Servicios Personalizados
Revista
Articulo
Links relacionados
Compartir
Revista Uruguaya de Cardiología
versión On-line ISSN 1688-0420
Rev.Urug.Cardiol. vol.27 no.2 Montevideo ago. 2012
Artículo original
Tratamiento específico de la hipertensión arterial pulmonar
Juan C. Grignola, Juan P Salisbury, Gabriela Pascal y colaboradores
Tratamiento específico de la hipertensión arterial pulmonar
Experiencia de la policlínica de hipertensión pulmonar del Hospital Maciel, período 2009-2011
Dres. Juan C. Grignola 1, Juan P. Salisbury 2, Gabriela Pascal 3,
Pedro Trujillo 4, Gabriel Parma 5, Pablo Curbelo 6
1. Profesor Agregado del Departamento de Fisiopatología. Facultad de Medicina. Udelar, Uruguay.
2. Ex Asistente Cátedra de Neumología, Hospital Maciel, Uruguay.
3. Ex Asistente de Cardiología, médico cardiólogo del Servicio de Cardiología, Hospital Maciel, Uruguay.
4. Profesor Adjunto Cátedra de Cardiología, Hospital de Clínicas. Udelar, Uruguay.
5. Asistente Cátedra de Cardiología, Hospital de Clínicas, Udelar, Uruguay.
6. Profesor Agregado Cátedra de Neumología, Hospital Maciel, Uruguay.
Trabajo realizado en la Policlínica de Hipertensión Pulmonar del Hospital Maciel. Ministerio de Salud Pública.
Correspondencia: Dr. Juan C. Grignola. Departamento de Fisiopatología, Hospital de Clínicas. Facultad de Medicina, Universidad de la República. Avda. Italia 2978, CP 11200. Montevideo, Uruguay. Correo electrónico: jgrig@fmed.edu.uy
Recibido marzo 30, 2012; aceptado mayo 22, 2012
Resumen
Introducción: la hipertensión pulmonar (HP) es una condición hemodinámica definida por un aumento de la presión arterial pulmonar media (PmAP) ³ 25 mmHg en reposo estimada mediante el cateterismo cardíaco derecho (CCD). Se comunica la experiencia adquirida en el diagnóstico, seguimiento y tratamiento de la hipertensión arterial pulmonar (HAP) y de la HP tromboembólica crónica (HPTEC) de la policlínica de HP del Hospital Maciel.
Métodos: se analiza una cohorte de 15 pacientes (2009-2011). Se estimaron la clase funcional (CF), la prueba de caminata de 6 minutos (P6M), la excursión sistólica del plano del anillo tricuspídeo (ESPAT) y la velocidad sistólica pico (Sm). La severidad hemodinámica fue estimada por CCD. Se definió respuesta vasorreactiva aguda (RVA) positiva por el descenso de la PmAP ³ 10 mmHg, alcanzando un valor absoluto £ 40 mmHg sin cambios o aumento del índice cardíaco (IC). Los datos se expresaron como media ± DS. Se empleó el test de t student pareado para comparar el efecto del tratamiento específico y el test de Kruskal-Wallis para comparaciones entre los grupos, con una p<0,05.
Resultados: la edad promedio fue de 43 ± 12 años, 12 (80%) mujeres. Diez (67%) del grupo 1 y 5 (33%) del grupo 4. El 20% se presentó en CF I-II y 80% en CF III-IV. El tiempo de seguimiento fue de 19 ± 11 meses. La ESPAT y la Sm basales fueron de 17 ± 7 mm y 11 ± 2 cm/s, respectivamente. La PmAP fue de 54 ± 15 mmHg, la presión auricular derecha 11 ± 6 mmHg, IC 2,1 ± 0,7 l/min/m2, resistencia vascular pulmonar 1.087 ± 625 dinas.s.cm-5, capacitancia pulmonar 1,3 ± 0,6 ml/mmHg. Un paciente presentó RVA positiva. Se empleó sildenafil (100%), bosentan (50%) e iloprost (43%); en 71% el tratamiento fue combinado. No se registró hepatotoxicidad por bosentan durante el período de seguimiento. Un paciente murió por rechazo a recibir tratamiento específico. Los 14 pacientes restantes presentaron una mejoría de la CF (3,0 ± 0,8 versus 2,1 ± 0,8, p<0,05), así como de la P6M, aunque no significativa (381 ± 117 versus 424 ± 107 m, p=0,1), sin cambios en la función del ventrículo derecho (VD) en reposo. La P6M se correlacionó con la CF (p<0,05), en tanto que a peor CF, mayor severidad hemodinámica (tendencia no significativa).
Conclusiones: la HP afecta a pacientes jóvenes, siendo detectados en estadios avanzados de la enfermedad con severo compromiso hemodinámico, requiriendo tratamiento combinado secuencial. Existe una correlación entre la severidad clínica y la respuesta al ejercicio valorado por la P6M. Se recomienda el desarrollo de programas de detección precoz (condiciones asociadas) y el acceso a las prostaciclinas parenterales.
