Introducción
La aterosclerosis se inicia en la edad pediátrica y su desarrollo se relaciona con la presencia de factores de riesgo (FR) cardiovascular. Estudios de anatomía patológica y funcionales en niños y adultos jóvenes han demostrado que las alteraciones vasculares ateroscleróticas se asocian con el número e intensidad de los FR, y su mejoría con el descenso en su exposición1-5.
Diferentes FR se han relacionado con el inicio de la aterosclerosis, incluso en edad pediátrica. Factores propios del individuo o genéticos y la exposición a hipertensión arterial, dislipemia, obesidad, diabetes, tabaquismo y sedentarismo, entre otros6.
Las alteraciones del metabolismo de los lípidos se pueden presentar en niños aun en etapa neonatal, como es el caso de las dislipemias genéticas. Dado que en esta edad es una enfermedad que cursa asintomática y los efectos sobre las arterias son progresivos, debemos sospechar precozmente su presencia para actuar en consecuencia. El diagnóstico precoz y el tratamiento oportuno reducirán el riesgo cardiovascular en la vida adulta7-9.
Se realiza una revisión bibliográfica y se analizan aspectos diagnósticos y terapéuticos basados en la experiencia de pediatras especialistas en cardiología y nutrición.
Objetivos
Exponer la importancia del conocimiento:
- de que las dislipemias pueden comenzar en la infancia;
- de las características de estas patologías y su manejo con el objetivo de mantener la salud del niño e iniciar precozmente la prevención de la enfermedad cardiovascular (ECV) del adulto,
Si bien existen publicaciones nacionales10,11, creemos importante promover la discusión de este tema del cual se han planteado nuevas normativas de estudio y tratamiento12,13.
Definición y clasificación
El colesterol y sus diferentes fracciones son sustancias normales del organismo. Su exceso o déficit puede alterar el metabolismo y producir enfermedades por depósito, sobre todo a nivel de las arterias, formando el sustrato fundamental para el inicio de la aterosclerosis.
Los triglicéridos (TG) son los componentes grasos más abundantes de la dieta, existiendo además producción endógena. Las hipertrigliceridemias (HTG) a lo largo del tiempo pueden causar hígado graso no alcohólico y cuando son muy severas pueden provocar pancreatitis12,14.
Las dislipemias son trastornos del metabolismo lipoproteico que se caracterizan por presentar valores anormales de algunas de las fracciones lipídicas. Para simplificar el manejo clínico, podemos dividirlas en hipercolesterolemias, hipertrigliceridemias y dislipemias mixtas o combinadas.
Desde el punto de vista etiológico todas ellas se clasifican en dislipemias primarias (o genéticas) y secundarias. Las primarias pueden ser monogénicas o poligénicas. Las monogénicas se deben a alteraciones en genes mayores o preponderantes en el metabolismo lipídico. Las poligénicas se deben a variantes de múltiples genes que modifican el metabolismo, pero se manifiestan cuando aparecen factores desencadenantes. En general son menos severas, pero son más frecuentes ya que se relacionan con el aumento de la prevalencia de obesidad y con los hábitos de vida.
Las dislipemias secundarias se relacionan con enfermedades de base responsables de esta alteración metabólica, entre ellas, causas renales (insuficiencia renal crónica, síndrome urémico hemolítico, síndrome nefrótico), infecciosas (infecciones agudas virales o bacterianas, sida, hepatitis), enfermedades inflamatorias, endocrinológicas (hipotiroidismo, diabetes tipo 1 y 2, síndrome de ovario poliquístico, lipodistrofias), hepáticas (colestasis, síndrome de Alagille), enfermedades de depósito, etcétera12.
Valores normales de colesterol y sus alteraciones
Se define dislipemia como niveles de colesterol total (CT), colesterol de lipoproteínas de baja densidad (C-LDL), TG o colesterol no asociado a lipoproteínas de alta densidad (C-No HDL) superiores al percentil (p) 90 o valores de colesterol de lipoproteínas de alta densidad (C-HDL) o apolipoproteína A (apoA) inferiores al p 1012.
Los valores de referencia se clasifican como aceptables, límites y anormales12(tabla 1).
