Corruption is a worldwide issue with vast negative consequences, such as hindering countries' economic growth, promoting higher inequality, and increasing death rates (Hanf et al., 2011; Mauro, 1995; Tanzi, 1998). Seeking to further understand this phenomenon, the present research aimed to investigate the moderating effect of perceived punishment on the relationship between personality traits (based on the Dark Triad model) and corruption in countries with different corruption indices (i.e., Brazil and the United Kingdom).
Corruption has been defined as the abuse of entrusted power for private gain and is investigated by different areas (e.g., economics, political science, business and psychology) at different levels of analysis (e.g., micro, meso and macro levels; Ashforth et al., 2008; Collier, 2002). Considering the importance of an interdisciplinary and multilevel model for studying the phenomenon (Vilanova et al., 2022), the Analytical Model of Corruption (AMC) was proposed (Modesto & Pilati, 2020). The model has proven suitable for studying the phenomenon in cross-cultural research according to previous studies that performed comparisons between countries (Modesto et al., 2020). The AMC can be visualized in Figure 1.
As can be seen in Figure 1, the AMC has four main components: positional dimension and micro, meso, and macro levels. According to the model, the positional dimension involves the analysis of the power position occupied by the individual and its effects on unethical actions (Cislak et al., 2018). This dimension is articulated with the macro, meso, and micro levels. The macro-level refers to contextual factors, such as culture (Jha & Panda, 2017; Soeharto & Nugroho, 2018), social norms such as the "jeitinho" in Brazil (Miura et al., 2019), and even the history of corruption in the country (Modesto et al., 2020). Much of the studies on corruption causes are at this level (Tanzi, 1998), given the more substantial advancement of research in economics and political science on the subject area. The meso level focuses on group processes that may affect corrupt decision-making (Frank et al., 2015). The micro level refers to information processing for a corrupt decision, comparing a deliberate and rational analysis of costs and benefits of crime (Becker, 1968; van Gelder, 2013), and the analysis of punishment risks of a dishonest action (Bai et al., 2014, 2016; Modesto et al., 2020). This component also involves the investigation of cognitive biases that indicate the existence of automatic processes (Engström et al., 2015; Grolleau et al., 2016; Modesto & Pilati, 2023). The micro level further comprises of intra-individual variables such as, for example, personality (Connelly & Ones, 2008; Modesto et al., 2021), which is the focus of the current paper.
The Dark Triad of Personality (DT) is a model of personality description that focuses on traits that are thought to be harmful or related to interpersonal difficulties (Monteiro, 2017; Paulhus & Williams, 2002). The DT is composed of three traits: Machiavellianism and the subclinical manifestations of psychopathy and narcissism (Furnham et al., 2013).
Machiavellianism refers to interpersonal exchanges that are more strategic, cold, manipulative, or cynical, in which the "ends justify the means" (Monteiro, 2017). The strategist profile involves a greater capacity for planning and delaying rewards, and greater use of emotional manipulation (Furnham et al., 2013). Psychopathy, in its subclinical dimension, refers to an anti-social lifestyle profile (Monteiro, 2017), with traces of selfishness, callousness, remorseless and lack of interpersonal affect (Paulhus & Williams, 2002). An essential differentiator of psychopathy among the triad's components is that psychopathy is associated with difficulty in delaying gratification and seeking immediate satisfaction (Vize et al., 2020). In its subclinical dimension, narcissism refers to a sense of grandeur, superiority, dominance and entitlement (Paulhus & Williams, 2002). People with high levels of narcissism desire to be admired and explore others (Hajhoseiny et al., 2019).
Much empirical evidence points to a substantial relationship between the DT traits and antisocial behaviors. Regarding Machiavellianism, it is understood that this trait may be related to controlled decision processes to obtain personal gains in unethical scenarios, which tends to be intensified when the situation involves low risks (Jones, 2013). Individuals with some degree of psychopathy trait tend to show reduced empathy and take higher risks when committing antisocial behavior minimizing unwanted consequences of antisocial acts (Jones, 2013). As for narcissism, individuals are more likely to overestimate how to respond to risky situations. People with a higher degree of narcissism may therefore consider themselves capable of overcoming possible unintended consequences of antisocial behavior (Zhao et al., 2016).