Palabras clave:
HIPERTENSIóN PULMONAR
ILOPROST
SILDENAFIL
BOSENTAN
Summary
Introduction: pulmonary hypertension (PH) is a hemodynamic condition defined as an increase in mean pulmonary arterial pressure (mPAP) ³ 25 mmHg at rest as assessed by right heart catheterization (RHC). We report the experience in the PH diagnosis, follow-up and treatment (groups 1 and 4 of DanaPoint) of the PH clinic of the Hospital Maciel.
Methods: we analyzed a cohort of 15 patients (2009-2011). We estimated the functional class (FC), the six-minute walk distance (6MWD), the tricuspid annulus plane systolic excursion (TAPSE) and the peak systolic velocity (Sm). The hemodynamic severity was estimated by RHC. Acute vasoreactivity (AVT) positive response was defined as a decrease in mPAP ³ 10 mmHg, reaching an absolute mPAP £ 40 mmHg with an unchanged or increased cardiac index (CI). Data were expressed as mean ± SD. Student t test and Kruskal-Wallis test were used to compare the specific treatment effects and for multiple comparisons, respectively, with a p<0,05.
Results: mean patient aged 43 ± 12 years, 12 (80%) women. 10 (67%) of group 1 y 5 (33%) of group 4. 20% p were in FC CF I-II and 80% in FC III-IV. The mean follow-up was 19 ± 11 months. Basal TAPSE and Sm were 17 ± 7 mm and 11 ± 2 cm/s, respectively. mPAP was 54 ± 15 mmHg, right atrial pressure 11 ± 6 mmHg, CI 2,1 ± 0,7 l/min/m2, pulmonary vascular resistance 1.087 ± 625 dinas.s.cm-5, pulmonary capacitance 1,3 ± 0,6 ml/mmHg. One patient presented a positive AVT. Patients were treated with sildenafil (100%), bosentan (50%) and iloprost (43%), and 71% received a combination therapy. We did not report hepatotoxicity by bosentan during the follow-up period. One patient refused to receive specific therapy and died. The remaining 14 patients improved their FC (3,0 ± 0,8 versus 2,1 ± 0,8, p<0,05), and trended towards an improved of 6MWD (381 ± 117 versus 424 ± 107m, p=0,1), with no change of RV function at rest. 6MWD correlated with FC, while the worse FC, the higher hemodynamic severity (non-significant tendency).
Conclusions: PH affects young patients, being detected in late stages of the illness with severe hemodynamic impairment, requiring sequential combination therapy. 6MWD correlated with FC. We recommend the development of early detection programs (associated conditions) and the access of parenteral prostacyclins.
Key words:
HYPERTENSION PULMONARY
ILOPROST
SILDENAFIL
BOSENTAN
Introducción
La hipertensión pulmonar (HP) es una condición hemodinámica definida por un aumento de la presión arterial pulmonar media (Pm) ³ 25 mmHg en reposo estimada mediante el cateterismo cardíaco derecho (CCD) (1).
En los últimos años se han producido importantes avances en el diagnóstico y tratamiento de la HP que han logrado una mejoría significativa en la supervivencia de esta enfermedad. Según la clasificación de Dana Point (2008) se distinguen cinco grupos de HP con mecanismos etiopatogénicos, evolución y tratamiento diferentes (figura 1) (2,3). La HP es una complicación habitual en el paciente con cardiopatía o valvulopatía izquierda (grupo 2). Cerca de 40% de pacientes con enfermedad del lado izquierdo del corazón presentan HP y es la causa más frecuente de la misma (50%). En la enfermedad pulmonar obstructiva crónica (EPOC) la HP también es una complicación frecuente (grupo 3) (cerca de 15%-20% de las HP). En ambas situaciones, el pronóstico de la enfermedad subyacente depende del grado de HP acompañante. La HP arterial (HAP, grupo 1), entidad menos frecuente, bien en su forma idiopática, heredable o asociada a situaciones clínicas diversas como las conectivopatías, cardiopatías congénitas, infección por HIV, entre otras, puede afectar a 16 personas por millón de habitantes. Un cuarto grupo de HP debida a enfermedad trombótica crónica (5%-10%) y finalmente la HP no aclarada o de mecanismos desconocidos (grupo 5). Tanto la HAP (grupo 1) como la HP tromboembólica crónica (HPTEC, grupo 4) son entidades graves de baja prevalencia y alta mortalidad que requieren de guías específicas de acción a ser aplicadas por centros específicos. Para el año 2013 está previsto el quinto simposio mundial (26 de febrero al 1 de marzo) en Niza, Francia, donde se le dará especial importancia al análisis de los registros internacionales (4,5).
