Servicios Personalizados
Revista
Articulo
Links relacionados
Compartir
Revista Uruguaya de Cardiología
versión On-line ISSN 1688-0420
Rev.Urug.Cardiol. vol.28 no.3 Montevideo dic. 2013
Artículo original
Valor del score de Atenas en el diagnóstico de cardiopatía isquémica
Roberto Ricca-Mallada1, Gonzalo Decia2, Daniela Umpiérrez2, Pablo Marichal3
1. Cardiólogo. Prof. Adjunto de Cardiología. Magíster en Ciencias Biomédicas e integrante del Sistema Nacional de Investigadores.
2. Licenciados Neumocardiólogos.
3. Licenciado Neumocardiólogo. Asistente de la EUTM.
Centro Cardiovascular Universitario, Escuela Universitaria de Tecnología Médica y Departamento de Medicina Nuclear del Hospital de Clínicas. Facultad de Medicina. Universidad de la República.
Correspondencia: Dr. Roberto Ricca Mallada. Cátedra de Cardiología. Centro Cardiovascular, Facultad de Medicina.
Correo electrónico: cardiofisiologia@gmail.com
Recibido agosto 12, 2013; aceptado octubre 6, 2013.
Resumen
Antecedentes: la aparición de ángor y/o infradesnivel del segmento ST durante la prueba ergométrica graduada (PEG) permite hacer el diagnóstico presuntivo de cardiopatía isquémica (CI). Otros cambios electrocardiográficos podrían ser de utilidad. Uno de ellos es el score de Atenas (SDA), que relaciona los cambios de amplitud del complejo QRS en reposo y en el posesfuerzo inmediato (PEI). El propósito de nuestro estudio es determinar la validez del SDA en el diagnóstico de CI; secundariamente, evaluar su correlación con la clase funcional (CF) del paciente y el incremento del doble producto (DP) durante la PEG.
Material y método: se realizó un análisis retrospectivo en 75 pacientes remitidos a estudio de perfusión miocárdica (EPM) sensibilizados con PEG. En 25 pacientes se diagnosticó isquemia por la presencia de defectos reversibles de grado moderado a severo.
Resultados: en los valores medios del SDA no se hallaron diferencias estadísticamente significativas entre los grupos. En EPM (+) fue -0,16 mm (DS±4,39) y en EPM (-) 1,88 mm (±4,3) (p=0,062). En cambio, existen diferencias significativas en los pacientes con CF I (>7 MET) o un DP>2,5 veces el basal. En los primeros, el SDA fue -3,73 mm (±6,83) en los EPM (+) y 5,2 mm (±4,34) en los EPM (-) (p<0,02). En aquellos con incremento del DP >2,5 veces, el SDA fue -1,57 mm (±6,99) en los EPM (+) y 3,64 mm (±4,72) en los EPM (-) (p<0,03).
Conclusiones: el SDA tiene utilidad para predecir isquemia moderada a severa en el EPM en aquellos pacientes en CF I o que incrementen dos veces y media el DP en la PEG.
Palabras clave:
ISQUEMIA MIOCáRDICA
TéCNICAS DE DIAGNóSTICO CARDIOVASCULAR
ERGOMETRíA
Summary
Background: the onset of angina and/or ST segment displacement during exercise testing (ET) is useful in the diagnosis of ischemic heart disease (IHD). Other changes in the electrocardiogram also may be of diagnostic value. One of them is the QRS or Athens Score (SDA) based in changes in the amplitude of the QRS complex recorded at rest and immediately post-stress. The purpose of this study is to determine the validity of the SDA in the diagnosis of IHD, secondarily, to evaluate SDA results according the functional class (CF) and the increment in the double product (DP) during the ET.
Material and method: we conducted a retrospective study in 75 patients referred to perform myocardial perfusion imaging (EPM) with ET. The diagnosis of ischemia was done in 25 patients with moderate to severe reversible defects.
Results: the SDA mean value expressed in mm (±SD) was -0,16 ± 4,39 for EPM (+) and 1,88 ± 4,3 for EPM (-), the difference was non-significant (p=0.062). However, there were significant differences in patients with CF I (> 7 MET) or a DP >2,5 times the baseline. In the first, the SDA was -3,73 ± 6,83 in EPM (+) and 5,2 ± 4,34 in the EPM (-) (p< 0,02). In those with DP increased >2.5 times, the SDA was -1,57 ± 6,99 in the EPM (+) and 3,64 ± 4,72 EPM (-) (p<0,03).
