Services on Demand
Journal
Article
Related links
Share
Ciencias Psicológicas
Print version ISSN 1688-4094On-line version ISSN 1688-4221
Cienc. Psicol. vol.17 no.2 Montevideo Dec. 2023 Epub Dec 01, 2023
https://doi.org/10.22235/cp.v17i2.3270
Original Articles
Emotional memory modulation through music in patients with Alzheimer’s Disease
1 Universidad de Buenos Aires, Argentina, julietamoltrasio@gmail.com
2 Universidad de Buenos Aires, Hospital Interzonal General de Agudos Eva Perón, CONICET, Universidad de Palermo, Argentina
Emotional stimuli are better remembered than neutral ones. Music generates emotional arousal and can modulate memories in young and older adults. Studies show that in patients with Alzheimer’s Disease (AD) music improves word encoding and retrieval of autobiographical memories. Few studies used music as a post-learning treatment, showing a decrease in false positives in recognition. The aim of this work is to study the modulation of memory through music in patients with AD. 75 patients with AD were assessed. They observed emotional and neutral pictures, and then received a musical or neutral treatment: arousing music, relaxing music or white noise. Then, they recalled the pictures they remembered followed by a recognition task. We repeated this task a week later (delayed recall). The results indicated a decrease in false positives in delayed recognition in the group exposed to arousing music. In conclusion, music is capable of modulating memories in patients with AD. This modulation differs from what happens in other populations, which could be due to anatomical differences. The results support the use of music as a possible treatment for memory consolidation.
Keywords: Alzheimer’s disease; emotion; memory; music
Los estímulos emocionales son mejor recordados que los neutros. La música genera activación emocional y se utiliza para modular los recuerdos en adultos jóvenes y mayores. Los estudios muestran que en pacientes con demencia tipo alzhéimer (DTA) la música mejora la codificación de palabras y recuperación de recuerdos autobiográficos. Pocos estudios utilizaron la música como tratamiento postaprendizaje y mostraron disminución de falsos positivos en el reconocimiento. El objetivo del presente trabajo es estudiar la modulación de la memoria a través de la música en pacientes con DTA. Se evaluaron 75 pacientes con DTA. Observaron imágenes emocionales y neutras, y luego se les aplicó un tratamiento: música activante, relajante o ruido blanco. Luego, evocaron las imágenes que recordaban, seguido de una tarea de reconocimiento. Esto último se repitió una semana después (recuerdo diferido). Los resultados indicaron una disminución de falsos positivos en el reconocimiento diferido en el grupo expuesto a la música activante. En conclusión, la música es capaz de modular los recuerdos en pacientes con DTA. Esta modulación difiere de lo que sucede en otras poblaciones, lo cual podría deberse a las diferencias anatómicas. Los resultados apoyan la utilización de la música como posible tratamiento para la consolidación de la memoria.
Palabras clave: demencia tipo alzhéimer; emoción; memoria; música
Os estímulos emocionais são mais bem lembrados do que os neutros. A música gera ativação emocional e é usada para modular memórias em adultos, jovens e idosos. Estudos mostram que a música melhora a codificação de palavras e a recuperação de memórias autobiográficas em pacientes com Demência do Tipo Alzheimer (DTA). Poucos estudos usaram a música como tratamento pós-aprendizagem, mostrando uma diminuição de falsos positivos no reconhecimento. O objetivo deste trabalho é estudar a modulação da memória por meio da música em pacientes com DTA. Foram avaliados 75 pacientes com DTA. Eles observaram imagens emocionais e neutras, e então lhes foi aplicado um tratamento: música ativadora, relaxante ou ruído branco. Em seguida, eles recordaram as imagens de que se lembravam, seguido de uma tarefa de reconhecimento. Este último foi repetido uma semana depois (recordação diferida). Os resultados indicaram uma diminuição de falsos positivos no reconhecimento diferido no grupo exposto à música ativadora. Em conclusão, a música é capaz de modular memórias em pacientes com DTA. Essa modulação difere do que ocorre em outras populações, o que pode ser devido a diferenças anatômicas. Os resultados apoiam o uso da música como um possível tratamento para a consolidação da memória.
Palavras-chave: demência do tipo Alzheimer; emoção; memória; música
The memory modulation hypothesis indicates that we better remember emotionally arousing events (McGaugh, 2018). These events can be highly arousing and can be qualified in terms of valence as pleasant or unpleasant (Russell, 1980). Older adults are more likely to remember emotional material in both immediate and delayed trials (Denburg et al., 2003; Gomez-Gallego & Gomez-Garcia, 2017; Hamann et al., 2000; Justel & Ruetti, 2014; Leal et al., 2017). This emotional enhancement effect of memory is related to the activity of the basolateral nucleus of the amygdala (McGaugh, 2018).