Los metaanálisis de ensayos clínicos randomizados controlados sugieren que el tratamiento específico mejora la sobrevida de los pacientes con HAP (6,7). Asimismo, datos provenientes de registros donde se comparan pacientes tratados en la era moderna con cohortes históricas confirman la mejoría en la sobrevida (8,9). Sin embargo, a pesar de dicha mejoría, la HAP sigue siendo una enfermedad progresiva y fatal.
Desde el año 2009 se dispone en nuestro país de dos nuevos fármacos para el tratamiento específico de la HAP que actúan en distintas vías fisiopatológicas. Dichos fármacos incluyen: los inhibidores de la fosfodiesterasa 5 (PDEi) (sildenafil y tadalafil); la prostaciclina (PGI2) inhalatoria (iloprost) y un antagonista no específico de los receptores de la endotelina-1 (ET-1) (bosentan). Estos dos últimos constituyen fármacos de alto costo y actualmente son financiados por el Fondo Nacional de Recursos. Por el momento no contamos en nuestro medio con prostaciclinas endovenosas indicadas en el paciente con HAP en clase funcional (CF) IV, refractaria a los otros fármacos, o como puente para el trasplante pulmonar.
De acuerdo a nuestro conocimiento no se han reportado hasta el momento pacientes con HAP en tratamiento con los fármacos específicos en el país. El objetivo del presente trabajo es comunicar la experiencia de la policlínica de HP del Hospital Maciel en el estudio y tratamiento de pacientes con HAP durante el período 2009-2011, con especial énfasis en la indicación y forma de empleo de las drogas específicas para el tratamiento de la HAP.
Material y método
Se incluyeron todos los pacientes con diagnóstico confirmado de HAP (grupo 1) e HPTEC (grupo 4) que han requerido tratamiento simple o combinado con algunos de los fármacos mencionadas durante el período comprendido entre enero de 2009 y diciembre de 2011. Nuestra policlínica ha evaluado 53 pacientes con HP, teniendo a 35 pacientes en seguimiento, de los cuales 15 pertenecen a los grupos 1 y 4, han completado su evaluación y están con tratamiento específico con monoterapia o terapia combinada.
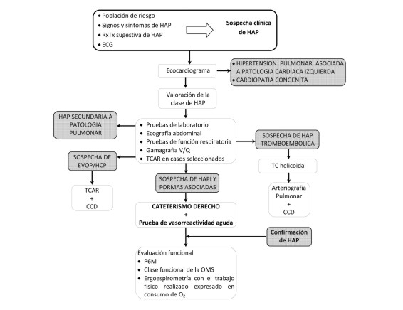
En todos los pacientes se aplicó una estrategia diagnóstica protocolizada basada en las guías de las Sociedades Europeas de Cardiología y Medicina Respiratoria 2009 (1,10), que partiendo de la sospecha clínica (población de riesgo, signos y síntomas de HP, electrocardiograma [ECG] y radiografía de tórax [RxTx] sugestiva de HP), se continúa con las pruebas diagnósticas necesarias para confirmar objetivamente la presencia de HP, incluyendo el CCD (figura 1).
La capacidad de ejercicio fue valorada en forma subjetiva mediante la limitación funcional cotidiana siguiendo la adaptación de la Organización Mundial de la Salud (OMS) de la clase funcional de la NYHA a la HAP. Se empleó la prueba de caminata de 6 minutos (P6M) para valorar de forma objetiva la situación funcional del paciente.
Se realizó ecocardiografía Doppler transtorácica a todos los pacientes valorando: presencia de insuficiencia tricuspídea, diámetro y variaciones respiratorias de la vena cava inferior, presencia de defectos anatómicos intracardíacos y extracardíacos que condicionan la existencia de cortocircuitos sistémico-pulmonares, el diámetro máximo transversal del ventrículo derecho (VD) y la función del VD. A partir de la velocidad pico de la IT (V) y la estimación de la presión auricular derecha (PAD) mediante el diámetro y las variaciones respiratorias de la vena cava inferior se calculó la PsAP como: 4V2 + PAD. La función del VD se estimó mediante dos parámetros: la excursión sistólica del plano del anillo tricuspídeo (ESPAT) por modo M y la velocidad sistólica pico del VD por Doppler tisular (11).
Se realizó la valoración hemodinámica mediante el CCD con catéter de Swan-Ganz introducido a través de la vena yugular o femoral, midiendo los siguientes parámetros: PAD, presión sistólica, diastólica y media arterial pulmonar (PsAP, PdAP y PmAP), presión capilar pulmonar (Pcp), saturación de oxígeno sistémica y de arteria pulmonar y gasto cardíaco (GC) por termodilución o por método de Fick en los casos de cortocircuito intracardíaco (cardiopatía congénita con cortocircuito sistémico-pulmonar o foramen oval permeable). Se estimó la postcarga dinámica mediante la resistencia vascular pulmonar ([PmAP – Pcp]/GC × 80, dinas.s.cm-5) y la capacitancia pulmonar (Cp = volumen sistólico/[PsAP-PdAP]). Por último se realizó valoración de la respuesta hemodinámica a fármacos vasodilatadores de corta duración (óxido nítrico e iloprost inhalados) a todos los pacientes con HAP del grupo 1. Se consideró una respuesta vasorreactiva positiva cuando se cumplieron los siguientes criterios: la PmAP se reduce ³ 10 mmHg respecto a la basal, la PmAP alcanza un valor absoluto £ 40 mmHg y el GC se mantiene inalterado o aumenta (12).