Conclusion: the SDA have diagnostic utility for predicting moderate to severe ischemia in the EPM in those patients with CF I or an increment of the DP >2,5 in the ET.
Keywords:
MYOCARDIAL ISCHEMIA
DIAGNOSTIC TECHNIQUES, CARDIOVASCULAR
ERGOMETRY
Introducción
Actualmente en nuestro país la mortalidad por enfermedades cardiovasculares representa el 30% del total de defunciones y la cardiopatía isquémica es la segunda causa de mortalidad cardiovascular(1). Por su fácil acceso y bajo costo la prueba ergométrica graduada (PEG) sigue ocupando un lugar de importancia en el diagnóstico de cardiopatía isquémica. Entre los criterios diagnósticos convencionales se encuentra el infradesnivel del segmento ST y la presencia de ángor durante el esfuerzo (2,3). Existen otros criterios diagnósticos no convencionales cuya presencia ha sido mencionada en la literatura como de utilidad(2). Uno de ellos es el score de Atenas (SDA). Si bien este índice se encuentra actualmente en desuso, es mencionado como de utilidad diagnóstica en varios artículos científicos(2,4,5).
El SDA es una puntuación que examina las amplitudes netas del complejo QRS del electrocardiograma (ECG) en las derivaciones aVF y V5 durante el reposo y en el posesfuerzo inmediato (PEI). Se calcula restando las amplitudes de las ondas Q y S a la amplitud de la onda R en cada derivación, tanto en el reposo como en el PEI. Al valor obtenido durante el reposo se le resta el valor obtenido durante el PEI, lo que nos da el valor del score en esa derivación (QRS score en aVF, QRS score en V5). Finalmente, sumando el valor del score en aVF al valor del score en V5 obtenemos el valor del SDA(2,6).
Koide y colaboradores demostraron que el SDA agrega información diagnóstica complementaria a la depresión del segmento ST(7). También se ha mencionado que este score estaría inversamente relacionado con la extensión anatómica de la enfermedad coronaria y que su negatividad siempre se asocia a enfermedad coronaria independientemente de la presencia o ausencia de depresión del segmento ST(8 ). Asimismo, este score tendría una relación inversa con los índices de motilidad (7,9 ).
Michaelides y colaboradores, en un trabajo realizado a pacientes sometidos a gammagrafía con Tl-201 usando infusión de dipiridamol, concluyeron que “un resultado anormal del SDA mejora de forma significativa la baja sensibilidad de los cambios del segmento ST para la detección de isquemia miocárdica”(10). Van Campen y colaboradores(5) mencionan que un punto de corte mayor a 5 se asocia a ausencia de isquemia; estos autores señalan que la precisión diagnóstica del SDA es significativamente mayor que el criterio del infradesnivel del ST(5).
Nuestro objetivo es evaluar la utilidad del SDA para predecir la presencia de isquemia en el estudio de perfusión miocárdica sensibilizado con esfuerzo ergométrico (EPM) mediante la técnica de SPECT (Single Photon Emission Computed Tomography). Secundariamente examinaremos la correlación entre el SDA y la clase funcional (CF), y entre el SDA y el doble producto (DP) alcanzado en la PEG.
Material y método
Se realizó un estudio descriptivo y retrospectivo, seleccionando 75 pacientes estudiados en el Centro de Medicina Nuclear del Hospital de Clínicas Dr. Manuel Quintela, Montevideo, Uruguay, durante el período comprendido entre abril del 2007 y junio del 2012. Todos los pacientes incluidos fueron remitidos para pesquisar cardiopatía isquémica mediante un EPM sensibilizado con PEG. Se seleccionaron 25 pacientes con EPM (+), definido como aquellos que presentaron un defecto de perfusión miocárdica reversible de grado moderado a severo. Los restantes 50 pacientes no presentaban defectos de la perfusión: EPM (-).