Further highlighting links between the DT and antisocial behavior, Ali (2020) has found that Machiavellianism was higher among those with higher delinquency rates. The same pattern was found for psychopathy. However, in narcissism, the highest rates were found among participants with intermediate delinquency levels (Ali, 2020). In a study comparing convicts and non-convicts, it was found that the Dark Triad was higher on the convict group (Manee et al., 2020). During the COVID-19 pandemic, Machiavellianism and psychopathy were found to negatively affect the adoption of healthy behaviors and were positively associated with behaviors that brought risk to other people (Triberti et al., 2021).
DT also seems highly relevant to understanding financial decision-making and adoption of riskier gains. A study on gambling identified that psychopathy predicted gambling with other people's money, and narcissism predicted greater losses, possibly due to impulsiveness of psychopathy and the narcissist's overconfidence and sense of superiority (Jones, 2013). Specifically, about corruption and fraud, Harrison et al. (2018) emphasize that that DT is an important antecedent of fraud behaviors. In this way, Kusuma Putri et al. (2021) identified a positive correlation between the DT and corrupt intention, with narcissism having the highest correlation among the components of the triad. Hajhoseiny et al. (2019) examined the mediating role of anxiety in the relationship between DT and corruption intention. According to the findings, people with DT traits were more prone to corruption when anxious. In another investigation, Zhao et al. (2016) analyzed the mediating effect of Belief in Good Luck (i.e., irrational beliefs about good luck and positive outcomes) on the relationship between DT and bribery. The study found a positive relationship between DT and offering a bribe and a positive relationship between narcissism and psychopathy and receiving a bribe. Evidence was also found that Belief in Good Luck is one of the reasons why individuals with DT characteristics are more likely to engage in corrupt acts, despite its possible negative consequences (Zhao et al., 2016). These findings demonstrate a clear link between the DT and antisocial behaviors related to corruption and illicit financial gains, but the literature still lacks a more specific focus on the role of punishment perception.
The perception of punishment refers to whether individuals find it likely that themselves or people around them would be found guilty of committing illegal acts. This variable is highly relevant in models of corruption given that individuals are more likely to get on board with corruption schemes if they find it less likely to be punished (Bai et al., 2014; Modesto et al., 2020), and perceptions of punishment can vary extensively across different countries (Transparency International, 2022). Perceptions of punishment have been found to influence both perception and intention of corruption (Bai et al., 2014, 2016). According to Bai et al. (2016), corruption will occur when benefits outweigh costs. In this sense, there is evidence that perceived punishment tends to reduce corruption rates in countries with different levels of corruption (Modesto et al., 2020). Therefore, investigating the perception of punishment is a crucial component of research on this topic, particularly when considering the controlled dimension of corruption as outlined by the MAC (i.e., the costs and benefits of action). So, we believe that incorporating this moderator is a relevant factor in understanding the impact of the DT on corruption. After all, we will be testing the effect of the DT when considering both low and high levels of perceived punishment, a measure that the literature has identified as relevant to the study of corruption.
With that being said, the present study aims to investigate the moderating effect of perceived punishment on the relationship between the DT and corruption in countries with different corruption rates (i.e., Brazil and the UK). According to the 2021 Corruption Perception Index (Transparency International, 2022), the United Kingdom is the 11th country in a ranking of 180 countries, with a score of 78 points on the index, and is considered a country with low corruption rates. On the other hand, Brazil is the 96th country with 38 points, so it is considered a country with higher perceived corruption (the higher the score, the lower the perceived corruption).
Regarding our specific predictions, it was first expected that higher scores of DT traits would be related to higher corruption rates (H1), given the evidence of the relationship between DT and antisocial behaviors, including corruption (Hajhoseiny et al., 2019). Additionally, it was predicted that perceived punishment would reduce corruption rates (H2). Previous studies have highlighted that perceived risk reduces corruption because of a cost-benefit analysis (Bai et al., 2014, 2016; Modesto et al., 2020). Regarding interaction effects, we hypothesized that higher perceived punishment would reduce the impact of Machiavellianism on corruption (H3.1), given the strategist profile and ability to delay gratification of the Machiavellian (Jones, 2013). Referring to psychopathy, we expected that perceived punishment would not moderate the relationship between psychopathy and corruption (H3.2), given the impulsivity characteristic of psychopathy and the need for more immediate satisfaction (Paulhus & Williams, 2002). In other words, regardless of the perception of punishment, higher scores of psychopathy would be linked to greater corruption. Finally, in the case of narcissism, we hypothesized that higher perceived punishment may intensify the effect of narcissism on corruption (H3.3), given that narcissists are overconfident about their abilities to respond to riskier situations (Zhao et al., 2016).