Music elicits emotional responses in the listener (Kreutz et al., 2008), and has the ability to positively alter mood (Liu et al., 2021). Musical excerpts can be emotionally rated as highly arousing or relaxing. Arousing or activating musical pieces feature elevated frequencies, abrupt and unforeseen shifts in volume, pitch alterations in sounds or rhythm, as well as accelerandos and crescendos. On the other hand, relaxing pieces feature stable and slow tempo, gradual changes in volume, rhythm, harmony and pitch of notes, soft timbres, predictable melody and rhythm (Grocke & Wigram, 2006).
Music modulates memory for different events, when used as a post-learning treatment (Judde & Rickard, 2010; Justel et al., 2023; Justel & Rubinstein, 2013; Moltrasio, Mora et al., 2020). In previous studies, after watching or hearing pictures or words, participants listened to either a musical composition or white noise, and subsequently, recalled and recognized the visual or verbal stimuli. Both recall and recognition tasks were repeated a week later (Justel et al., 2023; Justel & Rubinstein, 2013; Moltrasio, Mora et al., 2020), as previous studies demonstrated the importance of incorporating delayed recall measures to demonstrate emotional memory enhancement (Quevedo et al., 2003; Schümann et al., 2018). Activating music enhanced both immediate and delayed word recall (Moltrasio, Mora et al., 2020), delayed recognition of words (Judde & Rickard, 2010), negative and neutral pictures recall (Justel et al., 2023), and both activating and relaxing music enhanced both immediate and delayed picture recall (Justel & Rubinstein, 2013).
Music also modulates memory in older adults (Justel et al., 2015; Moltrasio et al., 2022). Relaxing music decreased both immediate and delayed recall of emotional and neutral pictures (Justel et al., 2015). It also reduced delayed picture recognition (Moltrasio et al., 2022).
Dementia is one of the leading causes of disability and dependence in older adults globally (World Health Organization, 2021). Alzheimer's Disease (AD) is responsible for 70% of cases (World Health Organization, 2017). The most common symptom is memory impairment (Dubois et al., 2010; McKhann et al., 2011), resulting from the loss of neurons in the hippocampus and neocortex (Barnes et al., 2006; Demey & Rojas, 2017).
Patients with Alzheimer's disease (AD) produce false-positive errors on recognition tests (Abe et al., 2011; Budson et al., 2006; Gallo et al., 2004; Hildebrandt et al., 2009). They mistakenly recognize new stimuli as previously seen or heard. This could be due to a recollection impairment, i.e., the ability to evoke specific information from a stimulus. During recognition trials, patients rely on the notion that something was previously experienced, which is known as familiarity (Abe et al., 2011; Gallo et al., 2004), i.e., the mere notion that something was previously experienced. This lends to false positive errors.
Patients with AD spare some aspects of music processing and are able to enjoy music (Arroyo-Anlló et al., 2019; Jacobsen et al., 2015). Moreover, even severely impaired dementia patients remember familiar music pieces (Groussard et al., 2019; Tirigay et al., 2022). Regarding memory modulation through music in AD, there are different kinds of studies. Patients with AD better recall verbal material when it is alongside music (Fraile et al., 2019; Moussard et al., 2012; Simmons-Stern et al., 2010; Simmons-Stern et al., 2012). However, one study found no learning and recall differences between sung and spoken verbal stimuli (Baird et al., 2017). Music also enhances autobiographical memory (El Haj et al., 2012; Irish et al., 2006), improves recall of positive autobiographical memories (Baird et al., 2020), and is more effective in enhancing memory than other stimuli (Kaiser & Berntsen, 2023).
There are inconsistent findings concerning music as a post-learning treatment in AD: on the one hand, one study with moderate AD patients found no differences between activating music and white noise (control group) (Rubinstein et al., 2015). On the other hand, another study found that activating music decreased false positives of pictures in a delayed recognition test, compared to relaxing music and white noise (Moltrasio, Detlefsen et al., 2020).
The aim of this study is to investigate the modulation of emotional memory consolidation through music in patients with Alzheimer's disease (AD). The specific aims are to study modulation through activating and relaxing music in different measures of immediate and delayed memory: recall, recognition, and false positives. We hypothesize that activating music will enhance emotional memories, particularly influencing false positives, whereas relaxing music will lead to a decreased recall and recognition.
Methods
Participants
We assessed patients with mild AD (McKhann et al., 2011), who attended the Cognitive Impairment Laboratory affiliated with the Neurology Department at the Eva Perón General Acute Care Hospital in San Martín (Buenos Aires, Argentina). They underwent neurocognitive assessments and neurological examinations. Other potential causes of cognitive impairment were ruled out through laboratory studies and Computed Tomography (CT).
Seventy-five patients were selected, comprising 51 women and 24 men, with an average age of 77. All participants voluntarily signed a written informed consent priorly. The study was conducted in accordance with the ethical guidelines of the World Health Organization (Declaration of Helsinki) regarding experiments involving humans.
