1980. Todos los países tienen un valor de IDH para 1990, de modo que en ningún caso el "IDH inicial" se refiere a índices posteriores a 1990.
En las seis especificaciones el nivel del IDH inicial está asociado positivamente con el nivel de IDH final (2004) y tiene un alto nivel de significación (1%). Este resultado era esperable: lo que dice un coeficiente positivo en esta variable es que los países que inicialmente tenían altos niveles de IDH continuaron teniéndolos en 2004. Este path dependency se debe fundamentalmente a que todos los factores históricos, y muchos factores estables no considerados aquí pero que afectan el desarrollo, siguieron operando a lo largo de todo el período observado.
Es justo decir que dado su valor absoluto, esta variable es la que tiene mayor significación económica y la que determina en mayor medida la varianza de nuestra variable dependiente. Su coeficiente de entre 1.13159 y 1.14897 (dependiendo del modelo) indica que dejando los otros factores constantes, en promedio hubo un aumento del IDH en el período considerado.
La introducción del IDH inicial al cuadrado busca captar "la derivada segunda" de la curva de desarrollo, o cómo varía la tasa de crecimiento del IDH a medida que éste varía. Un signo negativo de este coeficiente indica que los países que tenían un nivel de desarrollo inicial más alto crecieron en promedio menos que aquellos que tenían un nivel de desarrollo menos elevado inicialmente, operando una suerte de convergencia. Si bien esta variable aparece con el signo esperado (negativo), no es significativa al 10% en ninguno de los 6 modelos.
El gasto público como porción del PBI aparece como significativo al 1% en los seis modelos, y tiene el signo esperado (negativo). Esto significa que en promedio, los países cuyo gasto fue mayor en relación al PBI tienden a tener un IDH menor. La formación bruta de capital fijo como porción del PBI aparece significativa al 5% en los seis modelos y tiene el signo esperado (positivo), o sea que los países que recibieron mayor inversión en el período 1975-2004 tienden a tener un mayor IDH en 2004.
Estos controles en los seis modelos nos aseguran que los efectos de los cambios del partido de gobierno en el IDH no operan a través de la inversión o de preferencias en el gasto público: incorporar estos dos controles implica que estos factores quedan constantes al observar el efecto de otros factores en el IDH. Volveremos sobre este punto más adelante.
La variable "cambios acumulados" también tiene el signo esperado (positivo), y es significativa al 10% en dos de los modelos en los que aparece. Esto comienza a sugerir que los países con mayor índice de desarrollo humano en 2004 han tenido más cambios en el signo político del partido en el poder, lo cual va en la línea de nuestra hipótesis inicial.
La variable "democracia" aparece en tres modelos, y en los tres tiene un signo negativo y es altamente insignificativa. Esto sugiere que la democracia per se no tiene un efecto significativo en el desarrollo, sino que ésta solo opera como vehículo de otros factores (en el caso de nuestra hipótesis, del cambio del signo político del partido en el poder).
En el tercer modelo, cuando aparece un término de interacción, tanto la variable "cambios acumulados" como "democracia" pasan a tener un coeficiente no significativo al 10%. De acuerdo a Brambor, Clark y Golder (2006) esto significa que podemos no incluir alguno de los componentes del término de interacción. Esto es lo que hacemos en los modelos 4 y 5, mientras que en el modelo 6 eliminamos ambos componentes del término de interacción. En este último modelo, el signo positivo y significativo al 10% del término de interacción sugiere que los cambios acumulados tienen un mayor impacto en el IDH cuanto más democráticos son los países. Esto es, el efecto en el IDH de un aumento marginal en el número de cambios es mayor cuanto mayor es el nivel de democracia.
La interpretación teórica de esto último parece interesante: cuanto más "libre" es el sistema político, mayor es el impacto que un cambio de signo político en el poder puede tener sobre el nivel del IDH, lo cual también va en la línea de nuestra hipótesis inicial, ya que el efecto positivo del cambio de partidos en el desarrollo requiere de un sistema democrático que funcione correctamente. Sólo si el sistema democrático funciona aceitadamente podemos hablar de partidos de izquierda y derecha que funcionan como agentes en competencia política, ofreciendo sets de políticas alternativas a las del gobierno. Si la democracia no funciona correctamente, las diferencias entre los partidos se desdibujan y las políticas aplicadas pueden responder a intereses específicos del grupo gobernante y no necesariamente a políticas de izquierda o derecha tal como las identificamos aquí.