Materials and Method
Participants
The sample consisted of 248 participants, 130 from the UK and 118 from Brazil. The mean age was higher in Brazil (M = 42.15; SD = 13.73) than in the UK (M = 19.98; SD = 5.62) and the sample was predominantly female in both countries (Brazil: 65.30 %; UK: 88.50 %). Participants were recruited using a convenience sampling method. Students in psychology courses and community members in social media groups were invited to participate in the study.
Measures
The Dark Triad Dirty Dozen (DTDD; Jonason & Webster, 2010) was used in its original version to assess DT traits in the United Kingdom. In Brazil, the Portuguese version of this scale was used (Monteiro, 2017). The DTDD measure comprises 12 items, with four items for each DT trait. The instrument is answered on a scale ranging from 1(Strongly Disagree) to 5 (Strongly Agree). The following Cronbach's alpha indices were found in Brazil (.73 for Machiavellianism, .69 for psychopathy, and .83 for narcissism) and the United Kingdom (.78 for Machiavellianism, .75 for psychopathy, and .75 for narcissism).
Corruption scenarios. The second part of the study consisted of three hypothetical corruption situations used in previous studies (Bai et al., 2014; Modesto et al., 2020). The three scenarios describe different corruption situations (winning bids, avoiding traffic fines, and receiving academic funding). We chose to use specific corruption scenarios because it contributes to more valid and reliable measures of corruption compared to generic question about the prevalence of the phenomenon (Maciel et al, 2022). An example scenario can be read below:
Imagine that (a common local name) is the director in charge of bidding. Company X is in a disadvantaged position compared with other bidders. To secure the bidding, the CEO of Company X asked (a random local name) to help his company and promised to give (a common local name) some money privately if his company won the bid. (a common local name) knows that helping him win the bid by taking the money is an illegal act.
Corruption perception. After reading each scenario, participants should estimate the possibility of the character in the scenario acting in a corrupt manner on a scale of 1(Will definitely not help) to 9 (Will definitely help). The Cronbach’s alpha measure of internal consistency for the perception of corruption measure for the three scenarios was .87 for Brazil and .70 for the United Kingdom. We decided to use a measure of corruption perception (i.e., evaluation of other people's actions) instead of corruption intention (i.e., self-evaluation) because measures of corruption perception have lower levels of social desirability and are commonly used in the field (see Transparency International, 2022). Similar measures have been used in previous studies (Bai et al., 2014; Modesto et al., 2020).
Perception of punishment. For each scenario, participants were asked to evaluate the probability of punishment of the character in case of a decision to commit the corrupt act. The measure ranged from 1 (Will definitely not be punished) to 9 (Will definitely be punished). For perceived punishment, internal consistency was of 0.89 for Brazil and 0.76 for the UK. Similar measures have been used in previous studies (Bai et al., 2014; Modesto et al., 2020).
Procedures
In both countries, the study was presented to participants in an online survey. First, participants were asked to respond to the DT measure. Next, they were presented with the corruption scenarios, with the respective corruption and punishment measures. Finally, participants were asked to provide sociodemographic data. The questionnaire was disseminated among university students and on social networks for people outside the university environment. The project was approved by the research ethics committee of the first author's institution. The data were collected in between 2021-2022 in both countries.
Results
First, we report the means and standard deviation of corruption, perception of punishment, DT, and the correlations between those variables. These results can be seen in Table 1.
A series of linear regressions were conducted to test the main research hypotheses. As recommended by the literature (Aiken & Stephen, 1991), the scores of each personality dimension (Machiavellianism, psychopathy, narcissism) and perceived punishment were centralized. In addition, an interaction term was included between the DT traits and perceived punishment to test for the moderation effects in each country. In the first step of the multiple linear regressions, each dimension of DT trait and perceived punishment indices were included in the model. The same variables and the interaction terms were entered in the second step. The results of the linear regressions can be seen in Tables 2 and 3.
Table 1: Pearson's correlation between the personality, corruption, and punishment dimensions in Brazil and UK

* p < .05
As shown in Tables 2 and 3 , punishment predicted corruption in all tested models, regardless of country. Regarding the specific DT personality traits, a relationship was found between Machiavellianism and corruption in Brazil and the United Kingdom, although the interaction with punishment was identified only in Brazil. Additionally, psychopathy had no direct or interaction effect in either country. Regarding narcissism, a direct relationship with corruption was found only in Brazil, although the interaction term was significant in both countries. Graphs were created to better visualize and apprise the interaction patterns for the significant variables (i.e., Machiavellianism-punishment; Narcissism-punishment), as shown in Figures 2 and 3. To create the graphs, the punishment variable was transformed into a binomial variable, coding as low punishment the values up to the average value identified in each country, and as high punishment the values above the average.