Inclusion criteria were: meeting the diagnostic criteria for AD (McKhann et al., 2011); being 60 years-old or over; obtaining a score on a deterioration scale indicating mild severity, measured through the Clinical Dementia Rating (CDR) (Hughes et al., 1982); and completing both instances of the protocol (see Procedure). Exclusion criteria were: significant lesions in CT scan images; history of stroke; substance addiction or psychiatric disorders; auditory and visual impairments; and having more than 5 years of experience in musical training.
Participants were subdivided based on the treatment received. The control group consisted of patients who did not receive treatment (García-Casal et al., 2017; López et al., 2020; Lyu et al., 2018), but were exposed to white noise (see Procedure).
Materials
Questionnaires. Two questionnaires were used: 1- Personal Data Questionnaire: age, years of schooling, substance use prior to assessment, medication, relevant illnesses, neurological family history, years of musical education. 2- Musical Preferences Questionnaire (Mercadal-Brotons & Augé, 2008).
Neurocognitive assessment. We used Mini-Mental State Examination (MMSE) (Butman et al., 2001; Folstein et al., 1975) and Clock Drawing Test (CDT) (Freedman et al., 1994).
International Affective Picture System (IAPS). Thirty-six pictures from the IAPS (Lang et al., 1997) were used to assess emotional episodic memory. We used twelve pleasant (positive) pictures, 12 unpleasant (negative), and 12 neutral. Additionally, three sample pictures were employed (one neutral, one positive, and one negative). These were selected based on previous studies (Moltrasio, Detlefsen et al., 2020; Moltrasio et al., 2022; Rubinstein et al., 2015).
Musical stimuli. The Symphony No. 70 in D Major by Joseph Haydn (Kreutz et al., 2008) was selected as the activating musical stimulus. This musical excerpt features unexpected changes in volume, rhythm, and pitch, crescendos, inducing high levels of arousal (Grocke & Wigram, 2006). We chose Pachelbel's Canon in D Major (Knight & Rickard, 2001) as a relaxing musical excerpt, which features a stable tempo, gradual crescendos, a repetitive harmonic base, and few dynamic and rhythmic changes (Grocke & Wigram, 2006).
White noise was used as a control condition, which was employed in previous studies (Justel & Rubinstein, 2013; Moltrasio et al., 2022).
Procedure
Each participant was individually assessed in two sessions, one week apart. During the initial session, they read and signed the informed consent. Subsequently, they orally answered the Personal Data and Musical Preferences Questionnaires.
During the first session, we told the participants they would look at a series of pictures and instructed them to rate the pictures based on the arousal or excitement they felt (arousal score). A practice trial with three pictures was conducted. Then, they viewed the remaining 36 pictures in a random order through a PowerPoint presentation on a computer screen. Each assessor recorded arousal scores for each picture on a grid.
Immediately afterward, participants listened to three minutes of either activating or relaxing music, or a control condition (white noise). Each participant was randomly assigned to one of these three conditions: one group received activating musical treatment, another received relaxing musical treatment, and the third was the control group exposed to white noise. Participants then briefly described the pictures they remembered. Subsequently, they performed a recognition task: we showed them the initial 36 pictures mixed with 36 new ones (12 positive, 12 negative, and 12 neutral, with an average arousal and valence similar to the initial 36). We considered true positive scores (pictures that were part of the initial 36 and were correctly recognized) and false positive scores (pictures that were not part of the initial 36 but were identified as such).
During the second phase, one week later, we repeated free recall and recognition trials, with a set of 36 new pictures, different from those in the immediate recognition task. The inclusion of this second phase made it challenging to reach a larger number of participants, as we considered this phase as an exclusion criteria to participate in the study. This was due to the observation that memory consolidation is more prominently observed in delayed recall (Quevedo et al., 2003; Schümann et al., 2018). Due to the patients’ characteristics (higher risk of diseases, comorbidities, and mortality), many were unable to complete the protocol.
Data Analysis
Data comparison was analyzed via ANOVA and Repeated Measures (RM) ANOVA. We conducted post-hoc tests when any variable or interaction was significant. The significance level was set at .05. Partial Eta squared (η²p) was used to estimate the effect size.
We compared the demographic data age and education, and the scores on the MMSE and CDT tasks. The Treatment variable (White Noise, Relaxing Music or Activating Music) was considered as the between factor.
Additionally, arousal, immediate recall, immediate recognition (true positives), immediate false positives, delayed recall, delayed recognition (true positives), delayed false positives were analyzed via a RM ANOVA. Treatment (White Noise, Relaxing Music or Activating Music) was established as the between factor and Type of picture (positive, negative, neutral) as the repeated measure.
Results
Demographic data
We found no age, F(2.74) = .642, p = .529; education, F(2.74) = .479, p = .521; MMSE, F(2.74) = 1.190, p = .310; and CDT, F(2.74) = .889, p = .416 differences between groups. Results are shown in Table 1.
