Introducción
La determinación del consumo de materia seca (MSI) es imprescindible para conocer la cantidad de nutrientes disponibles para las funciones de mantenimiento, producción y preñez del animal (NRC, 2001). En condiciones de pastoreo, la medición directa de la ingesta de forraje de rumiantes no es simple de implementar ya que no se dispone de metodologías simples y precisas. Las estimaciones del consumo de forraje en forma indirecta con marcadores externos (suministrados por vía oral) o internos (empleando compuestos presentes en el alimento) son alternativas disponibles que permiten lograr resultados confiables. Según Owens y Hanson, 1992, un adecuado marcador no debe ser absorbido o afectado por el tracto digestivo, no debe influir en la fermentación ruminal, debe ser posible de detectarse a bajas concentraciones, debe ser inerte y no tóxico. Varios estudios han utilizado el dióxido de titanio (TiO2) como marcador externo para la estimación de consumo en rumiantes en pastoreo (Glindemann y col.,2009; Müller y col., 2012; Sampaio y col.,2011). Esta técnica fue reportada originalmente por Short y col., 1996, en pollos, luego Titgemeyer y col., 2001, reportan el uso de TiO2 en bovinos. De Souza y col., 2015, concluyen que el uso de TiO2 como marcador externo es más preciso que el cromo (Cr2O3) por lo que recomiendan su utilización para la determinación de consumo en condiciones pastoriles.Asimismo, Titgemeyer y col., 2001, reportan que el uso de TiO2 como marcador es una alternativa viable al uso del Cr2O3 ya que se trata de un aditivo de la dieta animal totalmente inocuo sobre la salud humana. Por otra parte, el período para lograr el equilibrioentre el consumo y la excreción del TiO2 es más breve respecto a la utilización de otros marcadores ya que serían suficientes 5 días luego de la administración inicial para lograr este equilibrio (Glindemann y col., 2009).
En Uruguay, las mediciones de consumo de forraje en condiciones pastoriles extensivas se han realizado utilizando principalmente la metodología de oferta y rechazo de forraje (Beretta y col.,2013). Si bien a partir de esta metodología se ha generado valiosa información para el país, la misma es cuestionada por Latinga y col., 2004, debido a imprecisiones vinculadas a factores como el tamaño, número y distribución de los puntos de muestreo así como la altura de corte y el tipo de pastura.
Los modelos o ecuaciones de predicción de la MSI en rumiantes son herramientas alternativas a la medición, ampliamente utilizadas en la práctica para estimar los requerimientos nutricionales y facilitar la presupuestación de la dieta animal. Sin embargo, la precisión de estas ecuaciones depende en gran medida de la inclusión en su algoritmo de factores del animal, de la dieta, del ambiente o del manejo que puedan afectar la MSI (Fuentes-Pila y col., 1996).
Elobjetivo de este estudio es evaluar el comportamiento de la técnica de TiO2 para la medición del consumo de la MSI respecto a tres ecuaciones de predicción, y cuantificar el efecto de la calidad de las pasturas sobre las determinaciones.
Materiales y métodos
Para este estudio se utilizaron los datos de un experimento realizado en la Estación Experimental de INIA La Estanzuela, Colonia (Uruguay), durante el invierno y la primavera del año 2013. Todos los procedimientos que implican animales fueron aprobados por el Comité de Bioética del Instituto Nacional de Investigación Agropecuaria (INIA-Uruguay).
Diseño Experimental, Animales, Tratamientos y Manejo
Se emplearon 20 vaquillonas Hereford de 24 meses de edad promedio y se utilizó un diseño experimental cruzado incluyendo dos tipos de pastura y dos períodos experimentales de 13 días: ocho días de adaptación a la dieta y cinco días de medición. Los animales estuvieron permanentemente bajo condiciones de pastoreo y fueron agrupados en función del peso vivo (PV) inicial y asignados aleatoriamente (n=10) a cada tipo de pastura. El peso promedio de cada lote al inicio del período de mediciones fue de: 393,05 ± 27,53 y 397,65 ± 26,47 kg.
Los animales pastorearon dos pasturas de calidad contrastante: una pastura de alta calidad (pastura implantada, PI) compuesta principalmente por Cebadilla(Bromus catharticus) y Trébol rojo (Trifolium pratense); y otra de baja calidad (campo natural degradado, CND) con predominancia de gramilla(Cynodon dactylon) y Paspalum sp. El pastoreo fue realizado en franjas diarias, con una asignación inicial del 5% del PV a fin de no restringir el consumo en pastoreo. La disponibilidad inicial de forraje (medido por encima de 5 cm) se determinó en cada franja diaria mediante corte manual diario de la pastura en tres puntos elegidos al azar utilizando cuadros de 0,2 m2. Las mediciones para los dos tipos de pastura se realizaron en dos momentos del año: invierno y primavera. Dentro de cada estación, se realizaron dos períodos experimentales cruzando los animales alternando las pasturas. Los datos de composición química obtenidos en dichos experimentos se presentan en el Cuadro I.