El tiempo de seguimiento medio fue de 18 ± 12 meses (entre 6 y 30 meses).
En aquellos pacientes que recibieron bosentan, se realizó control periódico del hepatograma al inicio del tratamiento, a los 15 días y 30 días de iniciado el tratamiento, y luego en forma mensual, así como hemograma cada tres meses. En la tabla 1 se resume el manejo clínico frente al aumento de las transaminasas. Dados sus efectos teratogénicos y la interacción con los anticonceptivos hormonales orales, se aconsejó a las pacientes en edad fértil, el empleo de métodos anticonceptivos de barrera.
Los datos se presentan como la media ± desvío estándar. Se utilizó el test t de Student pareado para comparar el cambio de diferentes variables antes y después de recibir tratamiento específico. Para la comparación entre más de dos grupos, los datos cuantitativos fueron analizados mediante el test no paramétrico de Kruskal Wallis. En todos los casos se empleó una p<0,05.
Resultados
Se analizó una cohorte de 15 pacientes durante el período ya establecido de 43 ± 12 años de edad, 12 (80%) mujeres y 3 (20%) hombres. Diez pacientes (67%) con HAP (grupo 1) y cinco (33%) con HPTEC (grupo 4). La distribución de pacientes del grupo 1 se muestra en la tabla 2. Cuatro pacientes ingresaron a estudio en 2009, cinco pacientes en 2010 y seis en 2011. El 20% se presentó en CF I-II y 80% en CF III-IV. La P6M fue anormal en la mayoría de los pacientes (entre 25% y 80% del valor de referencia) (13). Se realizó CCD a todos los pacientes demostrando un compromiso hemodinámico severo (tabla 2). Se realizó test de vasorreactividad agudo en los diez pacientes con HAP del grupo 1 (cuatro con iloprost y seis con óxido nítrico), siendo positivo en uno de ellos.
La P6M fue significativamente mayor en los pacientes en CF II y CF III respecto a los pacientes en CF IV (figura 2). A peor CF, mayor severidad hemodinámica (tabla 3) (tendencia no significativa, p=0,09).
Además del tratamiento fisiopatológico de la insuficiencia cardíaca derecha (diuréticos, digital) y anticoagulación todos los pacientes recibieron tratamiento específico.
La distribución según el tipo de fármaco específico fue de sildenafil (123 ± 18 mg/día) en 100%, bosentan en 50% (250 mg/día) e iloprost en 43% (seis inhalaciones/día, 20 µg/inh). El 71% de los pacientes recibieron tratamiento combinado y en 14% el tratamiento combinado incluyó los tres fármacos. Dicha terapia de combinación fue secuencial de acuerdo con un algoritmo de tratamiento guiado por objetivos (14). Catorce de los 15 pacientes se trataron inicialmente con sildenafil y se agregaron secuencialmente iloprost y/o bosentan. El paciente con vasorreactividad positiva recibió inicialmente amlodipina (60 mg/día) únicamente durante seis meses, debido a hipotensión sistémica y edemas persistentes que obligaron a su suspensión. En todos los casos hubo buena tolerancia a las drogas, sin constatar hepatotoxicidad por bosentan (mediana de seguimiento de 18 semanas; percentil 10 y 90: 6 y 37 semanas). Dos pacientes presentaron tos transitoria reversible asociada a iloprost.
Hubo una muerte de una paciente que presentándose con el peor IC (1,4 l/m/m2) y Cp (0,5 ml/mmHg) se negó a recibir tratamiento específico. Los 14 pacientes restantes presentaron una mejoría de la CF (p<0,01, figura 3), así como de la P6M (tendencia no significativa) (figura 4), sin cambios significativos en la función del VD en reposo.
Discusión
Se presentan 15 pacientes con HP del grupo 1 y del grupo 4 (este último con lesiones periféricas, sin indicación de endarterectomía pulmonar quirúrgica) que recibieron tratamiento farmacológico específico.