No fueron considerados para la selección aquellos pacientes que tuvieran alguna de las siguientes características: edad menor a 30 años o mayor a 75; ritmo diferente de sinusal; arritmias complejas; secuela de infarto en el ECG basal; trastornos de la conducción intraventricular, alteraciones significativas del segmento ST; diagnóstico previo de enfermedad coronaria; presencia de ángor o infradesnivel del segmento ST en la PEG; que no contaran con imágenes claras en el EPM o que presentaban alteraciones de la perfusión de grado leve.
Se conformaron dos grupos de pacientes: con EPM (+) y con EPM (-). En ambos grupos se calculó el valor del SDA que se expresó en mm, ya que el registro electrocardiográfico se efectuó con una calibración de 10 mm/mV.
Los datos de cada paciente fueron ingresados a una planilla de recolección de datos (Excel), para luego ser analizados con el software estadístico correspondiente. Los datos recolectados fueron los siguientes: sexo, edad, índice de masa corporal (IMC), factores de riesgo cardiovascular (FRCV): diabetes, dislipemia, tabaquismo, hipertensión arterial (HTA), sedentarismo, antecedentes familiares de cardiopatía isquémica, obesidad y estrés.
Se consignaron los valores de la frecuencia cardíaca (FC), la presión arterial sistólica y diastólica (PAS y PAD), tanto basales como los máximos alcanzados en el ejercicio. Se calculó el DP multiplicando la FC por la PAS, tanto basal como al máximo esfuerzo. Luego se calculó la proporción de incremento del DP durante la prueba (DP PEI/ DP basal).
Finalmente, se consignaron los MET (mlO2/kg/min) alcanzados en la PEG y se evaluó la CF.
Se consideraron en CF I aquellos pacientes que desarrollaron un esfuerzo de 7 o más MET; CF II aquellos que alcanzaron más de 5 y menos de 7 MET, y CF III los que no alcanzaron los 5 MET. La base de datos del Centro de Medicina Nuclear cuenta con un sistema informático y un archivo de cada estudio. El archivo contiene los datos ya mencionados, el estudio de estrés (ejercicio o farmacológico) con el ECG basal y de cada etapa del estudio y las imágenes del EPM (estrés y reposo). Adjunto a estos datos se encuentra el informe final realizado por el médico cardiólogo y el médico especialista en medicina nuclear.
Los EPM seleccionados para este trabajo fueron los realizados utilizando el protocolo de Astrand modificado(11).
En todos los pacientes se realizó PEG continua y progresiva utilizando una bicicleta ergométrica mecánica (Bentos, Montevideo, Uruguay). Los pacientes estaban monitorizados en forma continua con un cardiodesfibrilador (Nihon Kohden® actibyphasic, Japón). Todos los pacientes tenían registro del ECG de 12 derivaciones y de la PA determinada con un esfigmomanómetro aneroide (Tenso®China). Los valores se registraron antes del inicio del esfuerzo (basal) y durante el último minuto de cada carga y en los minutos uno, tres y cinco de la recuperación. El esfuerzo fue progresivo y continuo hasta alcanzar 85% de la FC máxima teórica (FCMT). Al alcanzar como mínimo esa FC se administraron entre 20 y 30 mCi de tecnecio 99-metoxi-isobutil-isonitrilo (99mTc MIBI) por vía endovenosa, manteniendo la frecuencia de pedaleo durante un minuto adicional para lograr así la correcta distribución del radiotrazador, comenzando luego la fase de recuperación. En día separado se administraron 15 mCi de 99m Tc-MIBI en condiciones de reposo.
El ECG fue realizado y almacenado mediante el sistema de registro electrocardiográfico continuo de 12 derivaciones simultáneas ERGOView (Eccosur SA, Buenos Aires, Argentina).
Las imágenes de los EPM se obtuvieron utilizando el protocolo de dos días (estrés y reposo) mediante SPECT. Las mismas fueron adquiridas a través de una gamma-cámara con doble cabezal (Mediso Nucline Spirit®, Budapest, Hungría). Las imágenes se analizan en tres cortes: eje largo horizontal, eje largo vertical y eje corto del ventrículo izquierdo (VI). El SPECT gatillado (adquisición dinámica sincronizada con el ECG) permitió la valoración del engrosamiento y motilidad parietal, construir las curvas de volumen del VI y estimar la morfología y la fracción de eyección del VI. Al finalizar el estudio se realiza una reconstrucción tridimensional del corazón. Se obtuvo el mapa polar que permite tanto un análisis semicuantitativo como la identificación aproximada del o los territorios coronarios afectados. El informe del estudio fue hecho por dos médicos especialistas en medicina nuclear que desconocían el presente trabajo y el valor del SDA en cada paciente.
