Ao ingressar no Ensino Superior, o estudante universitário inicia um ciclo no qual pode enfrentar situações-problema que demandam do mesmo um maior senso de autonomia. Neste contexto, diversos atributos são cobrados do estudante, para que consiga transitar por estas situações de maneira saudável, como por exemplo, um bom repertório de habilidades sociais, estratégias de enfrentamento, mas também, a capacidade de gerenciar os seus compromissos da melhor forma possível (Sahão & Kienen, 2021).
A gestão do tempo está relacionada ao conjunto de hábitos e comportamentos que visam utilizá-lo de maneira eficiente, auxiliando na produtividade e, consequentemente, reduzindo episódios de estresse (Oliveira et al., 2016). Desta forma, torna-se evidente que um bom gerenciamento dos compromissos e tarefas, no contexto do Ensino Superior, contribui para o sucesso acadêmico-profissional e melhor saúde do estudante (Yoshiy & Kienen, 2018).
Em um estudo conduzido por Dias et al. (2019), os estressores relacionados à administração inadequada do tempo foram assinalados como uma das principais dificuldades encontradas, tanto no contexto acadêmico quanto pessoal, pela maioria dos estudantes. A partir desses resultados, deve-se considerar a relevância de se atentar às habilidades de gestão do tempo desses sujeitos. Insere-se, neste contexto, a perspectiva de que os hábitos e comportamentos norteadores de uma organização eficiente podem ser treinados e adquiridos (MacCann et al., 2012), inclusive dentro do contexto universitário.
Um estudo realizado por Oliveira et al. (2016), teve como objetivo descrever a experiência de aplicações de oficinas de gestão do tempo nas quais participaram acadêmicos (graduandos e pós-graduandos) de uma universidade pública no interior do Rio Grande do Sul. Tais oficinas foram distribuídas em oito encontros e abordavam conceitos relacionados à forma como estes estudantes costumavam organizar-se no tangente às questões temporais. Em seus resultados, os autores destacam o fato da alta procura pela oficina, o que indica que este tema é de extrema preocupação universitária. Além disso, puderam organizar os principais obstáculos em quatro categorias: comportamentos ligados à procrastinação, dificuldades em dizer “não” às demandas de terceiros; dificuldades em conciliar estudo e lazer e problemas para lidar com a carga horária de seus cursos.
Dentro deste grupo de reclamações é possível verificar que, no geral, os estudantes apresentam problemas em planejar, executar e controlar suas tarefas, lidar com distratores e atentar-se a comportamentos de procrastinação (Freires et al., 2021). Nesse sentido, Vieira-Santos e Malaquias (2022) sinalizam a relação entre comportamentos procrastinatórios e um manejo deficiente do tempo, o que segundo as autoras está associado a outros aspectos, como incapacidade de definir objetivos e prioridades, de estabelecer planos de ação e listas de tarefas e de administrar imprevistos e cumprir prazos. Tais situações demonstram problemas relacionados à prática de organizar e gerir as atividades acadêmicas, contudo, há teorias e técnicas que auxiliam no melhor manejo do tempo.
O Modelo de Gestão do Tempo, teorizado por Estrada et al. (2011), é dividido em três grandes fases: planejamento, gerenciamento e controle. A etapa de planejamento, a primeira deste modelo, elude, em suma, ao ato de prever a organização das tarefas e a cumprir dentro do prazo disponível das mesmas. Para isso, considera-se, inclusive, a possibilidade de desmembrar uma grande tarefa em tarefas menores. A segunda fase, gerenciamento, contempla a etapa de execução das tarefas, sendo necessário um equilíbrio entre a disciplina e a flexibilidade, contudo sem deixar o norte ministrado pelo planejamento (Estrada et al., 2011). Aqui, o cuidado para não ser alvo de distratores, nem da procrastinação, é necessário. A terceira e última fase, a de controle, é considerada de aprendizado, pois nesta haverá comparação entre a verdadeira execução prática com o que havia sido planejado. Nesta etapa será verificado se as tarefas planejadas estão sendo realmente executadas e se estão produzindo os efeitos esperados e, caso não estejam, o que está causando esta distorção (Estrada et al., 2011).