Evaluación de los lípidos
La evaluación de los pacientes en la edad pediátrica la debe realizar el equipo de salud de atención primaria, liderado por el pediatra, quien realiza los controles en salud de niños y adolescentes. Conocer las indicaciones de cuándo y cómo estudiar las dislipemias es fundamental, ya que son enfermedades que cursan asintomáticas y requieren de su sospecha y búsqueda para hacer el diagnóstico.
La derivación a especialista está indicada en casos de dislipemias severas que requieren tratamiento farmacológico.
El perfil lipídico básico debe incluir la determinación del CT, C-HDL, C-LDL, C-No HDL y TG. La determinación del C-No HDL es la diferencia de CT menos el C-HDL, siendo de gran utilidad, pues no requiere de ayuno para su evaluación. Se ha identificado como un significativo predictor de aterosclerosis tanto en niños como en adultos.
La valoración de apolipoproteína B, apolipoproteína A-I para el tamizaje universal no está indicada y no ofrece ventajas adicionales sobre los estudios clásicos; su determinación se realiza en caso de antecedentes familiares (AF) de padres con ECV prematura sin otros factores de riesgo identificables.
La lipoproteína (a) se debería valorar en niños con accidente cerebrovascular (ACV) hemorrágico o isquémico y en los pacientes con hipercolesterolemia familiar (HF), ya que aumenta el riesgo de ECV12).
Para la realización del estudio de lípidos y lipoproteínas en sangre se debe tener en cuenta:
- la necesidad de ayuno de 8 a 12 horas, habitualmente solicitado por los laboratorios, sobre todo para la determinación de los niveles de TG, teniendo mínimo impacto sobre el resto de los valores, si bien no parece necesario para el tamizaje (15;
- estado metabólico estable: la determinación en sangre debe hacerse dos meses después de enfermedades infecciosas, metabólicas agudas o cirugías;
- mantener la dieta y el estilo de vida habituales;
- dada la variabilidad de los valores se recomienda realizar el promedio de por lo menos dos determinaciones separadas, como mínimo dos semanas, para catalogar un resultado como patológico.
Indicaciones de evaluación de colesterol en niños
Desde la elaboración de las guías para la prevención de riesgo cardiovascular en pediatría, en el año 2011, por el panel de expertos de la Academia Americana de Pediatría12, se plantea realizar tamizaje universal a los niños, ampliando de esta manera la práctica previa de valorar solamente a aquellos con historia familiar y con factores de riesgo. Existe evidencia significativa de que utilizando como único criterio la evaluación de la historia familiar de ECV prematura o hipercolesterolemia, se dejan de diagnosticar entre 30% y 60% de los pacientes con dislipemia. Además, los datos de la historia familiar pueden no estar disponibles.
Se proponen dos momentos para la realización del tamizaje universal: el primero en la edad escolar entre los 6 y 11 años, y el segundo al final de la adolescencia entre los 17 y 21 años, y de esta manera evitar el subdiagnóstico12.
Proponemos que el estudio de colesterol en niños se realice según:
- Tamizaje selectivo: a partir de los 2 años de edad y según la valoración del riesgo individual del paciente:
- historia familiar (padres, abuelos, tíos) de infarto de miocardio, ACV, enfermedad vascular periférica o tratamiento para alguna de estas patologías antes de los 55 años en hombres y de 65 años en mujeres;
- padres con CT > 240 mg/dl o dislipemia diagnosticada previamente o tratada con fármacos;
- FR propios como hipertensión arterial, diabetes mellitus, fumador, fumador pasivo, obesidad, u otras patologías que se comporten como tales: Kawasaki, enfermedad renal o inflamatoria crónica, trasplante cardíaco, virus de la inmunodeficiencia humana (VIH), síndrome nefrótico, lupus, artritis crónica juvenil, inmunodeficiencia, depresión o enfermedad bipolar.
- Tamizaje universal: se recomienda en la edad escolar entre los 6 y 11 años, antes de la pubertad, porque es la etapa con mayor estabilidad en el perfil lipídico. Se debería repetir entre los 17 y 21 años, para evitar los cambios que ocurren con el C-LDL y C-HDL durante la pubertad y el crecimiento, y porque algunas dislipemias pueden manifestarse más tardíamente (tabla 2).