Cálculo del score de Atenas
Para calcular el valor del SDA de cada paciente (figura 1), se realizó la medición de las amplitudes de las ondas Q, R, y S, en las derivaciones aVF y V5 en reposo y PEI. La amplitud de la onda R fue medida desde la línea isoeléctrica (segmento PR) hasta el pico de la onda R; las amplitudes de las ondas Q y S fueron medidas desde la línea isoeléctrica (segmento TP) hasta el nadir de las ondas Q y S, respectivamente. Las medidas fueron tomadas en tres latidos diferentes y se realizó un promedio que el software ERGOView agrupa automáticamente tanto en aVF como en V5, buscando la mejor línea isoeléctrica de los latidos de todo el registro electrocardiográfico.
Los valores de las ondas Q, R y S en aVF y V5 obtenidos del ECG basal fueron restados a los valores obtenidos en el PEI, resultando así el valor del score en cada una de esas dos derivaciones. Por último se suman los scores de ambas derivaciones y se obtiene el valor del SDA.
Las medidas fueron realizadas por tres observadores independientes, para ello se utilizó un sistema de calipers incorporado al software, luego se correlacionaron los distintos valores. En caso de discrepancias se volvieron a revisar los registros por los tres observadores con el mismo sistema, y además con un sistema de visión directa con lupa sobre el ECG impreso, de esa manera se lograba consensuar un valor promedio final.
Correlación de los valores del score de Atenas interobservador
Para el análisis de los valores del SDA se realizó una correlación entre los valores medidos por tres observadores independientes. En la tabla 1 se resumen los datos obtenidos por los tres observadores para los resultados del SDA en pacientes con EPM (+). La correlación hallada fue excelente, con un valor de r=0,95.
Análisis estadístico
Las variables cuantitativas (continuas) se expresaron como media ± 1 desvío estándar (DE); las variables cualitativas (categóricas) se expresaron como porcentajes (%). Se estudió si las variables analizadas seguían una distribución normal mediante el test de Kolmogorov-Smirnov (K-S). Para las comparaciones de los valores de SDA entre los grupos, se utilizó la prueba U de Mann-Whitney. Las variables continuas se compararon mediante la prueba de los rangos con signo de Wilcoxon. Las variables cualitativas fueron analizadas con el test de Fisher. Se utilizó el coeficiente de correlación de Spearman para comparar el SDA entre los observadores. Se consideró significativo un valor de p < 0,05. El análisis estadístico se realizó con el paquete estadístico SPSS® (versión 17.0; Statistical Package for the Social Sciences) Inc., Chicago, IL, EEUU), y el programa Graph Pad In Stat® 3,06 para Windows (GraphPad Software, Inc. La Jolla, EE.UU).
ResultadosCaracterísticas demográficas
Se estudiaron de manera consecutiva 75 pacientes, 42 de ellos eran mujeres (56%). El promedio de edad fue de 56 años con un rango de 30 a 75 años. La media del índice de masa corporal (IMC) fue 29,72 (±5,84) kg/m2. Los MET alcanzados durante la PEG fueron en promedio 5,65 (±2,11). En cuanto a la CF: 20 pacientes (26,7%) se encontraban en CF I, 38 pacientes (50,7%) en CF II y 17 pacientes (22,7%) en CF III. Con respecto a la presencia de factores de riesgo, 69,3% de los pacientes tenían HTA, 66,7% estrés, 54,7% eran obesos, 53,3% eran sedentarios, 50,7% eran dislipémicos, 42,7% eran tabaquistas, 13,3% eran diabéticos y cuatro pacientes (5,3%) presentaban antecedentes familiares de enfermedad coronaria. En relación con los valores promedio de la PA, se constató una PAS basal de 129 (±22) mmHg y una PAD basal de 81 (±14) mmHg. La media de la PAS máxima alcanzada fue de 175 (±25) mmHg y de la PAD máxima fue de 92 (±16) mmHg. En la FC basal la media registrada fue de 87 (±16) cpm y la media de la FC máxima registrada fue de 146 (±14) cpm. Las características demográficas y clínicas de la población se expresan en la tabla 2.