Ahora bien, de los seis modelos planteados, la especificación más adecuada (de acuerdo a los criterios de Akaike, Schwarz y R-cuadrado ajustado) parece ser la de los modelos 1 y 6. En ambos casos, los cambios acumulados tienen un efecto positivo y significativo en el IDH, lo cual apoya nuestra hipótesis inicial. Dados los controles que estamos utilizando, podemos descartar una relación espuria que opere a través de factores que afecten tanto a la rotación en el gobierno como al nivel de desarrollo: pensemos por ejemplo en un país poco polarizado, en el cual el cambio en el poder sea frecuente, pero en el que a su vez la baja polarización favorezca la inversión y por ende el desarrollo. En el caso de nuestros modelos, al utilizar la variable "formación bruta de capital fijo / PBI" como control, nos aseguramos que el canal descrito no opere generando una relación espuria.
Volvamos un momento a nuestra hipótesis inicial. De acuerdo a la misma, el vaivén entre izquierda y derecha favorece en el largo plazo al desarrollo. Sin embargo, también puede argumentarse que este vaivén genera incertidumbre respecto al futuro que, a su vez, puede afectar las chances de desarrollo. De hecho, algunos estudios muestran que a medida que crece la frecuencia de la alternancia de los partidos en el gobierno empeoran algunos los resultados económicos como el desempeño fiscal o la inflación (Grilli, Masciandaro y Tabellini, 1991; Calcagno y Escaleras, 2006).
Los datos parecen sugerir que esto último no ha operado. En efecto, la figura 2 muestra que la mayor variabilidad en las tasas de cambio del IDH se ha dado en los países donde ha habido menos cambios de signo político. Los países que han cambiado más veces de signo político ven reducida la incertidumbre sobre el desarrollo, lo cual se refleja en una menor varianza de los datos a medida que aumenta el número de cambios. Esto arroja la forma piramidal que se presenta en la figura 2.
En el marco de nuestra hipótesis, entendemos que una posible explicación de esta observación es la siguiente: en un sistema democrático establecido, el cambio de partido en el gobierno no genera incertidumbres que afecten fuertemente el funcionamiento de la economía. En la medida que las libertades individuales y el derecho a la propiedad privada se respeten (pilares básicos de la democracia moderna), el desarrollo es posible con un partido de cualquier signo en el poder.
Por el contrario, quizás lo que genera más incertidumbre para el desarrollo es la concentración del poder y la carencia de alternativas serias, lo cual genera una incapacidad de adaptación a nuevos escenarios. En este caso hay un problema de accountability: el partido o grupo en el poder no debe rendir cuentas, o si rinde cuentas no hay fuertes penalizaciones ya que no existen alternativas políticas opuestas con serias posibilidades (puede existir oposición con posibilidades, pero no de un signo contrario). Esto le da al uso del poder una discrecionalidad que genera incertidumbres y riesgos.
En definitiva, la rotación de partidos en el poder parece tener un efecto positivo en el largo plazo, y no un efecto negativo por el lado de la incertidumbre. Para evaluar posibles efectos de más corto plazo, reconstruimos los modelos (1) a (4) de la tabla 1 para el período 1975-1990. El resultado fue que ninguna de las variables relacionadas con los cambios de partido en el poder fue significativa siquiera al 10% para explicar el nivel de desarrollo. En principio, esto puede tener dos explicaciones: (i) los partidos políticos cambiaron sustancialmente en las últimas 2 décadas, de modo que los cambios de partido en el período 1975-2004 tienen un impacto diferente que los cambios de partido en el período 1975-1990; (ii) el período 1975-1990 es demasiado corto como para observar movimientos en el desarrollo como consecuencia de cambios en el partido político en el poder.