Table 1: Demographic variables and test scoring

Note: Means of age, Educational level (years), MMSE and CDT in the three groups. RB: subjects who listened to white noise; ACT: subjects who listened to activating music; REL: subjects who listened to relaxing music; MMSE: Mini-Mental State Examination; CDT: Clock Drawing Test.
Picture arousal
Regarding arousal scores, the RM ANOVA indicated a significant effect of type of picture, F(2.71) = 206.963, p < .001, η²p = .854. Post-hoc analyses indicated that positive (M = 3.55) and negative (M = 3.97) pictures were more arousing than neutral pictures (M = 2.54), and negative pictures were rated as more arousing than positive pictures. Treatment factor was not significant, F(2.72) = 1.551, p = .219, η²p = .041.
Immediate Recall
Only Type of picture was significant, F(2.71) = 16.054, p < .001, η²p = .311. Participants better recalled emotional pictures (positive and negative), compared to neutral pictures. Results are shown in Table 2.
Immediate Recognition
For Immediate picture recognition nor type of picture, F(2.71) = 1.123, p = .331, η²p = .031, nor treatment, F(2.72) = .317, p = .729, η²p = .009, showed a significant effect.
Immediate false positives
The ANOVA showed a significant effect of type of picture for immediate false positives, F(2.71) = 53.316, p < .001, η²p = .618. Participants showed more false positives for positive pictures, compared to negative and neutral pictures (Table 3). Treatment factor was not significant, F(2.72) = .909, p = .408, η²p = .025.
Delayed recall
Type of picture showed a significant effect for delayed recall, F(2.71) = 10.960, p< .001, η²p = .236. Participants better recalled positive (M = 0.63) and negative (M= 0.72) pictures, compared to neutral ones (M = 0.16). Treatment factor was not significant, F(2,72) = .328, p = .722, η²p = .009.
Delayed recognition
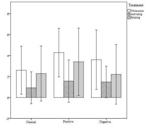
There were no significant differences of Type of picture F(2.71) = 2.370, p = .101, η²p = .063. The RM ANOVA indicated a significant interaction between type of picture and treatment, F(4.144) = 2.782, p = .029, η²p = .111. Post-hoc analyses showed that patients who received Relaxing music treatment recognized less negative pictures, compared to neutral and positive ones (Figure 1).
Delayed false positives
The ANOVA RM showed a significant effect of type of picture, F(2.71) = 14.241, p< .001, η²p= .286. Participants showed more emotional pictures false positives compared to neutral pictures. Treatment factor was also significant, F(2.72) = 6.710, p= .002, η²p = .157. Post-hoc analyses indicated a lower number of false positives in the group that received activating music treatment, compared to the groups that received white noise and relaxing music treatments (Figure 2).
Discussion
The aim of this study was to investigate the modulation of emotional memory consolidation through music in patients with Alzheimer's disease (AD). The specific aims were to study modulation through activating and relaxing music in different measures of immediate and delayed memory: recall, recognition, and false positives. Patients who received activating music treatment showed a lower number of false positives in delayed recognition, partially supporting the hypothesis. However, no differences were found between groups in other memory measures, even with relaxing music, contrary to the hypothesis.
Young adults exposed to activating music typically exhibit enhanced recall and recognition of emotional stimuli (Moltrasio, Mora et al., 2020). We did not observe this in the current study, as music did not enhance picture recall and recognition. This may be due to AD characteristics: memory consolidation and anatomical structures damage (Dubois et al., 2010; McKhann et al., 2011).
Prior studies investigating the role of music in AD employed procedures aimed at enhancing encoding or memory retrieval of verbal material (Baird et al., 2017; Fraile et al., 2019; Moussard et al., 2012; Simmons-Stern et al., 2010; Simmons-Stern et al., 2012). In contrast to the present study, those studies used verbal stimuli, and the procedures targeted other memory processes (encoding or retrieval). Only two previous studies employed a similar procedure to the current study (Moltrasio, Detlefsen et al., 2020; Rubinstein et al., 2015).
The results reveal music modulated memory, evidenced by a reduction in false-positive errors. Although AD patients tend to rely more on familiarity, resulting in more false positives (Abe et al., 2011), music may have enhanced consolidation, promoting a subsequent recognition based on recollection, i.e., a more precise recall of stored information. Previous studies found music decreased false positives in retrieval, for both verbal (Simmons-Stern et al., 2012) and visual stimuli (Moltrasio, Detlefsen et al., 2020). The decrease in false positives with post-learning musical treatment had only been reported in one study (Moltrasio, Detlefsen et al., 2020). These findings may have practical implications for the treatment of AD memory impairment.