Dislipemias primarias o genéticas
Las dislipemias genéticas se dividen en cuatro grupos:
- Hipercolesterolemias familiares
- Hipertrigliceridemias familiares
- Dislipemias combinadas familiares
- Lipoproteína (a) elevada
En las HF predomina el aumento de C-LDL, en las HTG predomina el aumento de los TG, y en las combinadas familiares puede predominar cualquiera de las dos fracciones cuyo predominio varía en el tiempo y se relacionan con familiares con ambos tipos de alteraciones.
Hipercolesterolemia familiar
En los pacientes con HF el C-LDL está elevado desde el nacimiento. Tienen un curso previsible de su enfermedad con mayor riesgo de ECV prematura.
En más del 90% de los casos se debe a alguna alteración en el gen del receptor de C-LDL. El restante 10% se reparte en alteraciones en el gen de la apolipoproteína B, alteraciones en el gen PCSK9, productor de la proproteína subtisilín kexin tipo 9, y alteraciones en el gen LDLRAP1 (proteína adaptadora del receptor de LDL 1). Todas las alteraciones genéticas se manifiestan en forma autosómica dominante, excepto las alteraciones del gen LDLRAP1 que se comporta como autosómica recesiva, por lo que la enfermedad que produce se conoce como hipercolesterolemia autosómica recesiva (ARH). Desde el punto de vista clínico, hablamos de HF en general.
Existen dos formas de la enfermedad:
- HF heterocigota
- HF homocigota
La forma heterocigota tiene una alta prevalencia que varía entre 1/200 y 1/500 individuos. Datos epidemiológicos muestran que la HF aumenta de 20 a 90 veces el riesgo de mortalidad por ECV, según el grupo etario. Existe tratamiento farmacológico para reducir el C-LDL, por lo tanto, la identificación de la HF desde la infancia tiene un beneficio potencial de reducir la mortalidad a futuro.
La HF cursa con aumento del CT, valores de C-LDL tan altos como 300 mg/dl, TG normales en general, y C-HDL que puede estar normal o disminuido.
Los niños con HF tienen un mayor grosor íntima-media arterial comparado con los que tienen niveles de colesterol más bajo. El grosor íntima-media es una medida anatómica del grosor de la pared arterial que se asocia con aterosclerosis de las arterias coronarias. Se mide con un método estandarizado a través de eco Doppler arterial15,16. Estas diferencias pueden ser significativas desde los 8 años. También se demostró que el tratamiento con estatinas detiene la progresión de la aterosclerosis. La edad de comienzo del tratamiento de la HF también se asocia con la aparición de eventos cardiovasculares. Los niños con HF que recibieron tratamiento con estatinas desde los 10 años, tuvieron mejor evolución cardiovascular18.
El diagnóstico de HF heterocigota en niños y adolescentes se plantea ante niveles de C-LDL > 190 mg/dl, o bien con C-LDL > 150 mg/dl cuando se tiene la confirmación genética de HF, o al menos la evidencia de transmisión vertical de la hipercolesterolemia y/o enfermedad coronaria prematura en uno de los progenitores18-22. El diagnóstico temprano, a partir de los 2 años y antes de los 8, es recomendado, lográndose una mayor adherencia al tratamiento preventivo23-27.
La HF homocigota requiere que ambos progenitores presenten una mutación causante de HF. Si las mutaciones son idénticas, se trata de HF homocigota; si son dos mutaciones diferentes, se considera heterocigota compuesta o falsa homocigota. Las mencionaremos en forma generalizada como HF homocigota. Su prevalencia es muy baja: 1/250.000 a 1/1.000.000 individuos.