Para la determinación de la composición química de las muestras de forraje las mismas se pesaron en fresco y se llevaron a estufa a 60 ºC durante 48 horas. La materia seca (MS) y la proteína cruda (PC=N*6,25) se analizaron de acuerdo con AOAC, 1990, métodos ID 934.01 e ID 955.04. La fibra detergente neutro (FDN) fue analizada con amilasa estable al calor y sulfito sódico y la fibra detergente ácido (FDA) fue determinada de acuerdo a Van Soest y col., 1991. La digestibilidad in vitro (DMS) fue determinada de acuerdo con Terry y Tilley, 1964.
Determinación de la materia seca ingerida
En cada experimento la MSI (kg d-1) fue determinada utilizando la técnica del TiO2 como marcador externo (Short y col.,1996). El TiO2 fue suministrado diariamente a razón de 10 g/animal. Dadas las condiciones extensivas en las que se realizó el trabajo, esta dosis se suministró una vez al día durante la mañana, siempre en el mismo horario, de acuerdo con Titgemeyer y col., 2001. Para asegurar una adecuada recuperación del marcador en heces y lograr la estabilización ruminal del TiO2 (Glindemann y col., 2009) los animales realizaron un período de acostumbramiento de ocho días durante el cual se les suministró el TiO2 en la forma descrita anteriormente. La dosificación se realizó utilizando cápsulas de gelatina de cerdo (Torpac®, Miami, USA), las cuales fueron suministradas a los animales a través de un lanza-bolo comercial. Durante el período de mediciones se colectaron diariamente las heces de cada animal vía rectal, una vez al día durante la mañana. Las mismas fueron pesadas individualmente y se llevaron a estufa a 60°C durante 48 horas para la determinación del contenido de MS. A partir de las colectas diarias, se obtuvo una muestra compuesta por animal en cada período de medición, confeccionada utilizando 2 g del total de sus heces colectadas diariamente que se mezclaron y molieron utilizando un tamiz con malla de 1 mm. La concentración de TiO2 en heces se analizó utilizando el procedimiento descrito por Myers y col., 2004. Para ello se tomó una submuestra de heces de cada muestra compuesta por animal. La submuestra fue pesada y su materia orgánica extraída en horno de mufla durante 13 horas a 580 ºC la que posteriormente fue digerida utilizando H2SO4 7,4 M. Con un previo filtrado y dilución la muestra se llevó a un espectrofotómetro (Thermo, GENESYS 10S UV-Vis, USA) donde se realizó la lectura colorimétrica a 410 nm. Al mismo tiempo se elaboró una escala a partir de una solución patrón de 300 ppm de Ti obteniendo un rango de 0 a 30 ppm de Ti, la cual permitió obtener los valores de Ti en heces y la posterior estimación de la MSI (kg d-1).
La producción de MS fecal (kg d-1) se calculó a partir de la dosis de TiO2 y de la concentración de TiO2 en las heces utilizando la ecuación 1, de acuerdo con Priggey col., 1981.
MS fecal (kg d -1 ) = dosis de TiO 2 (mg d -1 )/concentración de TiO 2 en heces (mg kg -1 ) (1)
La MSI (kg d-1) de cada animal se calculó a partir de los gramos de MS en heces excretadas y la digestibilidad (DMS) del alimento consumido (pastura o campo degradado en este caso) de acuerdo a Corbett y Freer, 1995, ecuación 2:
MSI (kg d -1 ) = MS fecal (kg d -1 ) × 100/(100 - DMS) (2)
Los datos de MSI, para invierno y primavera, obtenidos a partir de la estimación con TiO2 fueron comparados con los valores obtenidos para cada animal y periodo de medición, a partir de tres metodologías de predicción seleccionadas. La primera metodología se basa en una ecuación del NRC, 2000, desarrollada para ganado de carne en crecimiento (ecuación 3, NRC-a) que utiliza el PV como única variable de predicción:
MSI (kg d -1 )= 1,8545 + 0,01937*Peso Vivo inicial (3)
La metodología de Mertens, 1994, desarrollada para ganado de carne se basa en dos ecuaciones sucesivas (ecuaciones 4 y 5) y utiliza el PV animal y el contenido de FDN en la dieta:
FDNI (kg d -1 ) = 1,1*(PV kg/100) (4)
MSI (kg d -1 ) =FDNI (kg d -1 ) /FDN dieta kg/kg MS (5)
Por último, se empleó una segunda ecuación del NRC, 2000, desarrollada para vaquillonas (ecuación 6, NRC-b) que utiliza además del PV animal, las concentraciones de PC y FDA del forraje:
MSI (kg d -1 )= (0,002774*PC (%)-0,000864*FDA)*PV 0,75 (6)
Análisis Estadísticos
Se realizaron estudios de regresión lineal simple entre los datos de MSI observados (TiO2) y los predichos por las ecuaciones mencionadas, mediante PROC REG de SAS (versión 9.0; SAS Institute, Cary, NC, USA). Para las diferentes pasturas, los datos de consumo se compararon por ANOVA. Se aplicó el test de Dixon, 1951, para detección de outliers, empleando el criterio de eliminación de los valores que superaran 3 desvíos estándar respecto a la media. Los resultados fueron considerados significativamente diferentes cuando P<0,05.