Previous studies show that relaxing music decreased picture recall and recognition in older adults (Justel et al., 2015; Moltrasio et al., 2022). In the present study, relaxing music showed a different effect: it decreased recognition of negative pictures compared to neutral ones (within the same group), but did not affect their recognition compared to the other groups. In other words, it decreased emotionally negative recall compared to neutral stimuli recall. Damage to brain areas related to emotional memory (such as the amygdala), occurring in AD (Barnes et al., 2006), could explain these discrepancies with previous research in older adults: relaxing music might have impacted the activity of these areas differently, thus not producing the same effect on memories.
Our findings contribute to the existing evidence regarding the role of music in memory disorders (Baird et al., 2017; El Haj et al., 2012; Moussard et al., 2012; Simmons-Stern et al., 2012). It supports the use of music to modulate an impaired cognitive function: episodic memory. Although we employed an acute treatment, instead of longer-term stimulation, the results may help choose the most appropriate stimuli (e.g., activating music) for potential long-term treatments. The activating musical stimulus produced a similar effect to participants without memory disorders: it improved memory (Justel et al., 2023; Moltrasio, Mora et al., 2020). This supports the idea that AD patients process music, at least in emotional terms, similarly to how they did prior to the disease (Arroyo-Anlló et al., 2019; Jacobsen et al., 2015). Additionally, the fact that the results showed a decrease in false recognitions could have practical applications in treating everyday forgetfulness affecting patients' autonomy (Simmons-Stern et al., 2012), which often results from failures in recognizing prior exposure to a stimulus (e.g., repeating a meal or taking medication due to forgetfulness).
Regarding the study's limitations, it is worth noting the sample size, as the number of participants per group could be increased. On the other hand, the lack of music memory modulation in other memory measures could be attributed to both the disease and the stimuli used: previous studies with AD patients used participants' preferred music (El Haj et al., 2012; Moussard et al., 2012), which would cause greater emotional activation. A study comparing non-familiar activating music with familiar activating music would be highly useful.
In conclusion, the results support the idea that music modulates memories, even in neurological disorders impacting memory, such as AD. This has been scarcely studied in this type of dementia. The ability to demonstrate the role of music as a memory modulator lays the groundwork for developing specific treatments aimed at improving memory consolidation in those who need it the most.
REFERENCES
Abe, N., Fujii, T., Nishio, Y., Iizuka, O., Kanno, S., Kikuchi, H., Takagi, M., Hiraoka, K., Yamasaki, H., & Choi, H. (2011). False item recognition in patients with Alzheimer's disease. Neuropsychologia, 49(7), 1897-1902. https://doi.org/10.1016/j.neuropsychologia.2011.03.015 [ Links ]
Arroyo-Anlló, E. M., Dauphin, S., Fargeau, M. N., Ingrand, P., & Gil, R. (2019). Music and emotion in Alzheimer's disease. Alzheimer's research & therapy, 11(1), 69. https://doi.org/10.1186/s13195-019-0523-y [ Links ]
Baird, A., Gelding, R., Brancatisano, O., & Thompson, W. F. (2020). A preliminary exploration of the stability of music and photo-evoked autobiographical memories in people with Alzheimer’s and behavioral variant frontotemporal dementia. Music & Science, 3. https://doi.org/10.1177/2059204320957273 [ Links ]
Baird, A., Samson, S., Miller, L., & Chalmers, K. (2017). Does music training facilitate the mnemonic effect of song? An exploration of musicians and nonmusicians with and without Alzheimer's dementia. Journal of Clinical and Experimental Neuropsychology, 39(1), 9-21. https://doi.org/10.1080/13803395.2016.1185093 [ Links ]
Barnes, J., Whitwell, J. L., Frost, C., Josephs, K. A., Rossor, M., & Fox, N. C. (2006). Measurements of the amygdala and hippocampus in pathologically confirmed Alzheimer disease and frontotemporal lobar degeneration. Archives of Neurology, 63(10), 1434-1439. https://doi.org/10.1001/archneur.63.10.1434 [ Links ]