Los niveles de CT en esta forma clínica son extremadamente altos, llegando a valores de 600-1.000 mg/dl y > 400 mg/dl de C-LDL. Pueden presentar signos y síntomas desde la infancia. Es común que los xantomas (depósitos grasos en tendones y piel) aparezcan a partir de los 3 o 4 años, predominando en las zonas de extensión, como codos y rodillas, tobillos, nudillos de los dedos de las manos y glúteos. Puede aparecer compromiso cardíaco desde la infancia, especialmente en la aorta (válvula y cayado). La aterosclerosis puede ser muy precoz y severa si no se inicia tratamiento. Los halos corneales son raros en pediatría.
Estos pacientes requieren tratamiento farmacológico muy temprano, apenas realizado el diagnóstico. Se utilizan tratamientos combinados con estatinas a altas dosis, ezetimibe y aféresis de LDL o, en su defecto, plasmaféresis, semanalmente o cada 15 días29.
Las dislipemias poligénicas vinculadas a obesidad y malos hábitos alimentarios son las más frecuentes en pediatría y tienen una buena respuesta al tratamiento no farmacológico. El patrón predominante es el de niños obesos con leve aumento del CT, moderado a severo aumento de TG, valores normales o levemente elevados de C-LDL y disminución de C-HDL. Este patrón de dislipemia se ha visto asociado con el inicio y progresión de las lesiones de aterosclerosis en niños y adolescentes12.
El diagnóstico genético confirma la enfermedad y facilita el cribado en cascada familiar. Se debe incluir la secuenciación completa para identificar mutaciones puntuales y deleciones/inserciones para el gen RLDL, APOB y PCSK928-30.
Una vez diagnosticado el caso índice (primer miembro de la familia en ser detectado) es fundamental iniciar el cribado familiar en cascada31-33. Cuando el fenotipo sugiere HF, la no detección de una mutación no excluye el diagnóstico18. No es imprescindible el diagnóstico genético para iniciar tratamiento farmacológico.
En nuestro país los pacientes con diagnóstico clínico y paraclínico de dislipemia de probable causa genética ingresan al Programa GENYCO (Genes y Colesterol) de la Comisión Honoraria para la Salud Cardiovascular. Es un registro centralizado nacional para la identificación de individuos portadores de HF y sus familiares.
Hipertrigliceridemias familiares
Las HTG primarias, genéticas o familiares, se producen por defectos genéticos en la síntesis o metabolismo de los TG.
Se incluyen en este grupo los síndromes de hiperquilomicronemia, la HTG familiar y la disbetalipoproteinemia36.
- Los síndromes de hiperquilomicronemia pertenecen a las enfermedades raras o de baja prevalencia (1/500.000 a 1/1.000.000), siendo la deficiencia familiar de lipoproteinlipasa (DLPL) y la deficiencia de apo CII las más frecuentes. Se producen por alteraciones en el gen de la lipoproteinlipasa (LPL) o de su cofactor, la apo CII . Estas alteraciones producen una acumulación masiva de quilomicrones en sangre con HTG severa en ayunas, HDL y LDL bajos. Los quilomicrones también se acumulan en hígado y bazo causando visceromegalias, y en el páncreas provocando procesos inflamatorios que pueden desencadenar una pancreatitis. Un alto porcentaje de niños se diagnostican en la primera infancia presentando cuadros de dolor abdominal recurrente, xantomas eruptivos y hepatomegalia. También puede aparecer lipemia retinalis. El diagnóstico de DLPL se realiza con concentraciones de TG y quilomicrones muy elevadas, en general > 1.000 mg/dl, pudiendo llegar a 10.000 o 20.000 mg/dl.
- Las complicaciones de la DLPL a largo plazo y cuando no hay adherencia al tratamiento, pueden incluir calcificaciones pancreáticas, diabetes y esteatorrea. El tratamiento es restricción de la grasa de la dieta (TG de cadena larga) a 10%-15% del valor calórico total para disminuir rápidamente el riesgo de pancreatitis y después mantener la restricción necesaria para mantener los TG por debajo de 400 mg/dl.
- Al igual que en las hipercolesterolemias, los pacientes con HTG que requieren tratamiento farmacológico y en los que se sospeche síndrome de quilomicronemia, deben ser derivados a especialista12,13).