Aquí preferimos una explicación como la segunda, al menos por dos razones. Primero, el criterio utilizado por los creadores de la base de datos para definir si un partido es de izquierda, derecha o centro es el mismo para todos los años. Segundo, los períodos de gobierno democráticos observables en la base de datos son en su mayoría de entre 4 a 6 años. De este modo, observar cambios acumulados (como hacemos aquí) requiere la acumulación de períodos de 4 a 6 años. Observar esta acumulación en un período de 15 años (como entre 1975 y 1990) no permite diferenciar demasiado entre aquellos países en los que hay gran rotación y los que hay escasa rotación de partidos en el poder. Esto es consistente con nuestra hipótesis inicial de que el efecto de la rotación de los partidos en el poder es observable en el largo plazo. Asimismo, esto pone en evidencia la imposibilidad de trabajar con estos datos en formato serie de tiempo, ya que los efectos parecen producirse en períodos suficientemente largos como para que no sean observables en períodos más cortos al largo máximo de la serie disponible.
4. Los datos en perspectiva
En nuestra base de datos, el IDH inicial promedio de los países que no tuvieron cambios acumulados de partido en el gobierno entre 1975-2004 es 0.536. De acuerdo al modelo 1, esto significa que si un país promedio de este grupo hubiera tenido por ejemplo 5 cambios de partido en el gobierno (y asumiendo que todos los demás factores hubieran quedado constantes), el IDH hubiera llegado en promedio a 0.572, o sea, hubiera incrementado aproximadamente un 6.8%.
Ahora bien, dado que los demás factores no quedaron constantes (hubo incrementos de PBI, aumentos en la tasa de alfabetización y mejoras en la salud), el IDH de este grupo llegó en 2004 a un promedio de 0.637, es decir, tuvo un aumento promedio del 18.8%. Esto significa que 5 cambios de partido en el gobierno hubieran agregado un incremento del IDH de poco más de un tercio del incremento efectivamente registrado por la vía "directa" de mejoras en los ingresos, la educación y la salud.
En el caso de máxima, asumiendo que en el período se hubieran registrado 8 cambios en el poder (aproximadamente 1 cada 4 años), el modelo 1 permite estimar que el aumento del IDH por esta razón hubiera llegado al 10.8%, es decir, a casi tres quintas partes del aumento total observado. Esto pone de manifiesto la importancia del factor que estamos observando: para lograr este aumento del 10.8% en el IDH mediante incrementos del PBI, un país de este grupo hubiera necesitado incrementar su PBI casi un 1% anual acumulado durante el período observado.
El modelo 6 permite hacer estimaciones del impacto en el IDH de cambios de orientación en el partido del gobierno y en el nivel de la democracia. El nivel de democracia durante el período observado fue en promedio 8.27 para los países en los que no hubo cambio de partido en el poder (recordemos que nuestro índice de democracia varia entre 0 y 20, donde 0 es nada de democracia y 20 es total democracia).
Incorporar el efecto de la democracia cambia las perspectivas del análisis anterior: de acuerdo al modelo 6, si el nivel promedio de la democracia no cambiara en los próximos 30 años (permaneciendo en 8.27), entonces 8 cambios en la orientación del partido en el poder incrementarían el IDH en un 4.8%. Si bien esto no es despreciable (en promedio un país de este grupo debe aumentar su PBI en 0.5% acumulado anual durante 30 años para lograr este aumento del IDH), resulta bastante menor que los efectos estimados con el modelo 1 (cuando no se incorporaba el efecto de la democracia).
En el caso de máxima, asumiendo que en un país de este grupo la democracia llegara a su valor máximo de 20 puntos, 8 cambios acumulados reportarían un incremento del IDH de aproximadamente 11.7%, algo por encima de la estimación de máxima del modelo 1.
En definitiva, los coeficientes estimados no son solo significativos estadísticamente, sino también son significativos económicamente: los efectos encontrados son relevantes, y permiten concluir que la rotación de partidos en el poder tiene un efecto significativo en el desarrollo en el largo plazo.
5. Implicancias para América Latina
¿Qué es lo que los resultados aquí obtenidos agregan al analizar la reciente serie de triunfos electorales de la izquierda en América Latina? Podemos caer en la tentación de concluir que el efecto de la rotación del signo del partido en el poder es simplemente benéfico para el desarrollo en el largo plazo.