Si bien el estudio EARLY de Galié y colaboradores demostró el beneficio de una intervención precoz en pacientes con HAP moderada (15), en nuestra serie la mayoría de los pacientes (80%) se diagnosticaron tardíamente, en CF III-IV y con severo compromiso hemodinámico (dado por el IC, la PAD y la SvO2). Al igual que en los registros internacionales hubo una correlación significativa entre la CF y la distancia recorrida en la P6M y una tendencia no significativa entre la severidad clínica y hemodinámica (16). En este sentido, el registro francés presentó 75% de los pacientes en CF III/IV. Mientras que los pacientes en CF I/II caminaron 414 ± 86 m, los pacientes en CF III recorrieron 318 ± 92 m y en CF IV tan solo 190 ± 98 m (17).
Todos nuestros pacientes (excepto la paciente que se negó a recibir tratamiento) mejoraron la CF con el tratamiento específico. Al igual que las diferentes series internacionales solo un paciente de los diez pacientes del grupo 1 (10%) cumplió los criterios de vasorreactividad aguda (no obstante hubo que suspender el tratamiento con amlodipina por hipotensión sistémica y edemas persistentes, luego de seis meses inició tratamiento específico). En este sentido solo 50% de los pacientes con respuesta aguda positiva tienen una respuesta mantenida al tratamiento con altas dosis de calcio antagonistas (12), justificando continuar el uso de calcio antagonistas en monoterapia.
Se utilizó la P6M para evaluar la capacidad de ejercicio. Es una prueba sencilla, barata, reproducible y el único criterio de valoración de ejercicio submáximo aceptado por la Food and Drug Administration, y la European Medicines Agency para los estudios que evalúan el efecto de un tratamiento en la HAP. Refleja la capacidad de realizar las actividades habituales, predice la supervivencia en pacientes en CF avanzada y ayuda a determinar la modalidad de tratamiento y la respuesta al mismo. Además, sería un test más sensible que el test de ejercicio cardiopulmonar en pacientes con HAP (18). En nuestra cohorte, la tolerancia al ejercicio medida por la P6M mostró una mejoría aunque no significativa que puede explicarse, al menos en parte, por el bajo número de pacientes y por el breve tiempo de tratamiento de algunos de ellos (tiempo de seguimiento de seis meses en tres pacientes).
Figura 5. Clasificación de la hipertensión pulmonar (Dana Point, 2008). ALK-1: cinasa tipo 1 similar a los receptores de activina;
BMPR2: receptor de proteínas morfogenéticas óseas tipo 2; VIH: virus de la inmunodeficiencia humana; CPC: cardiopatía congénita.
No está claro si los diferentes tipos de HAP presentan una patogénesis común. No obstante, se sabe que el aumento de la impedancia vascular pulmonar está determinada por la vasoconstricción, la remodelación de la pared vascular secundaria a la proliferación celular y la trombosis in situ. Se han identificado tres vías principales en el desarrollo y progresión de la HAP: la vía de las prostaciclinas, de la endotelina y del óxido nítrico (19). Es así que los fármacos específicos disponibles en la actualidad actúan a través de alguna de estas tres vías señaladas (figura 6) (20-27).
Una de las características de la disfunción endotelial en la HP es la disminución de la prostaciclina sintetasa. El principal objetivo de la PGI2 es el receptor tipo 1 de las prostaglandinas (P1). La activación de este receptor lleva a la activación de proteínas G de membrana y de la adenilatociclasa, resultando en un aumento del monofosfato cíclico de adenosina (AMPC). Este es el mecanismo por el cual las prostaciclinas inducen vasodilatación y evitan la agregación plaquetaria y la inflamación. En nuestro medio contamos únicamente con el iloprost, un análogo de la PGI2 químicamente estable, disponible para administración inhalatoria. Su principal ventaja radica en la selectividad para la circulación pulmonar, aunque su vida media corta (60-90 minutos) requiere de inhalaciones frecuentes (6-9 inh/día, 2,5-5 µg/inh, 15 a 45 µg/día), de 5 a 15 minutos de duración cada una según el dispositivo utilizado (20,21).
La ET-1 desempeña un papel fundamental en la patogenia de la HAP. Sus concentraciones están considerablemente elevadas en todas las formas de HP en humanos (idiopática y asociadas, tromboembólica crónica e insuficiencia cardíaca). El nivel de ET-1 se correlaciona con la severidad de la HP y con las alteraciones morfológicas de la pared vascular de la AP objetivadas por ecografía intravascular. El bosentan es un fármaco oral, antagonista no peptídico de los receptores de la ETA y ETB (ARE) con una afinidad similar (22). Una limitación del bosentan es su hepatotoxicidad, lo cual requiere el monitoreo mensual de la función hepática. Este efecto puede observarse en las fases precoces o tardías del tratamiento, aunque generalmente ocurren en los primeros seis meses de iniciado el mismo (24,25).