Além de teorias como a de Estrada et al. (2011), existem diversas técnicas que podem auxiliar indivíduos na auto-organização. No que tange ao planejamento semanal e diário, pode-se afirmar a importância de saber eleger prioridades. A partir destas se faz necessário também o estabelecimento de metas (Vieira-Santos & Malaquias, 2022). No ambiente acadêmico, se entende que a gestão do tempo não se restringe simplesmente a se preencher planilhas com horários de estudo, mas é um processo complexo e amplo que requer do estudante reflexão acerca de metas e prioridades não só diretamente ligadas à Universidade (Marcilio et al., 2021). Essa ideia também está alinhada com a compreensão de que existem diferentes linhas de pensamento, mas ainda assim, estas têm algumas características em comum como a organização, o controle e a priorização (Oliveira et al., 2016). Oliveira et al. (2016) afirmam que a essência das ideias na área de gerenciamento pessoal pode ser capturada na frase “organize e execute conforme prioridade” (p. 225).
Utilizando-se, então, dos conceitos de organização e priorização, a gestão do tempo é entendida como uma série de hábitos ou comportamentos que implicam em um uso efetivo do período direcionado aos afazeres, para auxiliar na produtividade e reduzir o estresse (Oliveira et al., 2016). Pode-se afirmar que, muito do estresse que é vivenciado por um indivíduo, seja resultado do sentimento de falta de controle sobre suas obrigações, e sobre sua execução (Leahy et al., 2013). O planejamento da semana e dos dias, desta forma, é utilizado não só para identificar como o estudante percebe a sua organização e a utilização das horas, mas também a fim de incentivar comportamentos de automonitoramento e autocontrole. Comportamentos que, para Leahy et al. (2013), podem ser adquiridos através da experiência de vida, de treinamentos ou da prática.
Com esses planejamentos, também é possível compreender prováveis déficits na organização, já que muitas vezes, neles se revela a ausência de algumas atividades que consomem tempo, como os deslocamentos ou descanso (Marcilio et al., 2021). Ainda remetendo à ideia de priorização, faz-se necessária a definição de objetivos de curto, médio e longo prazo, ou seja, para que o indivíduo consiga avaliar se conseguiu ou não o sucesso em determinadas tarefas, é preciso que se reflita sobre o seu processo de aprendizagem, sobre as suas demandas e sobre seus objetivos acadêmicos e pessoais (Alves & Teixeira, 2021; Marcilio et al., 2021), principalmente quando estes serão perseguidos por um maior período.
Aponta-se, então, a relevância da reflexão sobre a própria experiência acadêmica, sobre a própria profissão e, de maneira geral, sobre como seus objetivos a curto, médio e longo prazo estão articulados e se estão alinhados de maneira coerente com o cotidiano de cada um. Colocar os objetivos em uma perspectiva temporal, junto a uma reflexão acerca de seus próprios desejos, necessidades e prioridades, pode facilitar a operacionalização do que é necessário fazer para conseguir alcançá-los, ou a possibilidade de readequação desses objetivos. Tendo claro os objetivos e as tarefas a serem realizadas, é necessário também conhecer o tempo real ou aproximado das atividades a serem executadas ajustando assim, a agenda de uma forma adequada para a realização de cada uma delas, levando em consideração os fatores externos (material necessário, prazos, demandas reais, etc.) e internos (humor, energia, atenção etc.) (Marcilio et al., 2021).
Diante de objetivos que parecem desconectados de sua realidade atual, não é incomum que o estudante adote comportamentos disfuncionais como estratégias inadequadas para atingir determinadas metas ou comportamentos de procrastinação (Pereira & Ramos, 2021; Vieira-Santos & Malaquias, 2022) podendo ter consequências na vida pessoal. Desta forma, o presente trabalho tem como objetivo apresentar e avaliar o efeito de uma intervenção realizada em formato de oficina direcionado a estudantes universitários. A intervenção buscou ainda identificar as estratégias utilizadas e incentivar uma reflexão em torno de suas práticas de gerenciamento do tempo, assim como visou apresentar estratégias que contribuíssem para busca pela coerência entre as atividades do cotidiano e objetivos definidos pelos participantes.