En función del resultado del EPM no hay diferencias significativas en la distribución por sexo entre ambos grupos, con 60% de mujeres en los EPM (+) y 54% en los EPM (-). Los pacientes con estudios positivos eran significativamente mayores en edad: 59 ±8 años en EPM (+) versus 54 ±12 años en EPM (-); (p= 0,047). Con respecto a los factores de riesgo cardiovascular, los pacientes con EPM (+) presentaron una mayor proporción de dislipemia (68% versus 42%; p= 0,034). No se hallaron diferencias significativas en la CF entre ambos grupos, sin embargo un mayor número de pacientes con EPM (+) se encontraba en CF III en relación con los EPM (-) (36% versus 16%; NS). En la tabla 3 se resumen cada una de las variables en uno y otro grupo.
En cuanto a los valores de FC basal y máxima, IMC, PAS y PAD basal y máxima, no se constataron diferencias estadísticamente significativas entre ambos grupos (tabla 4).
Resultados de los valores del score de Atenas en ambas poblaciones
El SDA muestra una tendencia no significativa a ser mayor en los estudios funcionales negativos para isquemia. El valor medio hallado para los pacientes con EPM (-) fue de 1,88 ±4,3, mientras que para los pacientes con EPM (+) fue de -0,16 ±4,39 (p= 0,062, NS).
Correlación entre valor del score de Atenas
y clase funcional alcanzada
Para el análisis de los resultados del SDA se dividió la población en tres subgrupos de acuerdo a la CF de cada paciente. Se relacionó la CF con el valor del SDA para los pacientes con EPM (+) y EPM (-) respectivamente (tabla 5).
Figura 2. Valor del SDA en relación con la CF en pacientes con EPM (-) y EPM (+). a) Se grafican los valores del SDA en CF I a III en pacientes con y sin isquemia. En CF III, el SDA es prácticamente igual independientemente del resultado del EPM. En CFII, la diferencia no es significativa y en CF I se verifica una diferencia de 9 puntos entre los EPM (+) y (-). b) Se representan los valores del SDA pero en diagrama de barras y con sus correspondientes desvíos estándar.
En las CF II y III, no hubo diferencias estadísticamente significativas en el valor del SDA hallado de acuerdo a si el EPM era (+) o (-).
Correlación entre el valor del score de Atenas
y el doble producto
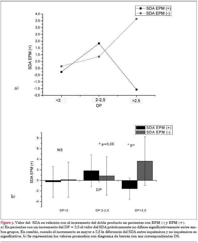
Para analizar la relación entre el valor del SDA y el DP se subdividió la población de acuerdo al valor del DP alcanzado durante la PEG. Se comparó el valor del score con el incremento del DP determinado por la relación DP PEI/ DP basal para ambos grupos de pacientes.
Se definieron tres subgrupos: uno que presentaba un incremento del DP < 2; otro con un incremento entre 2 y 2,5, y un tercer subgrupo con un incremento mayor de 2,5 veces el basal.
En los dos primeros subgrupos, con incremento igual o menor de 2,5, no se hallaron diferencias significativas para los valores medios del SDA entre los pacientes con EPM (+) o EPM (-). Sin embargo, para un incremento del DP >2,5 la diferencia hallada sí es significativa, con un valor medio del SDA nuevamente negativo -1,57 (±6,99) en los EPM (+), y de 3,64 (±4,72) en los EPM (-), (p<0.05) (tabla 6 y figuras 3 a y b).
Discusión
En el presente trabajo se analizó la validez del score de Atenas en el diagnóstico de cardiopatía isquémica en pacientes remitidos al Centro de Medicina Nuclear del Hospital de Clínicas Dr. Manuel Quintela para efectuar EPM sensibilizados con PEG. Observamos que las características de la población son similares en ambos grupos en lo que se refiere a la distribución de sexo y FRCV a excepción de la dislipemia. En los pacientes con EPM (+) se registró un promedio de edad algo mayor y más cantidad de dislipémicos, lo cual tiene un efecto muy fuerte en aumentar las posibilidades de tener cardiopatía isquémica.