Figure 2: Interaction effects Machiavellianism and punishment on corruption scores across Brazil and the United Kingdom
As shown in Figure 2, when perceived punishment is low in Brazil, higher rates of Machiavellianism contribute to higher rates of corruption (R² = .16). However, when punishment scores are high, the relationship between Machiavellianism and corruption becomes superfluous (R² = .01). In the United Kingdom, the relationship between Machiavellianism and corruption is independent of the perception of punishment, as also presented in Table 3. In other words, higher levels of Machiavellianism are related to higher levels of corruption irrespective of perceptions of punishment. The graphs about narcissism can be seen in Figure 3.

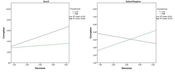
Figure 3: Interaction effects of narcissism and punishment on corruption scores across Brazil and the United Kingdom
As shown in Figure 3, in Brazil, when perceived punishment is low, narcissism is positively related to corruption (R² = .15). However, when the perception of punishment is high, this relationship becomes irrelevant (R² = .01). For the United Kingdom, when perceived punishment is low, narcissism has a negative association with corruption (R² = .02). However, the relationship becomes positive when perceived punishment is high (R² = .14). In other words, the direction of the relationship between narcissism and corruption changes depending on whether punishment scores are low or high.
Discussion
The present study aimed to investigate potential interaction effects between the DT personality traits and perceived punishment on corruption behaviors in countries with different corruption rates (i.e., Brazil and the United Kingdom). We first hypothesized that higher rates of DT would increase corruption rates (H1).
Our findings support H1 for Machiavellianism. As shown in previous studies, individuals who are more Machiavellian may have a more strategist and manipulative profile that can delay gratifications, being more prone to corruption (Zhao et al., 2016). Interestingly, the present study indicates that this direct effect occurs in a country where corruption is perceived as prevalent (Brazil) and in a country with low corruption rates (United Kingdom). H1 was corroborated in Brazil on narcissism, with no significant effect found in the United Kingdom. This finding points to the fact that corruption may be perceived as a way to obtain power and admiration (Furnham et al., 2013; Paulhus & Williams, 2002). Previous studies have also suggested a relationship between narcissism and corruption (Zhao et al., 2016). Regarding psychopathy, H1 was not corroborated. Unlike previous studies (Zhao et al., 2016), psychopathy was not a predictor of corruption. This finding may have been observed because corruption is a phenomenon that may emerge from both deliberate (controlled) or impulsive (automatic) processes (Modesto & Pilati, 2020). The results show that the impulsivity and need for immediate satisfaction that is typical of psychopathy (Monteiro, 2017) do not seem to predict corruption in countries with high or low corruption rates.
Regarding the effect of punishment on corruption, we hypothesized that perceived punishment would reduce corruption rates (H2). This hypothesis was corroborated in both countries, which shows that perceived punishment is a relevant variable for perceived corruption, as found in previous studies conducted in different cultural contexts (Bai et al., 2014, 2016; Modesto et al., 2020). This finding reaffirms the importance of understanding corruption as a controlled processing of information that involves risk-benefit analysis, meaning that perceived punishment is taken into consideration when deciding to partake in corruption behavior (Modesto & Pilati, 2020).
Although the direct effects of DT personality traits and perceived punishment were similar across countries, the interaction effects showed some differences between the samples from Brazil and the United Kingdom. Regarding Machiavellianism, even though a positive relationship was found between Machiavellianism and corruption in both countries, the interaction effect was restricted to the Brazilian sample. In this country, when the perception of punishment was high, Machiavellianism was not related to corruption. The effect of Machiavellianism was only prominent among those who had a low perception of punishment. Such a finding is consistent with the strategist and manipulative profile of the Machiavellian. After all, for a strategist profile, it is better to avoid immoral or unethical actions when perceiving higher risks of punishment. Such findings corroborate previous studies that have indicated that Belief in Good Luck (i.e., expectations of a positive outcome) interfere in the relationship between Machiavellianism and corruption (Zhao et al., 2016). However, the relationship between Machiavellianism and corruption was independent of punishment for the United Kingdom sample. A possible post-hoc hypothesis is that in the United Kingdom sample, the opportunities for corruption would be lower than in Brazil, taking the Transparency International ranking as a reference (Transparency International, 2022). In a context where the possibilities of corruption are scarce, the strategist profile may see that act as a great opportunity, even if it involves risks. As the opportunities for corruption would be greater in Brazil, riskier opportunities for corruption would be selected more cautiously. A strategist profile would prioritize those opportunities with lower risks of punishment.