Materiais e Método
Participantes
Participaram 17 estudantes universitários, com idade média de 28,46 anos (DP= 15,35), sendo 82,4 % mulheres e 17,6 % homens, oriundos de universidades públicas (82,4 %) e privadas (17,6 %) recrutados a partir de duas oficinas sobre gestão do tempo para estudantes universitários. Na primeira oficina, realizada em 2020, o grupo de participantes foi composto por nove estudantes universitários, enquanto na oficina realizada em 2021 o número de participantes foi de oito. Como critério de inclusão, os participantes deveriam estar matriculados em disciplinas e como critério de exclusão não poderiam ser alunos na modalidade de Ensino à distância. Em sua maioria, os participantes eram estudantes do curso de Psicologia (76,5 %), seguido dos cursos de Enfermagem (11,7 %), Produção Cultural (5,9 %) e Licenciatura em Geografia (5,9 %). Dentre eles, 5,9 % eram de classe social A, 11,7 % eram de classe social B1, 23,6 % eram de classe social B2, 41,2 % de classe social C1 e 17,6 % de classe social C2. Todos os participantes assistiram a pelo menos 80 % da oficina em que estavam inscritos.
Instrumentos
O Questionário Sociodemográfico teve como objetivo identificar informações que caracterizam a amostra. Foi composto por perguntas correspondentes à ocupação, vinculação com uma universidade, classe social, sexo, idade, dentre outros.
O Inventário de Administração do Tempo (ADT; Krausz, 1994) é composto originalmente de 96 (39 questões em sua versão adaptada) e avalia a administração do tempo com base em características pessoais com as quais o respondente se identifica ou não. O instrumento utilizado no presente estudo foi o desta última versão (Pellegrini et al., 2012), com 39 questões. Estas são divididas nos seguintes itens: Planejamento de tempo, Administração por crise, Organização pessoal e autodisciplina no trabalho, Comunicação, Tomada de decisões, Diagnóstico de problemas, Perfeccionismo, Estabelecimento de objetivos pessoais, Flexibilidade no trabalho e Capacidade de concentração. Cada um desses itens conta com três afirmações. Para cada questão, o instrumento conta com opções de resposta “sim” ou “não”. Para a correção, conta-se um ponto para cada resposta “sim” e nenhum ponto para a resposta “não”. Para avaliação dos resultados, é feita a classificação em três grupos: até 15 pontos: administra razoável ou adequadamente o tempo; de 16 a 31 pontos: administra mal ou mediocremente o tempo; de 32 a 39 pontos: não administra o tempo. O alfa de Cronbach deste instrumento na amostra é de 0,77.
Procedimento de coleta de dados
Os dados foram coletados a partir de duas oficinas sobre gestão do tempo para estudantes universitários. Estas, foram organizadas e conduzidas por estudantes do curso de Psicologia e pós graduação em Psicologia Social de uma instituição pública, baseada em pesquisas de revisão da literatura e referencial teórico do tema, dando origem ao conteúdo abordado em cada sessão (Tabela 1). A divulgação foi realizada por meio de redes sociais do laboratório e pessoal dos organizadores, e a execução ocorreu em formato online pela plataforma Zoom em setembro de 2020 e outra em julho de 2021. Por serem idênticas em seu conteúdo, o material foi tratado como um grupo único. Todos os participantes concordaram e assinaram o Termo de Consentimento Livre e Esclarecido (TCLE), além de responderem na primeira sessão (T1, pré-intervenção), o Questionário de Dados Sociodemográficos e o Inventário de Administração do Tempo (ADT; Krausz, 1994, adaptado por Pellegrini et al., 2012). Somente foram analisados os materiais dos estudantes que participaram de pelo menos quatro encontros da oficina, que foi distribuída em cinco sessões, realizadas uma vez por semana com duração média de duas horas, sem intervalo.