- La hipertrigliceridemia familiar es un desorden autosómico dominante, con una prevalencia aproximada de 1/500 individuos que se manifiesta generalmente en la vida adulta. Los niveles de TG son habitualmente normales en pediatría, pero puede notarse su alteración en pacientes obesos. Se produce una sobreproducción de lipoproteínas de muy baja densidad (VLDL) por el hígado y un defecto también en el catabolismo de las lipoproteínas ricas en TG, pero el C-LDL y la apo B son normales. La concentración plasmática de TG es de 250-1.000 mg/dl y está presente en otros miembros de la familia.
- La disbetalipoproteinemia se produce por una mutación homocigota en el gen APOE que produce aumento de CT y TG, con C-LDL normal o bajo. Es rara su presentación en pediatría y en general se manifiesta cuando coexiste con obesidad o uso de estrógenos. El dato clínico característico son los xantomas palmares tuberoeruptivos, pudiendo aparecer también en otras regiones. Esta patología tiene excelente respuesta a la dieta y a cambios de estilo de vida. De ser necesarios fármacos, se utiliza omega 3 o fibratos.
Concepto de riesgo cardiovascular en pacientes con dislipemia
El grado de alteración de los lípidos plasmáticos, asociado a otros FR, permite determinar el riesgo individual y la indicación de tratamiento farmacológico (tabla 3).
Tratamiento de las dislipemias
El tratamiento tiene como objetivo disminuir el riesgo de eventos cardiovasculares prematuros en el caso de las hipercolesterolemias y de pancreatitis en las HTG graves.
El tratamiento no farmacológico está indicado en todos los pacientes con dislipemia a partir de los 2 años de edad, e incluye dieta, actividad física, cambios en el estilo de vida, evitar o tratar la obesidad y control de otros FR (hipertensión arterial, tabaquismo, estrés, sedentarismo).
La evaluación inicial se realiza en atención primaria. Los casos más frecuentes son aquellos con dislipemias leves a moderadas vinculadas a obesidad y malos hábitos alimentarios, debiendo iniciar tratamiento no farmacológico.
Las directivas para el tratamiento dietético o nutricional ya han sido establecidas12-14.
Tratamiento nutricional
Habitualmente se trata de enfermedades crónicas, por lo que los cambios en alimentación y hábitos de vida son para toda la vida. Se debe evaluar la alimentación actual y sus preferencias alimentarias. El tratamiento dietético debe asegurar las calorías y los nutrientes necesarios para un correcto crecimiento y desarrollo.
La evaluación, la implementación del tratamiento nutricional así como el seguimiento, se hacen en conjunto con los licenciados en nutrición con experiencia en el manejo de pacientes pediátricos con esta patología.
Las recomendaciones nutricionales se establecieron en las guías americanas12 que utilizan la dieta CHILD-1 (Cardiovascular Health Ingerated Lifestyle Diet) o primer paso, pensado como alimentación saludable para niños sanos con niveles de colesterol normal y para la primera etapa de tratamiento de la dislipemia por los primeros tres meses. Este primer paso indica (igual a la alimentación normal del niño sano) control de las grasas: 30% a 35% del valor calórico total (VCT), ácidos grasos saturados (AGS) 10%, ácidos grasos monoinsaturados (AGM) 10%, ácidos grasos poliinsaturados (AGP) 10%, y colesterol menos de 300 mg/día.
La meta es obtener niveles de C-LDL < 130 mg/dl, siendo lo ideal llegar a 110 mg/dl.
Para los pacientes mayores de 2 años con hipercolesterolemia, si en los primeros tres a seis meses no se logra el objetivo, se pasa al segundo paso, ajustes en: AGS 7%, colesterol 100 mg/1.000 Kcal, máximo 200 mg/día. Optimizar relación omega 3-omega 6, y disminuir consumo de grasas hidrogenadas10,12-14).
Para el caso de los pacientes con HTG, el tratamiento es el segundo paso (CHILD-2), al que se agrega: evitar el consumo de azúcares rápidos, jugos y gaseosas azucaradas, aumentar el consumo de omega 3 (en pescado graso de mar)13.
Otras medidas de apoyo incluyen: incorporar hasta 2 g de estanoles o esteroles y fibra soluble, realizar actividad física, de preferencia una hora diaria y como mínimo tres veces por semana, y limitar a menos de dos horas diarias la exposición a pantalla no educativa.