El tercer tipo de fármaco son los PDEi, los que ejercen sus efectos a través de la vía del ON. El ON tiene acciones vasodilatadoras, antiproliferativas y antitrombóticas similares a las prostaciclinas. Su actividad está mediada por el monofosfato cíclico de guanosina (GMPC), segundo mensajero intracelular producido en su mayoría por la activación de la guanilato ciclasa soluble (sGC). En individuos sanos, GMPC es rápidamente degradado por fosofdiesterasas específicas (PDE-5, -6 or -9) o inespecíficas (PDE-1, -2, -10 or -11).
La PDE-5 es la que mayormente se expresa en el pulmón, sobre todo en pacientes con HP, además su actividad se encuentra también aumentada en estos pacientes. La inhibición de la PDE-5 determina un aumento de los niveles de GMPC y prolonga su efecto vasodilatador en la vasculatura pulmonar. Entre los inhibidores de la PDE-5 disponibles, el sildenafil (inhibidor potente y muy específico de la PDE-5) ha sido el que principalmente se ha estudiado en la enfermedad vascular pulmonar, no solo por su potente acción vasodilatadora, sino también por su efecto antiproliferativo sobre la musculatura lisa de los vasos pulmonares (25,26). Otro miembro de los inhibidores de la PDE-5 es el tadalafil, también presente en nuestro medio, aprobado por la FDA para el tratamiento de la HAP en el año 2009 (27).
El tratamiento con este tipo de fármacos, ya sea en monoterapia o en tratamiento combinado, mostró una mejoría en la clase funcional, P6M y calidad de vida, con mejoría de la sobrevida en aquellos pacientes con HAP más graves en CF IV (28). En la tabla 4 se resumen las recomendaciones actuales del uso de los tres grupos de fármacos en la HAP (grupo 1) (1).
Si bien el tratamiento electivo en la HPTEC es la endarterectomía, el tratamiento farmacológico específico puede desempeñar un papel en algunos pacientes con HPTEC, principalmente en las tres situaciones siguientes: a) si no se considera candidatos a cirugía a los pacientes; b) si el tratamiento preoperatorio se considera apropiado para mejorar la hemodinámica, siempre que no retarde la cirugía, y c) si los pacientes presentan una HP residual/recurrente tras una intervención quirúrgica de endarterectomía pulmonar (29). Aunque los datos referentes al uso de los PDEi y análogos de la PGI2 (iloprost, treprostinil y epoprostenol) son menos robustos que para el bosentan, estos fármacos también han sido utilizados en pacientes con HPTEC inoperables. De los 247 pacientes con HPTEC inoperables del registro europeo multicéntrico, 38% recibieron bosentan, 20% PDEi, 5% prostaciclinas y 8% tratamiento combinado (30). En nuestra cohorte 100% recibieron PDEi, 40% iloprost y 20% bosentan, con 40% de tratamiento combinado.
Es de destacar que en nuestra cohorte más de 70% debió recibir tratamiento combinado. Desde un punto de vista fisiopatológico está justificado combinar prostanoides, antagonistas de los receptores de la ET-1 (ARE) e inhibidores de la PDE-5 (PDEi), ya que actúan sobre vías farmacológicas diferentes. Hasta ahora no ha habido problemas de seguridad con las terapias de combinación aunque se han documentado interacciones fármaco-fármaco entre los ARE y los PDEi (31,32). Diferentes estudios controlados y aleatorizados han puesto de manifiesto la eficacia de la combinación de ARE y prostaciclinas (33), ARE y PDEi (34), PDEi y prostaciclinas (35,36). Queda pendiente resolver muchas cuestiones respecto al tratamiento combinado, como la elección de las combinaciones de fármacos adecuadas y el momento óptimo para emplearlas. En nuestra cohorte definimos como los candidatos a un tratamiento combinado a aquellos pacientes cuyo estado se define como estable pero insatisfactorio o como inestable y en deterioro (1). Dado el limitado número de pacientes con tratamiento combinado, no se analizó el efecto de la monoterapia versus la terapia combinada. No obstante, debido a la gravedad clínica y hemodinámica de nuestros pacientes y la ausencia de terapia con prostaciclinas parenterales, se buscó estabilizar a los pacientes mediante un tratamiento combinado secuencial. Según las recomendaciones actuales de las Sociedades Europeas de Cardiología y Medicina Respiratoria, el tratamiento combinado secuencial tienen una indicación IIaB para pacientes en CF III y IV y IIaC para CF II (1).
Si bien el número de pacientes es bajo y es una limitante de la presente comunicación, el ingreso de 15 pacientes en los últimos tres años con un seguimiento de hasta 30 meses, posiciona a nuestra policlínica como centro de referencia para el estudio y tratamiento de pacientes con HP. Cabe consignar que dentro de los requisitos y prestaciones de una unidad de referencia en HP, según las guías de actuación de la SEPAR/SEC, el volumen de actividad incluye el ingreso de unos cinco casos nuevos por año durante tres años seguidos o más, así como el seguimiento activo de 30 pacientes con HAPI y/o HPTEC (37). La posibilidad de contar con el tratamiento específico para este tipo de pacientes ha acelerado el proceso de aplicación de las guías de actuación en nuestro país. Recientemente el Fondo Nacional de Recursos incorporó la posibilidad de realizar endarterectomía en Buenos Aires a aquellos pacientes con HPTEC con criterios de operabilidad. No obstante aún carecemos de prostaciclinas parenterales y de la posibilidad de septostomía atrial para los pacientes con HP del grupo 1 más graves (38).