As sessões eram estruturadas em seis momentos: 1) O primeiro, da primeira sessão, foi utilizado para apresentações pessoais, nas demais sessões para recuperar e discutir as tarefas que eram propostas para realizar ao longo da semana; 2) Exposição dialogada: apresentação teórica sobre a temática com suporte visual (slides e vídeos ilustrativos), neste momento eram realizadas atividades de psicoeducação, estimulando-se a interação dos participantes; 3) Rodas de conversa: nas quais eram feitas discussões entre e com os participantes sobre problemas na gestão do tempo e o compartilhamento de experiências. Neste momento, os participantes eram incentivados a falar livremente acerca do tema proposto durante o tempo estabelecido para isso; 4) Vivências: eram realizadas atividades práticas, que tinham como objetivo incentivar os participantes a treinarem a organização do próprio tempo, fazendo planejamentos de metas de curto, médio e longo prazo (como materiais de apoio, antes de cada sessão eram oferecidas folhas de planejamento em formato de documento digital e durante as sessões links com atividades interativas). Estas atividades direcionadas tinham o intuito de estimular o estudante a eleger prioridades (por exemplo, eram exibidas tarefas e circunstâncias fictícias a fim de possibilitar aos participantes a ponderação de quais eram as prioridades naquele contexto). Além disso, também era possível levantar a discussão de como colocar o conteúdo aprendido em prática usando como exemplo as situações já vividas pelos participantes, que as traziam de maneira espontânea; 5) Tarefa de casa: eram propostas aos participantes que realizassem atividades de organização, baseadas na temática trabalhada no dia, estes exercícios tinham o objetivo de estimular o contato com o tema fora da sessão, além de auxiliar a prática do que foi aprendido, e por último; 6) Feedback: ao término de cada encontro eram solicitados aos participantes uma opinião sobre o que foi trabalhado, as dúvidas e sugestões foram revistas no último encontro. Após o término das cinco sessões, os participantes preencheram pela segunda vez (pós-intervenção) o ADT, sendo assim, o T2 foi no dia seguinte ao final da intervenção.
Procedimento de análise de dados
Devido ao tamanho pequeno da amostra (n= 17), optou-se por utilizar um procedimento não-paramétrico para testar a hipótese de diferenças entre grupos. Optou-se por realizar um teste de Mann-Whitney para verificar se há diferenças estatísticas substanciais entre os escores pré-intervenção dos participantes de 2020 (n= 9) e os de 2021 (n= 8). Foi realizado também um teste de Wilcoxon, apropriado para comparações de medidas repetidas, com medidas de tamanho de efeito das diferenças em r de Pearson utilizando intervalos de confiança gerados por bootstrapping. Foi empregado também o método JT (Jacobson & Truax, 1991), que tem por objetivo demonstrar o grau da confiabilidade da mudança e da significância clínica das mudanças individuais dos participantes por meio do Índice de Mudança Confiável (IMC) e pelo escore de Significância Clínica (SC). Os testes foram realizados utilizando a linguagem de programação R (R Core Team, 2021). Para os testes de Wilcoxon e Mann-Whitney, foi utilizado o pacote rstatix (Kassambara, 2023) para a linguagem R. O gráfico foi gerado por meio do pacote ggplot2 (Wickham, 2016).
Procedimentos éticos
A pesquisa foi encaminhada e aprovada pelo Comitê de Ética da Universidade do Estado do Rio de Janeiro, parecer nº 5.237.012, sob nº 53517321.2.0000.5282 (CAAE). Todos os participantes concordaram com o Termo de Consentimento Livre e Esclarecido, sendo informados dos possíveis riscos e desconfortos, do sigilo e do não recebimento de benefícios e pagamento, segundo a orientação das Resoluções 466/2012 e 510/2016 do Conselho Nacional de Saúde sobre pesquisas envolvendo seres humanos.
Resultados e Discussão
O teste de Mann-Whitney indicou não haver diferenças substanciais entre as amostras de 2020 e 2021 (U= 15,5; z= -1,93; p > 0,05). Em virtude disso, e por conta de os instrumentos utilizados e o conteúdo das oficinas serem os mesmos, optou-se por incluir todos os participantes nas análises subsequentes como uma amostra única.