Si el perfil lipídico está severamente alterado, puede tratarse de una enfermedad genética o dislipemia primaria, y requerir valoración por especialista en lípidos y tratamiento farmacológico.
Tratamiento farmacológico
Cuando no se alcanzan los objetivos terapéuticos con el tratamiento no farmacológico, existen indicaciones precisas para el inicio de fármacos.
Estos se indican en niños mayores de 8 a 10 años, aunque en algunos casos se pueden iniciar a edades menores, como en las HF homocigotas; también en algunos pacientes con HF heterocigotas con valores de colesterol muy altos o FR de ECV prematura (AF o FR).
Los casos que requieren tratamiento farmacológico son las dislipemias de causas genéticas monogénicas, por frecuencia la HF en caso de C-LDL elevado y con menor frecuencia las HTG.
La decisión para indicar el tratamiento farmacológico se basa en la evaluación del tipo de colesterol elevado y sus niveles en base al promedio de dos perfiles lipídicos obtenidos con un intervalo de dos semanas y no más de tres meses, y a la evaluación del riesgo de cada paciente según la presencia de AF de ECV prematura u otros FR cardiovasculares (tabla 3).
Indicaciones de tratamiento farmacológico12,13) en casos de no respuesta al tratamiento no farmacológico durante tres a seis meses:
• C-LDL >250 mg/dl o TG > 500 mg/dl referir a especialista en lípidos;
• C-LDL > 190 mg/dl;
• C-LDL > 160 y < 190 mg/dl con AF de ECV o un FR elevado o dos FR moderados;
• pacientes con C-LDL >130 y < 160 mg/dl con AF positivos de ECV o dos FR elevado o un FR elevado más por lo menos dos FR moderados.
Los menores de 8 años con dislipemias severas a C-LDL, que podrían ser candidatos a tratamiento farmacológico, deben ser referidos a experto en tratamiento de dislipemias34,35.
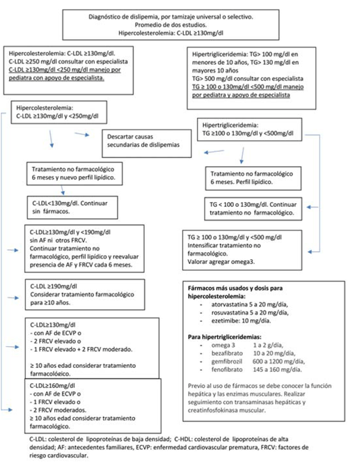
En la (figura 1) se muestra un algoritmo de tratamiento de dislipemias.
Fármacos para el tratamiento de las dislipemias
Dado que estos fármacos no son de uso común en niños, se recomienda la supervisión por pediatra o cardiólogo pediatra con experiencia en el manejo de pacientes con esta patología26,36,37).
Fármacos inhibidores de la síntesis de colesterol
Estatinas: son inhibidores de la hidroxi-metil-glutarilCoA-reductasa (HMG CoA reductasa); su mecanismo de acción es inhibir la enzima del paso limitante en la síntesis del colesterol y estimular la síntesis de receptores de C-LDL. Su efecto principal es el descenso de C-LDL.
Pueden provocar reacciones adversas, como elevación de las transaminasas hepáticas, aumento de creatinfosfoquinasa y miopatía con riesgo de rabdomiólisis.
Los fármacos y sus dosis son: atorvastatina, simvastatina, lovastatina y pravastatina de 5 a 40 mg/día, y rosuvastatina de 5 a 20 mg/día. Por ser teratogénicos están contraindicados en el embarazo y se debe realizar una adecuada contracepción en adolescentes38,39.
Las estatinas tienen interacciones medicamentosas con fármacos que se metabolizan por la vía del citocromo P 450, como fungicidas, eritromicina y antiarrítmicos, entre otros.