Budson, A. E., Todman, R. W., Chong, H., Adams, E. H., Kensinger, E. A., Krangel, T. S., & Wright, C. I. (2006). False recognition of emotional word lists in aging and Alzheimer disease. Cognitive and Behavioral Neurology, 19(2), 71-78. https://doi.org/10.1097/01.wnn.0000213905.49525.d0 [ Links ]
Butman, J., Arizaga, R., Harris, P., Drake, M., Baumann, D., De Pascale, A., Allegri, R., Mangone, C., & Ollari, J. (2001). El “Mini Mental State Examination” en español. Normas para Buenos Aires. Revista Neurológica Argentina, 26(1), 11-15. [ Links ]
Demey, I., & Rojas, G. (2017). Fisiopatología. En R. F. Allegri, S. Vázquez, & G. Sevlever (Eds.), Enfermedad de Alzheimer. Nuevos paradigmas (pp. 51-28). Polemos. [ Links ]
Denburg, N. L., Buchanan, T. W., Tranel, D., & Adolphs, R. (2003). Evidence for preserved emotional memory in normal older persons. Emotion, 3(3), 239. https://doi.org/10.1037/1528-3542.3.3.239 [ Links ]
Dubois, B., Feldman, H. H., Jacova, C., Cummings, J. L., DeKosky, S. T., Barberger-Gateau, P., Delacourte, A., Frisoni, G., Fox, N. C., & Galasko, D. (2010). Revising the definition of Alzheimer's disease: a new lexicon. The Lancet Neurology, 9(11), 1118-1127. https://doi.org/10.1016/S1474-4422(10)70223-4 [ Links ]
El Haj, M., Postal, V., & Allain, P. (2012). Music enhances autobiographical memory in mild Alzheimer's disease. Educational Gerontology, 38(1), 30-41. https://doi.org/10.1080/03601277.2010.515897 [ Links ]
Folstein, M. F., Folstein, S. E., & McHugh, P. R. (1975). “Mini-mental state”. A practical method for grading the cognitive state of patients for the clinician. Journal of Psychiatry Research, 12(3), 189-198. https://doi.org/10.1016/0022-3956(75)90026-6 [ Links ]
Fraile, E., Bernon, D., Rouch, I., Pongan, E., Tillmann, B., & Lévêque, Y. (2019). The effect of learning an individualized song on autobiographical memory recall in individuals with Alzheimer’s disease: A pilot study. Journal of Clinical and Experimental Neuropsychology, 41(7), 760-768. https://doi.org/10.1080/13803395.2019.1617837 [ Links ]
Freedman, M., Leach, L., & Kaplan, E. (1994). Clock drawing: A neuropsychological analysis. Oxford University Press. [ Links ]
Gallo, D. A., Sullivan, A. L., Daffner, K. R., Schacter, D. L., & Budson, A. E. (2004). Associative recognition in Alzheimer's disease: evidence for impaired recall-to-reject. Neuropsychology, 18(3), 556. https://doi.org/10.1037/0894-4105.18.3.556 [ Links ]
García-Casal, J. A., Goñi-Imízcoz, M., Perea-Bartolomé, M. V., García-Moja, C., Calvo-Simal, S., Cardelle-García, F., & Franco-Martín, M. (2017). Rehabilitación del reconocimiento de emociones combinada con estimulación cognitiva para personas con enfermedad de Alzheimer. Eficacia sobre aspectos cognitivos y funcionales. Revista de Neurología, 65(3), 97-104. https://doi.org/10.33588/rn.6503.2017031 [ Links ]
Gomez-Gallego, M., & Gomez-Garcia, J. (2017). Negative bias in the perception and memory of emotional information in Alzheimer disease. Journal of Geriatric Psychiatry and Neurology, 30(3), 131-139. https://doi.org/10.1177/0891988716686833 [ Links ]
Grocke, D., & Wigram, T. (2006). Receptive methods in music therapy: Techniques and clinical applications for music therapy clinicians, educators and students. Jessica Kingsley Publishers. [ Links ]
Groussard, M., Chan, T. G., Coppalle, R., & Platel, H. (2019). Preservation of musical memory throughout the progression of Alzheimer's Disease? Toward a reconciliation of theoretical, clinical, and neuroimaging evidence. Journal of Alzheimer's Disease, 68(3), 857-883. https://doi.org/10.3233/JAD-180474 [ Links ]
Hamann, S. B., Monarch, E. S., & Goldstein, F. C. (2000). Memory enhancement for emotional stimuli is impaired in early Alzheimer's disease. Neuropsychology, 14(1), 82. https://doi.org/10.1037//0894-4105.14.1.82 [ Links ]
Hildebrandt, H., Haldenwanger, A., & Eling, P. (2009). False recognition helps to distinguish patients with Alzheimer’s disease and amnestic MCI from patients with other kinds of dementia. Dementia and Geriatric Cognitive Disorders, 28(2), 159-167. https://doi.org/10.1159/000235643 [ Links ]
Hughes, C. P., Berg, L., Danziger, W., Coben, L. A., & Martin, R. L. (1982). A new clinical scale for the staging of dementia. The British Journal of Psychiatry, 140(6), 566-572. https://doi.org/10.1192/bjp.140.6.566 [ Links ]