Por meio do teste de Wilcoxon foi determinado que há diferença significativa entre os grupos pré- e pós-intervenção (T= 18,5; z= -2,54; p < 0,05). Desta forma foi possível identificar as diferenças totais entre os grupos. O tamanho de efeito das diferenças foi considerável (r= 0,61; cf. Cohen, 1988), indicando haver diferença substancial entre os grupos e corroborando com a eficácia da oficina. Na Tabela 2 estão expostos os escores médios dos participantes em diferentes momentos da análise.
Tabela 2: Diferenças em escores de gestão do tempo pré- e pós-intervenção

Nota: Média dos ranks negativos: -3,3; média dos ranks positivos: 3,3.
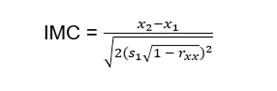
O método JT foi empregado para verificar as mudanças individuais dos participantes. Este método se fundamenta no cálculo do Índice de Mudança Confiável (IMC) e do escore de Significância Clínica (SC). O IMC é obtido do seguinte modo: F1
Em que x 2 e 𝑥 1 representam, respectivamente, os escores pós- e pré-intervenção; 𝑠 1 representa o desvio-padrão do grupo pré-intervenção; e 𝑟 𝑥𝑥 representa uma medida de confiabilidade do questionário utilizado (neste caso, o α de Cronbach). Esta última medida impacta a extensão do Intervalo de Mudança Confiável, que representa a margem de erro da medida. Quanto maior a medida de confiabilidade do instrumento na amostra, menor a margem de erro, e portanto mais confiáveis são as mudanças, o que resulta em uma exigência menor de flutuação nos valores para que os resultados sejam considerados estatisticamente significativos.
O escore de SC pode ser obtido de três formas, a depender da disponibilidade ou não de escores normativos (Jacobson & Truax, 1991). Foi selecionado o método de obtenção da SC sem utilização de escores normativos, que pode ser obtido a partir da equação 𝑀 1 + 2 𝑠 1 , em que 𝑀 1 é a média da amostra pré-intervenção e 𝑠 1 é o desvio-padrão da amostra pré-intervenção. Ele serve para separar participantes em amostras clínicas entre “recuperados” e “não-recuperados”, isto é, um participante pode apresentar melhora e continuar a se enquadrar ou não em uma amostra clínica. Participantes com uma pontuação alta (ou baixa) o suficiente para ultrapassar a linha de SC seriam categorizados como recuperados. O ponto de corte para a SC nesta amostra foi de 8,61.
Os valores do IMC são padronizados para o escore Z. Um escore |z| = 1 indica que a observação em questão se encontra 1 desvio-padrão acima ou abaixo da média (trata-se aqui do módulo de Z, pois o valor pode ser tanto positivo ou negativo). Em uma distribuição normal, um escore |z|=1,96 representa observações nos percentis 2,5 % e 97,5 %, o que representa uma probabilidade de ocorrência inferior a 5 %. Um IMC superior a 1,96 ou inferior a -1,96, portanto, seria improvável de ocorrer (com p < 0,05) sem que estivesse sinalizando uma mudança verdadeira (Jacobson & Truax, 1991).
Na Tabela 3, pode-se ver as mudanças nos escores individuais de cada participante, antes e depois da oficina. Vê-se que quatro participantes obtiveram mudanças negativas após a intervenção, mas nenhuma delas foi considerada estatisticamente significativa. Um participante não obteve mudança, 10 obtiveram mudanças positivas, mas dentro da margem de erro, porém também dentro da margem de erro, e dois obtiveram mudanças positivas confiáveis. O participante 7 obteve uma pontuação na análise pós-intervenção abaixo do ponto de corte da SC, porém dentro da margem de erro.
Na Figura 1 pode-se ver a posição relativa dos escores de cada participante (P1, P2, P3,…, P17) antes e depois das oficinas. Os participantes encontrados do lado de fora da parte inferior do intervalo de mudança confiável, representado pela zona cinza ao redor da bissetriz (linha tracejada inclinada, são os que de fato demonstraram mudanças positivas estatisticamente significativas (com p < 0,05).