Conclusiones
La HP afecta a pacientes jóvenes, siendo detectados en estadios avanzados de la enfermedad. Existe una correlación entre la severidad clínica y la respuesta al ejercicio valorado por la P6M.
El tratamiento específico tanto en monoterapia como combinado secuencial es seguro y permite mejorar la CF de estos pacientes.
El manejo de esta enfermedad en centros especializados permite aplicar correctamente las guías de actuación, prolongando el tiempo al empeoramiento clínico de estos pacientes.
Si bien se ha avanzado en el tratamiento específico de la HP, nuestro país debería contar en el corto plazo con programas de detección precoz y el acceso a drogas parenterales para pacientes severamente comprometidos.
Bibliografía
1. Galiè N, Hoeper MM, Humbert M, Torbicki A, Vachiery J-L, Barbera JA, et al. Guidelines for the diagnosis and treatment of pulmonary hypertension. Eur Heart J 2009; 30: 2493-537.
2. Barst R, Rubin LJ. 4th World Symposium on Pulmonary Hypertension. February 11-14, 2008. Dana Point, California.
3. Simonneau G, Robbins I, Beghetti M, Channick RN, Delcroix M, Denton CP, et al. Updated clinical classification of pulmonary hypertension. J Am Coll Cardiol 2009; 54: S43-S54.
4. Humbert M. The fifth world symposium on pulmonary hypertension will REVEAL the impact of registries. Eur Respir Rev 2012; 123: 4-5.
5. McGoon MD, Miller DP. REVEAL: a contemporary US pulmonary arterial hypertension registry. Eur Respir Rev 2012; 123: 8-18.
6. Ryerson CJ, Nayar S, Swiston JR, Sin DD. Pharmacotherapy in pulmonary arterial hypertension: a systematic review and meta-analysis. Respir Res 2010; 11: 12.
7. Galiè N, Manes A, Negro L, Palazzini M, Bacchi-Reggiani ML, Branzi A. A meta-analysis of randomized controlled trials in pulmonary arterial hypertension. Eur Heart J 2009; 30: 394-403.
8. Thenappan T, Shah SJ, Rich S, Tian L, Archer SL, Gomberg-Maitland M. Survival in pulmonary arterial hypertension: a reappraisal of the NIH risk stratification equation. Eur Respir J 2010; 35: 1079-87.
9. Humbert M, Sitbon O, Chaouat A, Bertocchi M, Habib G, Gressin V, et al. Survival in patients with idiopathic, familial, and anorexigen-associated pulmonary arterial hypertension in the modern management era. Circulation 2010; 122: 156-63.
10. Badesch DB, Champion HC, Gómez Sánchez MA, Hoeper MM, Loyd JE, Manes A, et al. Diagnosis and assessment of pulmonary arterial hypertension. J Am Coll Cardiol 2009; 54: S55-S66.
11. Roberto JD, Forfia PR. Diagnosis and assessment of pulmonary vascular disease by doppler echocardiography. Pulm Circ 2011; 1: 160-81.
12. Sitbon O, Humbert M, Jais X, Ioos V, Hamid AM, Provencher S, et al. Long-term response to calcium channel blockers in idiopathic pulmonary arterial hypertension. Circulation 2005; 111: 3105-11.
13. Enright P, Sherrill D. Reference equations for the six-minute walk test in healthy adults. Am J Respir Crit Care Med 1998; 158: 1384-7.
14. Hoeper MM, Markevych I, Spiekerkoetter E, Welte T, Niedermeyer J. Goal-oriented treatment and combination therapy for pulmonary arterial hypertension. Eur Respir J 2005; 26: 858-63.
15. Galiè N, Rubin LJ, Hoeper M, Jansa P, Al-Hiti H, Meyer GMB, et al. Treatment of patients with mildly symptomatic pulmonary arterial hypertension with bosentan (EARLY study): a double-blind, randomized controlled trial. Lancet 2008; 371: 2093-100.
16. Souza R, Jardim C. Trends in pulmonary arterial hypertension. Eur Respir Rev 2009; 18: 7-12.
17. Humbert M, Sitbon O, Chaouat A, Bertocchi M, Habib G, Gressine V, et al. Pulmonary arterial hypertension in France: results from a national registry. Am J Respir Crit Care Med 2006; 173: 1023-30.
18. Deboeck G, Niset G, Vachiery J-L, Moraine J-T, Naeije R. Physiological response to the six-minute walk test in pulmonary arterial hypertension. Eur Respir J 2005; 26: 667-72.