Sin embargo, esto implicaría olvidar el prerrequisito institucional discutido previamente: para que la rotación del signo del partido en el poder tenga un impacto positivo en el desarrollo de largo plazo, los partidos políticos deben funcionar en un contexto democrático saludable. De aquí se desprende la doble responsabilidad de las izquierdas latinoamericanas en el gobierno: al esfuerzo por introducir políticas de izquierda deben sumarle un esfuerzo por mejorar el funcionamiento democrático del sistema político.
En particular, el advenimiento de la izquierda introduce un factor de riesgo importante: si la izquierda no lograra satisfacer las demandas del electorado la legitimidad del sistema democrático como herramienta de búsqueda de alternativas políticas podría verse debilitada. En otros términos, hay una retroalimentación entre los dos niveles de responsabilidad identificados aquí: si falla lo "sustancial" (la introducción de políticas de izquierda), se debilita lo formal (la democracia). Desde luego, esta retroalimentación amplifica los efectos negativos pero también los positivos: mejores resultados en el contenido de las políticas pueden reforzar la democracia, lo cual a su vez permite que la rotación de partidos impacte positivamente al desarrollo en el largo plazo. De este modo, la llegada de la izquierda al poder en América Latina viene cargada de oportunidades pero también de alertas.
Mejorar el funcionamiento democrático del sistema político implica, también, hacer institucionalmente posible la derrota del gobierno y el triunfo de la oposición. Llevado hasta sus últimas consecuencias lógicas, el enfoque partidista del desarrollo implica aceptar que el mejor escenario para el desarrollo de los países latinoamericanos es que la actual "ola" de triunfos electorales de izquierda sea seguida por una "contraola" de victorias de los partidos de derecha. No es la izquierda la que logrará sacar a América Latina del subdesarrollo. Tampoco es la derecha. Si nuestro argumento es correcto, es la rotación entre ambas en el marco de un sistema democrático cabal.
6. Conclusiones
En este trabajo hemos puesto a prueba la hipótesis de que la rotación de partidos de signo ideológico distinto en el gobierno aumenta las probabilidades del desarrollo de las naciones a largo plazo.
Para que esto ocurra se deben verificar tres condiciones. En primer lugar, evidentemente, es imprescindible que la rotación sea posible. Esto requiere de elecciones realmente libres y de un sistema democrático cabal. Esto se puso de manifiesto en nuestra sexta regresión: allí se muestra cómo mayores niveles de democracia aumentan el impacto que los cambios de partido tienen en el desarrollo (mayores niveles de democracia significan que un cambio de partido tiene mayor efecto en el desarrollo).
En segundo lugar, es necesario que el set de policies ofrecida por los partidos de izquierda y derecha se ajusten a la definición que hemos manejado en este trabajo, es decir, que los partidos de izquierda prioricen la igualdad y que los partidos de derecha maximicen la búsqueda del crecimiento.
En tercer lugar, nuestro modelo supone que los partidos políticos tienen definiciones ideológicas relativamente estables, es decir, que los partidos de izquierda no adoptan fácilmente el set de políticas de los de derecha (y viceversa). Desde luego, existen numerosos ejemplos a nivel comparado de partidos políticos llevan a cabo desde el gobierno políticas distintas a las que en principio deberían haber implementado tomando en cuenta su matriz ideológica.[7] Sin embargo, consideramos que estos casos son excepcionales y que, en términos teóricos, puede aceptarse que la propia dinámica política termina obligando a los partidos a no ser excesivamente inconsistentes respecto a sus planteos históricos (Klingemann, Hofferbert y Budge 1994: 23-24).
Las tres condiciones a las que acabamos de hacer referencia son esencialmente políticas. El desarrollo requiere democracia y sistemas de partidos portadores de preferencias estables y diferentes en el plano de las estrategias de desarrollo. Mirado desde este punto de vista, el desafío del desarrollo abandona el terreno de las ideas económicas y se instala en el de los debates acerca de cómo construir instituciones democráticas sólidas, sistemas de partidos institucionalizados y ciudadanos capaces de ejercer con lucidez sus derechos políticos.