Tabela 3: Comparação dos escores dos participantes antes e após a realização das oficinas

Nota: IMC: representa a pontuação segundo o Índice de Mudança Confiável. Interpretação: torna explícito o significado destes valores. ADM: Ausência de Mudança. MPC: Mudança Positiva Confiável. Valores negativos representam mudanças positivas pois escores menores do ADT implicam em uma melhor gestão do tempo.
O presente estudo se propôs a avaliar o efeito de uma intervenção realizada em formato de oficina em que foram apresentados recursos para melhor gerenciamento do tempo. Entende-se que no processo de adaptação se destacam diversas dificuldades psicossociais, dentre as quais se encontra a gestão do tempo. Na literatura, a importância desta última já foi associada a um melhor desempenho acadêmico, já que alunos com melhor desempenho demonstram maior capacidade de distribuir apropriadamente o tempo disponível entre tarefas de estudo e outras atividades em suas rotinas (Marcilio et al., 2021).
A importância da difusão do conhecimento sobre gestão do tempo já fora antes realçada em estudos anteriores como um recurso de grande valia para a redução do estresse e para a sensação de falta de controle entre indivíduos no geral (Leahy et al., 2013; Freires et al, 2021). Durante a execução da intervenção, pôde-se averiguar que este tema é de relevância considerável também para a população universitária, o que já havia sido proposto em outras pesquisas (Oliveira et al., 2016; Soares et al., 2023). Em outro estudo oriundo das oficinas de gestão do tempo, Soares et al. (2023) apresentaram as concepções dos participantes sobre diferentes estratégias de gestão do tempo. Foi possível observar que emergiram como temas relevantes: os desafios relativos a lidar com prazos; as motivações e expectativas com a intervenção, que incluíam organizar o tempo dedicado aos estudos e serem capazes de eleger prioridades; a forma como os estudantes lidam com os compromissos cotidianos e como isso impacta não gerenciamento do tempo; e as distrações identificadas pelos alunos como empecilho para uma relação melhor com a organização do tempo.
A oficina foi elaborada a partir da ideia inicial apresentada por Estrada et al. (2011) de que um guia metodológico para sistematizar as etapas de planejamento, gerenciamento e controle do tempo pode ser um ponto de partida efetivo, que resulte em melhorias na vida cotidiana das pessoas. Os autores afirmam também que um modelo que apresente os principais elementos técnicos e comportamentais encontrados na literatura pode facilitar a compreensão e aplicação da gestão do tempo, o que foi corroborado pelas experiências do presente estudo. Esse dado também foi corroborado considerando os temas que emergiram na intervenção, que incluem questões cotidianas e desafios diários no manejo do tempo (Soares et al., 2023).
Oferecer aos participantes diferentes ferramentas para a construção de um modelo de gestão do tempo que auxilie no controle de seus ambientes imediatos foi um dos ganhos principais trazidos pela intervenção. Vale ressaltar que embora essas práticas sejam nomeadas “gerenciamento do tempo”, elas são, na verdade, a administração das atividades passíveis de modificação pelo indivíduo em interação com o ambiente (Yoshiy & Kienen, 2018). A maior capacidade de gerenciar as próprias ações em relação a variáveis ambientais é o grande benefício trazido por tais modelos.
Paralelamente, aspectos individuais também foram trabalhados na oficina, como a capacidade de refletir sobre as próprias demandas e objetivos acadêmicos e pessoais, uma vez que tais tópicos já haviam sido relatados como cruciais por outros pesquisadores (Marcilio et al., 2021). Dessa forma, o incentivo aos participantes para que pensassem e descrevessem seus objetivos a curto, médio e longo prazo figurou-se como ponto de discussão relevante em meio à intervenção. Junto a isso, trabalhou-se na oficina pela busca por coerência entre as atividades do cotidiano e objetivos a longo prazo, traduzindo, entre outras coisas, ideias relacionadas ao planejamento de carreira em planos concretos, o que se figura como um dos motivadores reportados na literatura para a busca de oficinas deste tipo (Alves & Teixeira, 2021; Oliveira et al., 2016).