Resultados
El análisis conjunto para los dos pasturas en invierno y primavera (Figura 1) mostró que las asociaciones entre la MSI observada con TiO2 y las estimadas por Mertens, 1994 y NRC-b fueron mayores y con menores errores de predicción que la relación obtenida utilizando los valores predichos por NRC-a.

Figura 1: Relación entre la MSI observada (TiO2) y predicha por NRC-a, por Mertens (1994) y por NRC-b para el conjunto total de datos (n=80).
Al separar los datos por estación (Figura 2) se observa que las asociaciones entre la MSI observada (TiO2) y las ecuaciones de predicción de consumo fueron mayores en primavera respecto al invierno, para todos los casos. Dentro de la primavera, la mayor relación entre los valores observados y los predichos se encontró utilizando la ecuación reportada por Mertens (1994) (R2=0,57), mientras que el menor error de predicción se evidenció utilizando la NRC-b (RMSE= 1,93 kg d-1).

Figura 2: Relación entre la MSI observada (TiO2) y predicha por las ecuaciones en invierno y en primavera. Las ecuaciones corresponden a NRC-a, Mertens (1994), y NRC-b.
En cuanto a los valores absolutos observados con TiO2 y los predichos, la utilización de las ecuaciones de Mertens (1994) y la NRC-b mostraron un mejor ajuste a la línea 1:1 respecto a la MSI predicha por la ecuación NRC-a. Como se desprende de las ecuaciones de regresión (Figuras 1y2), los valores absolutos obtenidos por la determinación con TiO2 siempre fueron mayores a los predichos por cualquiera de las metodologías de predicción seleccionadas para este trabajo.
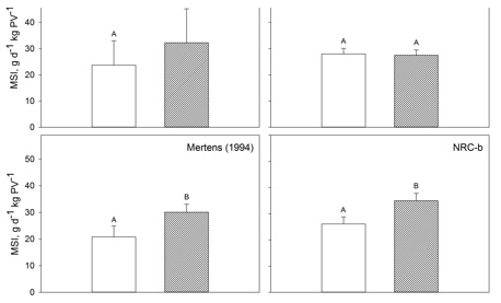
Los resultados obtenidos con la técnica de TiO2, tanto en CND como en PI (Figura 3), muestran una mayor variabilidad entre todas las observaciones que los mismos resultados predichos por cualquiera de las tres metodologías utilizadas. La MSI media observada fue significativamente inferior en CND que en PI (23,72 ± 9,32 vs. 33,67 ± 15,05 g MSI/kg PV, respectivamente). La MSI estimada con la ecuación NRC-a no mostró diferencias significativas entre tratamientos, con la misma variabilidad entre observaciones.

Figura 3: Variabilidad de la MSI medida por TiO2 y predicha por NRC-a, por Mertens (1994) y por NRC-b, según tipo de pastura.