Según la clásica formulación de Sen, una sociedad se va desarrollando a medida que los individuos pueden ejercer mejor su capacidad de elección: "La expansión de la libertad es tanto el fin primordial del desarrollo como su medio principal" (Sen 1999: 16). Este documento, por un camino distinto, termina reforzando esa misma intuición: el desarrollo de las naciones requiere que los ciudadanos puedan optar, libre e informadamente, una y otra vez, entre alternativas de políticas significativamente diferentes.
Finalmente, la falta de datos no nos permite corroborar nuestra hipótesis de una manera más terminante. Esto requeriría la confección de series de tiempo que permitan concluir sobre la causalidad de la relación que aquí señalamos. Para poder confeccionar estas series de tiempo, será necesario disponer de series de IDH comparables más largas que las actualmente disponibles, o disponer de algún proxy de desarrollo más confiable del cual existan series más largas. Esta es una tarea para futuras investigaciones.
Bibliografía
Álvarez, Jorge, Luis Bértola y Gabriel Porcile (comps.) (2007). Primos ricos y empobrecidos. Crecimiento, distribución del ingreso e instituciones en Australia y Nueva Zelanda versus Argentina y Uruguay. Fin de Siglo: Montevideo.
Alcántara, Manuel (2004). ¿Instituciones o máquinas ideológicas? Origen, programa y organización de los partidos latinoamericanos. ICPS: Barcelona.
Bielschowsky, Ricardo (1998). "Cincuenta años del pensamiento de la CEPAL: una reseña", en Cincuenta años de pensamiento en la CEPAL, Volumen I. Santiago de Chile: CEPAL.
Bielschowsky, Ricardo (2000). Pensamento Econômico Brasileiro. O ciclo ideológico de desenvovimentismo. Río de Janeiro: Contraponto.
Bobbio, Norberto. (1995). Derecha e izquierda. Razones y significados de una distinción política. Madrid: Taurus.
Boix, Carles. (1996). Partidos políticos, crecimiento e igualdad. Estrategias económicas conservadoras y socialdemócratas en la economía mundial. Madrid: Alianza Universidad.
Brambor, Thomas, William Roberts Clark y Matt Golder (2006). "Understanding Interaction Models: Improving Empirical Analyses", Political Analysis 14(1): 63-82.
Budge, Ian, Hans-Dieter Klingemann, Andrea Volkens, Judith Bara, y Eric Tanenbaum (2001). Mapping Policy Preferences. Oxford and New York: Oxford University Press.
Calcagno, Peter T. y Monica Escaleras (2006). "Party Alternation, Divided Government, and Fiscal Performance within U.S. States", Department of Economics, College of Business, Florida Atlantic University, Working Paper 06006.
Garcé, Adolfo (2000). "Las ideologías de los partidos políticos en el gobierno de la economía", en Nueva Sociedad Nº 170, Caracas. Disponible en: http://www.nuso.org/revista.php?n=170
Grilli, Vittorio, Donato Masciandaro, Guido Tabellini (1991). "Institutions and policy", en Economic Policy, Vol. 6 (13): 342-392
Klingemann, Hans-Dieter, Richard I. Hofferbert e Ian Budge (1994). Parties, Policies and Democracy. Boulder, Colorado: Westview Press
Ocampo, José Antonio (2005) "Tres principios para una buena relación entre economía y democracia", en Revista Puente @ Europa, nº4. Available in: www.obreal.unibo.it
Persson, Torsten y Guido Tabellini (1994). "Is Inequality Harmful for Growth?", en The American Economic Review, Vol. 84(3): 600-621
Przeworski, Adam, Miguel E. Alvarez, José Antonio Cheibub y Fernando Limongi (2000). Democracy and Development: Political Institutions and Well-Being in the World (1950-1990). Cambridge: Cambridge University Press.
Rodríguez, O. (2006) El estructuralismo latinoamericano. Santiago de Chile: CEPAL.
Sen, Amartya. (1988) "The Concept of Development". In H. Chenery and T.N. Srinivasan (eds.) Handbook of Development Economics, Volume 1. Amsterdam: Elsevier Science Publishers.
Sen, Amartya. (1999). Desarrollo y Libertad, Barcelona: Planeta
Sunkel, Osvaldo y Pedro Paz (1973). El subdesarrollo latinoamericano y la teoría del desarrollo. México: Siglo XXI.