19. Humbert M, Sitbon O, Simonneau G. Treatment of pulmonary arterial hypertension. N Engl J Med 2004; 351: 1425-36.
20. Olschewski H, Simonneau G, Galiè N, Higenbottam T, Naeije R, Rubin LJ et al, for the AIR Study Group. Inhaled iloprost in severe pulmonary hypertension. N Engl J Med. 2002; 347: 322-9.
21. Galiè N, Manes A, Branzi A. Prostanoids for pulmonary arterial hypertension. Am J Respir Crit Care Med 2003; 2: 123-37.
22. Rubin LJ, Badesch DB, Barst RJ, Galiè N, Black CM, Keogh A, et al. Bosentan therapy for pulmonary arterial hypertension. N Engl J Med 2002; 346:896-903.
23. Segal ES, Valette C, Oster L, Bouley L, Edfjall C, Herrmann P, et al. Risk management strategies in the post- marketing period. Safety experience with US and European Bosentan surveillance programmes. Drug Safety 2006; 28: 971-80.
24. Grignola JC, Gómez-Sánchez MA. Bosentan. Rol en el tratamiento de la hipertensión pulmonar. Rev Insuf Cardíaca 2009; 4: 11-22.
25. Galiè N, Ghofrani HA, Torbicki A, Barst RJ, Rubin LJ, Badesch D, et al. The sildenafil use in pulmonary arterial hypertension (SUPER) study group. Sildenafil citrate therapy for pulmonary arterial hypertension. N Engl J Med 2005; 353: 2148-57.
26. Badesch DB, Hill NS, Burgess G, Rubin LJ, Barst RJ, Galiè N, et al. Sildenafil for pulmonary arterial hypertension associated with connective tissue disease. J Rheumatol 2007; 34: 2417-22.
27. Galiè N, Bundage BH, Ghofrani HA, Oudiz R, Simonneau G, Safdar Z, et al. Tadalafil therapy for pulmonary arterial hypertension. Circulation 2009; 119: 2894-903.
28. Galiè N, Palazzini M, Leci E, Manes A. Current therapeutic approaches to pulmonary arterial hypertension. Rev Esp Cardiol 2010; 63: 708-24.
29. Jenkins D, Mayer E, Screaton N, Madani M. State-of-the-art chronic thromboembolic pulmonary hypertension diagnosis and management. Eur Respir Rev 2012; 21: 32-9.
30. Pepke-Zaba J, Delcroix M, Lang I, Mayer E, Jansa P, Ambroz P, et al. Chronic thromboembolic pulmonary hypertension (CTEPH). Results from an international prospective registry. Circulation 2011; 124: 1973-81.
31. Paul GA, Gibbs JS, Boobis AR, Abbas A, Wilkins MR. Bosentan decreases the plasma concentration of sildenafil when coprescribed in pulmonary hypertension. Br J Clin Pharmacol 2005; 60: 107-12.
32. Grignola JC, Ruiz MJ, Escribano P, Jimenez C, Delgado JF, Flox A, et al. Addition of sildenafil after bosentan monotherapy for pulmonary arterial hypertension. A prospective study. Cor Vasa 2010; 52(Suppl1): 92-4.
33. McLaughlin VV, Oudiz RJ, Frost A, Tapson VF, Murali S, Channick RN, et al. Randomized study of adding inhaled iloprost to existing bosentan in pulmonary arterial hypertension. Am J Respir Crit Care Med. 2006; 174: 1257-63.
34. Hoeper MM, Faulenbach C, Golpon H, Winkler J, Welte T, Niedermeyer J. Combination therapy with bosentan and sildenafil in idiopathic pulmonary arterial hypertension. Eur Respir J 2004; 24: 1007-10.
35. Simonneau G, Rubin L, Galiè N, Barst RJ, Fleming T, Frost A et al; PACES Study Group. Addition of sildenafil to long-term intravenous epoprostenol therapy in patients with pulmonary arterial hypertension. Ann Intern Med 2008; 149: 521-30.
36. Ghofrani HA, Rose F, Schermuly RT, Olschewski H, Wiedemann R, Kreckel A, et al. Oral sildenafil as long-term adjunct therapy to inhaled iloprost in severe pulmonary arterial hypertension. J Am Coll Cardiol 2003; 42: 158-64.
37. Barbera JA, Escribano P, Morales P, Gómez-Sánchez MA, Oribe M, Martínez A, et al. Estándares asistenciales en hipertensión pulmonar. Rev Esp Cardiol 2008; 61: 170-84.
38. Sandoval J, Gaspar J, Peña H, Santos LE, Córdova J, del Valle K, et al. Effect of atrial septosotomy on the survival of patients with severe pulmonary arterial hypertension. Eur Respir J 2011; 38: 1343-8.