Discusión
El ajuste del conjunto global de datos entre los obtenidos con la técnica de TiO2 y predichos fue en general bajo y extremadamente bajo cuando la metodología de predicción no incluye en su algoritmo ningún atributo de las pasturas, como es el caso de la metodología NRC-a. Los ajustes mejoraron con pasturas de calidad más alta, probablemente debido a que una mejor calidad de la pastura implicó una mayor proporción de PC, menor contenido de FDN y mayor DMS (Cuadro I), componentes de la dieta que tienen un efecto marcado sobre el consumo animal.Forbes, 2007, plantea que la ingesta inadecuada de proteínas llevaría a un menor consumo por interferencias con otros nutrientes. Además, es sabido que las dietas con muy bajo aporte proteico causan una insuficiente multiplicación de la población microbiana que termina disminuyendo el consumo (Delagarde y col., 1999). Esto podría explicar los resultados de menor consumo animal observado en CND en invierno cuando los niveles de PC fueron más bajos (media= 9,41%) y cercanos a los límites inferiores que afectan el consumo (Milford y Minson, 1966). Por otro lado, tradicionalmente se ha vinculado el consumo de forraje en rumiantes con su contenido de FDN (Van Soest, 1967). Van Soest, 1994, reporta que existe un umbral de concentración de FDN en el forraje (aproximadamente 50%) por encima del cual se genera disconfort en el animal, deprimiendo el consumo por efecto de llenado. En el presente trabajo, en CND el alto contenido de FDN, principalmente en invierno (media=70,42%), puede haber generado un efecto de este tipo, que explicaría el menor consumo observado para dicho tratamiento. A su vez, la ecuación de predicción de Mertens, 1994, que toma en cuenta la FDN además del PV animal, fue la que mostró la mayor asociación con la medición directa, aunque puede considerarse regular (R2=0,57) en primavera, con niveles medios de FDN de aproximadamente 50%. Sin embargo, la asociación fue inaceptable para los forrajes en invierno (R2=0,13). Para este grupo de datos se detectaron un conjunto de 4 valores de consumo más altos que lo esperable para animales de esta categoría de acuerdo con la información existente (NRC, 2000). Estos representarían para animales individuales un 5,78; 5,63; 4,53 y 3,90 % del PV (Figuras 2y3). Se considera que estos valores no son razonables, sobre todo considerando la baja calidad de la pastura, por lo que podrían deberse a debilidades de esta técnica de medición de consumo en pasturas de baja calidad nutricional, aunque sería necesario realizar estudios específicos para confirmar este hecho. Hay que considerar además, el hecho de que en este trabajo se realizó una única colecta diaria, lo cual podría llevar a una mayor imprecisión de las medidas. En este sentido Sampaio y col., 2011, recomiendan trabajar con dos o más colectas diarias. Por otra parte, Forbes, 2007, plantea que existe una relación positiva entre la digestibilidad del forraje y el consumo, explicado en el hecho de que una mayor degradabilidad implica una mayor tasa de pasaje y por ende un mayor consumo. Nuestros resultados obtenidos con la técnica de TiO2 globalmente coinciden con esta premisa, ya que el mayor consumo observado fue en PI en primavera (MSI= 12,8 kg d-1) con la mayor DMS (71,18%), mientras que el menor consumo correspondió a CND en invierno (MSI=5,53 kg d-1) con una DMS=35,05%.
La asociación entre la MSI obtenida con TiO2 y la predicha utilizando NRC-a fue en todos los casos inaceptable (R2=0,06). Si bien esta ecuación ha sido reportada específicamente para vaquillonas, las diferencias estarían explicadas en que la misma utiliza en su algoritmo únicamente el PV inicial y en que ha sido desarrollada para períodos experimentales de largo plazo, lo cual no coincide con el tiempo empleado para obtener los valores observados mediante la técnica de TiO2. La ecuación NRC-b, también reportada en NRC, 2000, incorpora aspectos de la composición química de las dietas como lo son la PC y FDA y mostró una asociación mayor entre la MSI obtenida con la técnica de TiO2 (R2=0,30), en relación a los obtenidos con la ecuación NRC-a.
Una adecuada medición de la MSI es capaz de captar la variabilidad existente entre animales y entre dietas. Los resultados muestran que los valores obtenidos utilizando la técnica de TiO2 presentaron una mayor variabilidad, respecto a las ecuaciones de predicción seleccionadas. Esto estaría explicado por las diferencias en el comportamiento animal individual el cual no es tenido en cuenta en los cálculos de las ecuaciones de predicción. Los coeficientes de variación obtenidos en la determinación de la MSI con TiO2 en CND fueron de 37% y en PI de 45%. Dichos valores son superiores a la variabilidad reportada en trabajos nacionales en bovinos de similar categoría, en los cuales se midió el consumo en forma directa (oferta-rechazo) en comederos y que fueron cercanos al 10% (Félix y col., 2017; Santana y col., 2017). En los trabajos anteriormente citados, sin embargo, la digestibilidad de los alimentos empleados, tanto forrajes como dietas compuestas, tuvo en general digestibilidades más altas y homogéneas que las empleadas en este trabajo, lo cual podría explicar también la menor variabilidad en las ingestiones. De todas maneras, no es posible a partir de estos datos dilucidar si esta gran variabilidad no es en parte debida a la realización de una única colecta diaria.
Conclusiones
La medición de consumo utilizando TiO2 en todos los casos estimó un mayor y más variable consumo de MS que los valores predichos por las tres ecuaciones seleccionadas. En general las asociaciones fueron mayores en forrajes de primavera y cuando las ecuaciones incluyeron variables de calidad de forraje. Teniendo en cuenta la alta variabilidad de los datos, sobre todo en pasturas de menor calidad, debería considerarse la doble dosificación y colecta diaria en futuros trabajos, considerando además las posibles interferencias de dicha dosificación sobre el comportamiento animal en pastoreo.