Irish, M., Cunningham, C. J., Walsh, J. B., Coakley, D., Lawlor, B. A., Robertson, I. H., & Coen, R. F. (2006). Investigating the enhancing effect of music on autobiographical memory in mild Alzheimer’s disease. Dementia and Geriatric Cognitive Disorders, 22(1), 108-120. https://doi.org/10.1159/000093487 [ Links ]
Jacobsen, J. H., Stelzer, J., Fritz, T. H., Chételat, G., La Joie, R., & Turner, R. (2015). Why musical memory can be preserved in advanced Alzheimer's disease. Brain: a Journal of Neurology, 138(8), 2438-2450. https://doi.org/10.1093/brain/awv135 [ Links ]
Judde, S., & Rickard, N. (2010). The effect of post-learning presentation of music on long-term word-list retention. Neurobiology of Learning and Memory, 94(1), 13-20. https://doi.org/10.1016/j.nlm.2010.03.002 [ Links ]
Justel, N., & Rubinstein, W. Y. (2013). La exposición a la música favorece la consolidación de los recuerdos. Boletín de Psicología, (109), 73-83. [ Links ]
Justel, N., & Ruetti, E. (2014). Memoria emocional en adultos mayores: Evaluación del recuerdo de estímulos negativos. Cuadernos de Neuropsicología/Panamerican Journal of Neuropsychology , 8(1), 107-116. https://doi.org/10.7714/cnps/8.1.206 [ Links ]
Justel, N., Diaz Abrahan, V., Moltrasio, J., & Rubinstein, W. (2023). Differential effect of music on memory depends on emotional valence: An experimental study about listening to music and music training. Cogent Psychology, 10(1), 2234692. https://doi.org/10.1080/23311908.2023.2234692 [ Links ]
Justel, N., O’Conor, J., & Rubinstein, W. (2015). Modulación de la memoria emocional a través de la música en adultos mayores: Un estudio preliminar. Interdisciplinaria, 32(2), 247-259. https://doi.org/10.16888/interd.2015.32.2.3 [ Links ]
Kaiser, A. P., & Berntsen, D. (2023). The cognitive characteristics of music-evoked autobiographical memories: Evidence from a systematic review of clinical investigations. Wiley interdisciplinary reviews. Cognitive Science, 14(3), e1627. https://doi.org/10.1002/wcs.1627 [ Links ]
Knight, W. E., & Rickard, N. S. (2001). Relaxing music prevents stress-induced increases in subjective anxiety, systolic blood pressure, and heart rate in healthy males and females. Journal of Music Therapy, 38(4), 254-272. https://doi.org/10.1093/jmt/38.4.254 [ Links ]
Kreutz, G., Ott, U., Teichmann, D., Osawa, P., & Vaitl, D. (2008). Using music to induce emotions: Influences of musical preference and absorption. Psychology of Music, 36(1), 101-126. https://doi.org/10.1177/0305735607082623 [ Links ]
Lang, P. J., Bradley, M. M., & Cuthbert, B. N. (1997). International affective picture system (IAPS): Technical manual and affective ratings (Vol. 1). NIMH Center for the Study of Emotion and Attention. [ Links ]
Leal, S. L., Noche, J. A., Murray, E. A., & Yassa, M. A. (2017). Age-related individual variability in memory performance is associated with amygdala-hippocampal circuit function and emotional pattern separation. Neurobiology of Aging, 49, 9-19. https://doi.org/10.1016/j.neurobiolaging.2016.08.018 [ Links ]
Liu, Y., Wang, Z., & Yu, G. (2021). The effectiveness of facial expression recognition in detecting emotional responses to sound interventions in older adults with dementia. Frontiers in Psychology, 12, 707809. https://doi.org/10.3389/fpsyg.2021.707809 [ Links ]
López, C., Sánchez, J. L., & Martín, J. (2020). Análisis exploratorio de la influencia de la reserva cognitiva sobre el beneficio de la terapia de estimulación cognitiva en pacientes con enfermedad de Alzheimer esporádica de inicio tardío. Revista de Neurología, 70(8), 271-281. https://doi.org/10.33588/rn.7008.2019420 [ Links ]
Lyu, J., Zhang, J., Mu, H., Li, W., Champ, M., Xiong, Q., Gao, T., Xie, L., Jin, W., Yang, W., Cui, M., Gao, M., & Li, M. (2018). The effects of music therapy on cognition, psychiatric symptoms, and activities of daily living in patients with Alzheimer's Disease. Journal of Alzheimers Disease, 64(4), 1347-1358. https://doi.org/10.3233/jad-180183 [ Links ]
McGaugh, J. L. (2018). Emotion al arousal regulation of memory consolidation. Current Opinion in Behavioral Sciences, 19, 55-60. https://doi.org/10.1016/j.cobeha.2017.10.003 [ Links ]
McKhann, G. M., Knopman, D. S., Chertkow, H., Hyman, B. T., Jack, C. R., Kawas, C. H., Klunk, W. E., Koroshetz, W. J., Manly, J. J., & Mayeux, R. (2011). The diagnosis of dementia due to Alzheimer’s disease: Recommendations from the National Institute on Aging-Alzheimer’s Association workgroups on diagnostic guidelines for Alzheimer's disease. Alzheimer's & Dementia, 7(3), 263-269. https://doi.org/10.1016/j.jalz.2011.03.005 [ Links ]