Inhibidores de la absorción de colesterol
Ezetimibe: su acción se ejerce a nivel intestinal y no requiere de su absorción. Su efecto principal es el descenso del C-LDL a través de la inhibición de la proteína NLP1, que es el canal de absorción del colesterol y los esteroles en el enterocito. Las reacciones adversas son síntomas gastrointestinales, cefalea y miopatías. La dosis de ezetimibe es de 10 mg/día40-42).
Las resinas de absorción de ácidos biliares también actúan inhibiendo la absorción del colesterol. Su mecanismo de acción es por unión a los ácidos biliares impidiendo su recirculación enterohepática, con lo que disminuye el pool de colesterol intracelular y se estimula la secreción de receptores de C-LDL. Disminuyen el C-LDL pero aumentan los TG. Las reacciones adversas son síntomas gastrointestinales, por lo que muchas veces son mal tolerados, produciendo rechazo y mala adherencia al tratamiento. Pueden disminuir la absorción de vitaminas liposolubles y minerales. La dosis de colestiramina es de 2 a 4 g/día en dos tomas43,44.
Fármacos para el tratamiento de las hipertrigliceridemias
Derivados del ácido fíbrico, ácido nicotínico y omega 326,36,37.
El mecanismo de acción de los derivados del ácido fíbrico es como agonistas de los receptores PPAR-alfa que estimulan la síntesis de LPL e inhiben la síntesis de apo CIII, que actúan en el catabolismo de las C-VLDL (colesterol de muy baja densidad) y TG, también disminuyen la síntesis hepática de VLDL-C. Su efecto principal es el descenso de los TG. Pueden provocar reacciones adversas con síntomas gastrointestinales y miositis; potencia su toxicidad la asociación con estatinas. Los más usados son: bezafibrato 10 a 20 mg/día, gemfibrozil 600 a 1.200 mg/día y fenofibrato 145 a 160 mg/día.
El ácido nicotínico o niacina inhibe la liberación de ácidos grasos libres del tejido adiposo, disminuye la producción de C-VLDL y C-LDL y disminuye la degradación del C-LDL. Su efecto principal es la disminución de TG y C-LDL y el aumento del C-HDL. Las reacciones adversas son toxicidad hepática, crisis de rubicundez e hiperglucemia. Hay poca experiencia de uso de la niacina en pediatría.
El omega 3 de aceite de pescado disminuye los ácidos grasos hepáticos y la síntesis de TG y aumenta la degradación de ácidos grasos con disminución de C-VLDL. Su efecto principal es el descenso de los TG y aumento de C-HDL. Las reacciones adversas son síntomas gastrointestinales, mal sabor y discrasias sanguíneas. La dosis es de 1 a 2 g/día.
Dadas las reacciones adversas de los fármacos hipolipemiantes, se requieren controles estrictos para su uso, tanto desde el punto de vista clínico: crecimiento, desarrollo sexual, síntomas gastrointestinales, aparición de cefaleas y dolores musculares, como paraclínico.
Previo a su indicación es necesario evaluar la función hepática y las enzimas musculares, realizando luego un seguimiento a través de transaminasas hepáticas y creatinfosfokinasa muscular.
Esta valoración se reitera a las cuatro semanas de iniciado el tratamiento y cada tres meses el primer año; si no hay alteraciones, los controles se repiten a los seis meses y luego anualmente.
Conclusiones
Las dislipemias son FR para ECV del adulto que comienzan a actuar favoreciendo la aterosclerosis en edades tempranas. Prevenirlas, hacer diagnóstico precoz y tratarlas en forma adecuada es fundamental para la salud de los niños y en el futuro, de los adultos.
Las causas severas que requieren tratamiento intensivo, e incluso farmacológico, son las dislipemias primarias, siendo las más frecuentes las HF. El diagnóstico, tratamiento y seguimiento lo debe realizar el pediatra de atención primaria con la colaboración del especialista en dislipemias.
El diagnóstico precoz en base a la detección por tamizaje universal en la edad pediátrica está indicado según recomendaciones de varias sociedades científicas pediátricas. Si bien en nuestro país aún no constituye una recomendación pautada, esperamos que esta publicación contribuya a la discusión de los diferentes especialistas involucrados en llevar adelante pautas nacionales en el tema.


