Regarding psychopathy, no direct or interaction effects were found. Such results do not support H3.2, diverging from previous studies (Zhao et al., 2016). It is possible that the scenarios analyzed in the present research focused more on the deliberate process of a corrupt decision. It may be that no relationship was found because psychopathy has impulsivity as one of its defining characteristics (Monteiro, 2017) and the scenarios involved a more deliberate analysis. Therefore, it would be interesting that new research could develop different scenarios, including time pressures that promote a more impulsive decision, to better understand the relationship between psychopathy and corruption.
Regarding narcissism and corruption, a moderation effect of punishment was identified in both countries, although with a distinct pattern. We believed that a greater perception of punishment could intensify the effect of narcissism on corruption, given that narcissists tend to have an exaggerated perception of their ability to respond to risky situations (Zhao et al., 2016). However, this effect was found only in the United Kingdom sample. An inverse pattern was found in the Brazilian context: the effect of narcissism on corruption occurs when perceived punishment was low, but not when perceived punishment was high. As a post-hoc hypothesis, we believe that the sense of grandiosity typical of narcissism (Monteiro, 2017) may act differently on corruption when comparing different countries. In Brazil, the sense of grandiosity and desire to be admired favor corruption when the perception of punishment is low. In other words, the individual may perceive that if they are found out and punished, they will no longer be admired and respected. However, in the case of the participants from the United Kingdom, there is an exaggerated evaluation of the ability to overcome risks. It may also be the case that collectivism/individualism differences between both countries may have an influence on the relationship between psychopathy and corruption, given that collectivist/individualist societies have different expectations toward what is considered admirable or respectable in social contexts. Further research could compare other countries with different corruption rates to identify if the differences found in the present study are due to the countries' general corruption rates (i.e., low vs high) or if other cultural nuances could better explain this finding. After all, the cultural aspects we use to interpret the differences in results are post-hoc hypotheses that were not considered a priori and need to be tested.
Despite its important contributions, the present study has some limitations. First, the samples used for both countries are not entirely representative of the population in Brazil and the United Kingdom, given the great demographic diversity in both countries. Furthermore, when comparing the sample from Brazil and the United Kingdom, there are some differences in the sociodemographic profile, such as mean age and gender distribution (i.e., higher number of females in both samples). It may be the case that our main findings are unaffected by such issues given that heterogeneity in samples does not always impair generalizability of results (Coppock et al., 2018), but nevertheless such differences should be taken into account when interpreting our results and new research may expand test similar effects in more representative samples. Second, for our comparisons, we considered the corruption level in countries ranked by Transparency International. However, other cultural factors and differences between both countries may have interfered with the results. Finally, new studies can compare countries with high and low corruption to test whether the pattern of results found on the DT is replicated or if findings are better explained by other cultural factors.
We believe that the present research makes several contributions. First, we analyze corruption from intra-individual variables (personality) in different cultural contexts. The contextualized investigation of psychological processes is essential in social psychology in general (Pettigrew, 2018) and in the study of corruption in specific (Modesto & Pilati, 2020; Vilanova et al., 2022). In this sense, we identify how personality relates to corruption differently depending on the country analyzed. By presenting evidence of the differing effects of the dark triad on corruption between Brazil and the United Kingdom, the data support the importance of integrating levels of analysis as proposed by the Analytical Model of Corruption (Modesto & Pilati, 2020). We present some explanatory hypotheses for this difference that can be systematically investigated in future studies.
Furthermore, we believe that future studies can also test the relationships through experimental studies. For example, the perceived punishment can be manipulated, which can refine understanding its moderation role in the relationship between personality and corruption. We also believe that further studies can draw on other ways of measuring corruption, such as measures of corruption intention (Bai et al., 2016) and behavioral measures (Modesto & Pilati, 2023; Schindler & Pfattheicher, 2017). It is essential to develop and use more precise measures of corruption in psychological research (Ponce-Díaz et al, 2024) and those less sensitive to social desirability (see Soares & Modesto, 2022 as an example of research on Twitter/X about fraud).

