En cuanto a las características de la prueba, se constató que los pacientes con EPM (+) desarrollaron menos MET durante la prueba en forma significativa.
Aunque se demostró una diferencia en el valor promedio del SDA entre los EPM (+) y EPM (-), para el diagnóstico de isquemia la misma no alcanzó significación estadística. Sin embargo, el estudio sí demostró que el SDA tiene utilidad diagnóstica para predecir isquemia moderada a severa en el EPM. Esto se evidenció al analizar los resultados de acuerdo a la CF o al incremento del DP durante la prueba. En pacientes con CF I, es decir mayor a 7 MET, obtuvimos una diferencia muy significativa en el valor del SDA entre aquellos que tenían o no isquemia en el EPM. También hubo diferencias significativas en aquellos pacientes que alcanzaron un doble producto mayor a dos veces y media del basal. La correlación interobservador objetivó la existencia de una alta coincidencia en la cuantificación del SDA, lo que indica que la medida es altamente reproducible.
El SDA fue señalado en publicaciones previas como de utilidad diagnóstica (Koide y colaboradores)(7). Más aún, Michaelides y colaboradores(10) señalan que este score aumenta la sensibilidad del infradesnivel del ST inducida por estrés farmacológico. Otros autores(12) han demostrado que el score es menor cuanto mayor es el número de vasos coronarios afectados. También se ha sugerido que el cálculo del SDA puede ser útil para diagnosticar “flujo coronario lento” en pacientes sin lesiones angiográficas(13). Van Campen y colaboradores(5) y Rajput y colaboradores() mencionan que un valor de SDA igual a 5 es útil para el diagnóstico de coronariopatía. Esto no fue comprobado en nuestro estudio donde los valores medios para los EPM (+) fueron de signo negativo y en los EPM (-) fueron de signo positivo, lo que nos hace presumir que el punto de corte óptimo estaría cercano a 0.
En las últimas guías de ejercicio (agosto de 2013) de la Asociación Americana del Corazón(14) se propone la incorporación del score de QRS o de Atenas al informe de la PEG con fines diagnósticos. En concordancia con esto, nuestro estudio evidencia la utilidad diagnóstica del SDA en pacientes con CF I o un doble producto mayor a 2,5 veces el basal. Estos pacientes no presentaron cambios significativos en el segmento ST ni ángor durante la prueba (criterios de exclusión), que son los criterios habituales para determinar si una PEG es positiva o negativa para isquemia, pero sí se demostró isquemia moderada a severa en el EPM, lo que indica un mayor rendimiento diagnóstico en pacientes que alcanzan un nivel de esfuerzo elevado.
Por otro lado, el análisis de correlación entre distintos observadores objetivó la existencia de una alta coincidencia en la cuantificación del SDA entre ellos. Esto indica que la medida es reproducible, lo que aporta una nueva herramienta a utilizar en aquellos pacientes que alcanzan 7 o más MET durante la PEG (CF I) o un doble producto mayor a 2,5 del basal.
Limitaciones del estudio
Nuestro análisis tiene algunas limitaciones.
En primer lugar, el número de pacientes evaluados en este trabajo fue pequeño ya que la base de datos contenida en el sistema no contaba con registros de estudios anteriores al año 2007.
Por otro lado, el método utilizado (EPM) no es el gold standard habitual para diagnosticar coronariopatía. Sin embargo, se sabe que la coronariografía evidencia solamente lesiones en vasos coronarios epicárdicos y no es útil para el diagnóstico de enfermedad coronaria de pequeños vasos o de la microcirculación. Además, el EPM tiene alta sensibilidad y especificidad para el diagnóstico de cardiopatía isquémica. Por otro lado, la ventaja de usar un test no invasivo evita un sesgo en la selección de pacientes, ya que la indicación de un estudio invasivo orienta fuertemente a la presencia de enfermedad coronaria en la población estudiada. Si bien la indicación de EPM puede tener cierto sesgo de selección, este es menor que en el caso de los pacientes enviados a coronariografía.
En tercer lugar, el hecho de que exista poca información sobre este índice y que sea escasamente utilizado podría restarle valor al mismo. Una razón que podría justificar su escaso uso es la necesidad de realizar varias medidas de las ondas del ECG, con el consiguiente incremento de los tiempos de informe.