Pode-se afirmar que a intervenção proporcionou uma diminuição significativa na pontuação do grupo como um todo nos escores em gestão do tempo. Vale lembrar que essa diminuição pode ser entendida como um ponto positivo, já que pontuações maiores no ADT indicam habilidades piores na gestão do tempo. Deve-se considerar que os resultados dos escores do instrumento ficam vulneráveis a oscilações que podem ser atribuídas a circunstâncias externas como períodos de avaliação ou de maior sobrecarga na universidade, entre outros fatores pessoais. Contudo, a nível individual, embora quatro participantes tenham apresentado mudanças negativas na gestão do tempo após a oficina, nenhum desses resultados foi considerado estatisticamente significativo.
Os resultados gerais foram positivos: ainda que segundo o método JT um dos participantes não tenha apresentado diferença e dez participantes tenham obtido mudanças positivas dentro da margem de erro do instrumento, a tendência geral, explicitada pelo teste de Wilcoxon, é a de uma melhora substancial com tamanho de efeito considerável (r = 0,61) nos escores dos participantes em decorrência da intervenção. Ademais, dois participantes obtiveram mudanças positivas confiáveis de acordo com as análises em nível individual.
Pontua-se também que os resultados foram coletados imediatamente após o término da oficina, ou seja, a eficácia da intervenção foi confirmada em um período curto de tempo, pouco após o primeiro contato dos participantes com as discussões e estratégias expostas. É possível que os efeitos positivos sejam ampliados, a depender da aplicação das técnicas abordadas pelos participantes em suas rotinas. Com isso, seria razoável supor que os efeitos da oficina poderiam ser melhor percebidos mais a longo prazo. Entretanto, deve-se pontuar que este resultado também pode ser reflexo de uma adoção imediata dos participantes das técnicas aprendidas na intervenção, não sendo possível garantir que os ganhos sejam incorporados à rotina dos estudantes. Dessa forma, os resultados devem ser interpretados cautelosamente.
A estrutura da intervenção foi elaborada de acordo com o que se apresenta como temas relevantes e possibilidades efetivas de modelos ou planejamentos estratégicos para o gerenciamento do tempo. Considerando, então, como foi trabalhada a gestão do tempo e o resultado majoritariamente positivo da oficina, conclui-se que a proposição de técnicas e estratégias para o alinhamento desses modelos com a própria rotina parece ser um meio eficiente para se aprimorar o manejo do tempo no contexto universitário.
Além disso, a experiência da oficina proporcionou a troca de experiências e sugestões entre os participantes. Pode-se assim afirmar que paralelo à possibilidade de aprendizado de estratégias e estratégias consta o compartilhamento de experiências entre os estudantes. Tal oportunidade possibilita a percepção por parte dos participantes que os seus problemas são comuns, e não idiossincráticos.
Conclusões
Este trabalho objetivou apresentar e avaliar o efeito de uma intervenção realizada com universitários. Foi possível perceber que o grupo obteve uma média inferior em relação aos escores pré-intervenção, o que é positivo, conferindo assim uma melhora na maioria dos estudantes e corroborando com a literatura, de que mesmo uma breve intervenção tem efeitos positivos.
Dentro das limitações deste estudo consta o curto tempo entre a intervenção e a avaliação final, com a ausência de uma coleta de dados de seguimento. E mesmo que a avaliação realizada pelo método JT possibilite investigar as mudanças entre os escores antes e depois de uma intervenção de forma confiável, sugere-se que um acompanhamento de avaliação follow up seja realizado, para que se confirme os benefícios a longo prazo da intervenção. Ademais, a realização da análise ter sido realizada com participantes coletados com um ano de diferença, ainda que sob o contexto da pandemia do COVID-19, pode figurar como uma prática pouco comum, a despeito da similaridade dos escores pré-intervenção entre os grupos.
Considerando a relevância desse repertório para a vida acadêmica-profissional de quaisquer estudantes, recomenda-se que mais oficinas sejam realizadas, para que mais universitários possam se beneficiar da prática de melhor gerenciamento do tempo e propiciar melhores estratégias do seu manejo no contexto universitário.










texto en 