® Artículo recibido el 2 de mayo de 2008 y aceptado para su publicación el 13 de agosto de 2008
Anexo
Como el IDH se mide entre 0 y 1, por construcción los países cuyo IDH puede crecer más son los países con un IDH inicial relativamente bajo, lo cual crea una convergencia condicional artificial. Esto no llega a configurar un caso de variable dependiente censurada, ya que los datos están disponibles para todos los países, y no hay una "no observación" de ciertos rangos de la variable dependiente.
Sin embargo, entendemos que el IDH es el indicador de desarrollo más completo que disponemos para un set de países tan extenso. Otros investigadores han usado datos de producto bruto interno (PBI) como proxy del desarrollo. Nosotros explícitamente hemos descartado esa variable, ya que preferimos usar una medida que dé cuenta de efectos redistributivos. Adicionalmente, todas las predicciones de los modelos estimados caen dentro del rango 0-1.
Como mencionamos arriba, las Naciones Unidas sólo proporcionan valores comparables del IDH (obtenidos con la misma metodología) para los años 1975, 1980, 1985, 1990, 1995, 2000 y 2004. Esto dificulta (o imposibilita) la tarea del análisis de series de tiempo, razón por la cual nos inclinamos hacia un análisis cross-country, pese a que, como ya señalamos más arriba, el análisis de series de tiempo sería una forma más robusta de testear nuestra hipótesis. Un ejemplo de lo corto de las series para realizar análisis de serie de tiempo emerge de nuestro análisis de los datos para el período 1975-1990, cuyos resultados comentamos junto a los resultados empíricos.
Notas
* Numerosos colegas nos ayudaron de diversas formas. Algunos leyeron y comentaron versiones anteriores de este documento: Carlos Boix (Princeton University-EEUU), Hugo Borsani (Universidad Estadual del Norte Fluminense-Brasil), Fabricio Carneiro (Instituto de Ciencia Política-Uruguay), Carlos Casacuberta (Departamento de Economía-Uruguay, Rosario Queirolo (Universidad de Montevideo), Federico Traversa (Instituto de Ciencia Política-Uruguay) y Tony Cleaver (Durham University, Reino Unido). Otros, como Luis Lazarov (Cinve-Uruguay) y Lucía Pittaluga (Instituto de Economía-Uruguay), nos aclararon algunos conceptos económicos. Finalmente, Roberto Porzecanski (Tufts University-EEUU) y Octavio Rodríguez (Instituto de Economía-Uruguay) nos sugirieron textos y nos facilitaron lecturas. También nos resultaron muy útiles las observaciones y sugerencias del árbitro anónimo. A todos ellos nuestro mayor reconocimiento.
** Adolfo Garcé es Profesor e Investigador del Instituto de Ciencia Política, Facultad de Ciencias Sociales, Universidad de la República. Mauricio Armellini es Licenciado en Ciencia Política, M.A. en Economía, y candidato a doctor por la Durham University (Reino Unido).
[1] Sobre el surgimiento y la evolución del concepto de desarrollo en la teoría económica puede leerse Sen (1988:10-26) y Sunkel y Paz (1973:17-22).
[2] Sobre el pensamiento de la CEPAL ver Bielschowsky (1998; 2000) y Rodríguez (2006).
[3] Una excelente presentación del debate reciente sobre desarrollo, distribución del ingreso e instituciones puede verse en Álvarez, Bértola y Porcile (2007:17-27).
[4] La definición del IDH puede leerse en: http://hdr.undp.org/en/statistics/indices/hdi/question,68,en.html
[5] Fuente: Alan Heston, Robert Summers y Bettina Aten; Penn World Table Version 6.2, Center for International Comparisons of Production, Income and Prices de la University of Pennsylvania, Setiembre 2006
[6] Fuente: World Bank Development Indicators Database
[7] El caso del peronismo durante la primera presidencia de Carlos Menem (1989-1995) es el mejor ejemplo latinoamericano de mutación de preferencias políticas a gran escala. En este caso, se registró un fuerte viraje desde un set de políticas de corte nacionalista y estatista hacia otro de corte neoliberal.