Este inconveniente podría subsanarse mediante la incorporación de las herramientas necesarias para medir el SDA a los sistemas informáticos utilizados en el informe de ergometría. Con esta adquisición, la PEG seguiría siendo de muy bajo costo y mejoraríamos la sensibilidad del estudio.
Agradecimientos
A las licenciadas neumocardiólogas Graciela Do Mato y Cristina Ekroth de la Escuela Universitaria de Tecnología Médica por apoyar el estudio.
Al equipo de profesionales del Centro de Medicina Nuclear, que nos permitieron trabajar libremente en el momento de la recolección de datos, y en especial al Prof. Adj. Dr. Javier Vilar por sus valiosos aportes.
Bibliografía
1. Curto S, Prats O, Zelarayan M. Mortalidad por enfermedades cardiovasculares. Uruguay, 2009. Rev Urug Cardiol 2011; 26 (3): 189-96.
2. Ellestad MH. Stress Testing: Principles and Practice. 5°ed. New York: Oxford University Press; 2003: 219-20.
3. Gibbons RJ, Balady GJ, Bricker JT, Chaitman BR, Fletcher GF, Froelicher VF, et al. ACC/AHA 2002 Guideline Update for Exercise Testing: Summary Article: A Report of the American College of Cardiology/American Heart Association Task Force on Practice Guidelines (Committee to Update the 1997 Exercise Testing Guidelines). Circulation 2002; 106(14):1883-92.
4. Kligfield P, Lauer MS. Exercise Electrocardiogram Testing, Beyond the ST Segment. Circulation 2006; 114(19):2070-82.
5. Van Campen CM, Visser FC, Visser CA. The QRS score: a promising new exercise score for detecting coronary artery disease based on exercise-induced changes of Q-, R- and S-waves: a relationship with myocardial ischaemia. Eur Heart J 1996;17(5):699-708.
6. Kligfield P, Ameisen O, Okin PM. Heart rate adjustment of ST segment depression for improved detection of coronary artery disease. Circulation 1989;79(2):245-55.
7. Koide Y, Yotsukura M, Yoshino H, Ishikawa K. A new coronary artery disease index of treadmill exercise electrocardiograms based on the Step-up diagnostic method. Am J Cardiol 2001; 87(2):142–7.
8. Michaelides AP, Triposkiadis FK, Boudoulas H, Spanos AM, Papadopoulos PD, Kourouklis KV, et al. New coronary artery disease index based on exercise-induced QRS changes. Am Heart J. 1990;120(2):292-302.
9. Michaelides A, Ryan JM, Bacon JP, Pozderac R, Toutouzas P, Boudoulas H. Exercise-induced QRS changes (Athens QRS score) in patients with coronary artery disease: a marker of myocardial ischemia. J Cardiol 1995;26(5):263-72.
10. Michaelides AP, Fourlas CA, Andrikopoulos GK, Dilaveris PE, Paspaliaris AP, Stefanadis CI. QRS score versus ST- segment changes in patient undergoing TI-201 scintigraphy using dipyridamole infusion. J Nucl Cardiol 2005;12(2):203-7.
11. Astrand PO. Principles in ergometry and their implications in sports practice. Sports Med 1984;1:1-5.
12. Rajput R, Jagdish, Siwach SB, Kuman N. QRS Score: A Sensitive Parameter for Evaluation of Coronary Artery Disease in the Interpretation of Stress Test Electrocardiogram. JIACM 2002; 3 (1): 39-45.
13. Turkmen M, Barutcu I, Esen AM, Karakaya O, Esen O, Basarán Y. Comparison of Exercise QRS Amplitude Changes in Patients with Slow Coronary Flow Versus Significant Coronary Stenosis. Jpn Heart J 2004; 45(3):419-28.
14. Fletcher GF, Ades PA, Kligfield P, Arena R, Balady GJ, Bittner VA, et al. Exercise Standards for Testing and Training: A Scientific Statement From the American Heart Association [monografía en Internet]. Washington: AHA;2013. Disponible en: http://circ.ahajournals.org/content/early/2013/07/22/CIR.0b013e31829b5b44.