Mercadal-Brotons, M., & Augé, P. M. (2008). Manual de musicoterapia en geriatría y demencias. Monsa-Prayma. [ Links ]
Moltrasio, J., Detlefsen, M. V., & Rubinstein, W. (2020). La música activante favorece los recuerdos visuales en pacientes con demencia tipo Alzheimer. Neurología Argentina, 12(3), 186-193. https://doi.org/10.1016/j.neuarg.2020.06.003 [ Links ]
Moltrasio, J., Detlefsen, V., Dominguez, F., & Rubinstein, W. (2022). Memoria emocional y efecto de la música en el recuerdo de adultos mayores. Ciencias Psicológicas, 16(1). https://doi.org/10.22235/cp.v16i1.2647 [ Links ]
Moltrasio, J., Mora, M. J., Justel, N., Roncero, B. S., Politis, D. G., & Rubinstein, W. (2020). Modulación de la memoria verbal con música activante y relajante. Cuadernos de Neuropsicología/Panamerican Journal of Neuropsychology, 14(3). https://doi.org/10.7714/CNPS/14.3.210 [ Links ]
Moussard, A., Bigand, E., Belleville, S., & Peretz, I. (2012). Music as an aid to learn new verbal information in Alzheimer's disease. Music Perception: An Interdisciplinary Journal, 29(5), 521-531. https://doi.org/10.1525/mp.2012.29.5.521 [ Links ]
Organización Mundial de la Salud. (2017). Global action plan on the public health response to dementia 2017-2025. https://www.who.int/publications/i/item/global-action-plan-on-the-public-health-response-to-dementia-2017---2025 [ Links ]
Organización Mundial de la Salud. (2021). Towards a dementia-inclusive society: WHO toolkit for dementia-friendly initiatives (DFIs). https://www.who.int/publications/i/item/9789240031531 [ Links ]
Quevedo, J., Sant’Anna, M. K., Madruga, M., Lovato, I., de-Paris, F., Kapczinski, F., Izquierdo, I., & Cahill, L. (2003). Differential effects of emotional arousal in short-and long-term memory in healthy adults. Neurobiology of Learning and Memory, 79(2), 132-135. https://doi.org/10.1016/S1074-7427(02)00034-5 [ Links ]
Rubinstein, W., Scattolón, M., & Castro, C. L. (2015). Modulación de la memoria a través de la música en pacientes con demencia. VII Congreso Internacional de Investigación y Práctica Profesional en Psicología XXII Jornadas de Investigación Décimo Encuentro de Investigadores en Psicología del Mercosur. Facultad de Psicología-Universidad de Buenos Aires, Buenos Aires. [ Links ]
Russell, J. A. (1980). A circumplex model of affect. Journal of Personality and Social Psychology, 39(6), 1161. https://doi.org/10.1037/h0077714 [ Links ]
Schümann, D., Bayer, J., Talmi, D., & Sommer, T. (2018). Dissociation of immediate and delayed effects of emotional arousal on episodic memory. Neurobiology of Learning and Memory, 148, 11-19. https://doi.org/10.1016/j.nlm.2017.12.007 [ Links ]
Simmons-Stern, N. R., Budson, A. E., & Ally, B. A. (2010). Music as a memory enhancer in patients with Alzheimer's disease. Neuropsychologia, 48(10), 3164-3167. https://doi.org/10.1016/j.neuropsychologia.2010.04.033 [ Links ]
Simmons-Stern, N. R., Deason, R. G., Brandler, B. J., Frustace, B. S., O'Connor, M. K., Ally, B. A., & Budson, A. E. (2012). Music-based memory enhancement in Alzheimer's disease: Promise and limitations. Neuropsychologia, 50(14), 3295-3303. https://doi.org/10.1016/j.neuropsychologia.2012.09.019 [ Links ]
Tirigay, R., Moltrasio, J., & Rubinstein, W (2022). Dissociations between musical semantic memory and verbal memory in a patient with behavioral variant frontotemporal dementia. Applied Neuropsychology: Adult, 1-10. https://doi.org/10.1080/23279095.2022.2148105 [ Links ]
Funding: This work was carried out with the support of the UBACyT doctoral scholarship 20220170100038BA, framed in the UBA subsidy 20020170100282BA
How to cite: Moltrasio, J., & Rubinstein, W. (2023). Emotional memory modulation through music in patients with Alzheimer’s disease. Ciencias Psicológicas, 17(2), e-3270. https://doi.org/10.22235/cp.v17i2.3270
Authors’ participation: a) Conception and design of the work; b) Data acquisition; c) Analysis and interpretation of data; d) Writing of the manuscript; e) Critical review of the manuscript. J. M. has contributed in a, b, c, d, e; W. R. in a, d, e.
Received: February 22, 2023; Accepted: October 17, 2023










text in 







