Introducción
En los humanos, el músculo esquelético es el tejido de mayor relevancia en lo que refiere a la biomecánica del movimiento corporal, representando el 40 % del peso corporal y entre un 50 % y un 70 % del contenido proteico total del cuerpo1. El patrón coordinado de contracciónrelajación de las fibras musculares permite al organismo respirar, moverse, recoger objetos e incluso participar en eventos sociales2. Diversas condiciones están asociadas con el deterioro del músculo esquelético, aumentando la morbilidad y la mortalidad entre diferentes poblaciones2–4. Es importante destacar que no todos los músculos se ven afectados de la misma manera, lo que hace que el compromiso muscular sea muy heterogéneo. Esto explica, en parte, la relevancia de la investigación sobre el músculo esquelético en la medicina moderna.
La función del músculo esquelético depende de múltiples variables. Entre estas, la masa y la calidad muscular son de suma importancia. Por lo tanto, el análisis de la capacidad de generación de fuerza y la masa y estructura muscular son críticos para la investigación en biología muscular. Los parámetros estructurales como el grosor de la capa muscular (GCM) o el área de sección transversal (AST), así como los sustitutos de la composición muscular, pueden estudiarse mediante técnicas como la resonancia magnética (RM) o la tomografía computarizada (TC). A pesar de que ambos son excelentes métodos para estudiar el músculo, la TC expone al paciente a radiación y la RM implica costos muy elevados como para ser utilizada repetidamente5–7. Por el contrario, el ultrasonido es un método económico y no ionizante que ha demostrado ser extremadamente útil para evaluar la estructura del músculo esquelético. El ultrasonido se puede utilizar para determinar el GCM o AST, así como otros parámetros de la arquitectura muscular como el ángulo de penación (ángulo de inserción de las fibras musculares en la aponeurosis) y la eco-intensidad (EI). El ángulo de penación (PA) es un determinante clave en la dinámica de la fuerza muscular, mientras que la EI refleja la composición del músculo esquelético8–10.
Por otro lado, la función muscular se estudia principalmente a través de su capacidad para generar fuerza. La fuerza muscular puede evaluarse mediante métodos clínicos, como la puntuación sumatoria de la escala del Medical Research Council, aunque su reducida reproducibilidad probablemente represente la limitación más importante. Por lo tanto, se han establecido métodos más sofisticados para explorar la fuerza muscular. La dinamometría de prensión manual es la herramienta más extendida disponible para estudiar la fuerza muscular en los miembros superiores11,12. Sin embargo, los métodos de medición de la fuerza muscular para los miembros inferiores no están tan bien establecidos. En este sentido, Dinabang® constituye un método innovador que se puede utilizar para medir la fuerza muscular de estos últimos13,14.
Las propiedades funcionales y estructurales de distintos músculos esqueléticos de los miembros superiores e inferiores se han estudiado principalmente por separado. Por lo tanto, nuestro objetivo fue describir la relación entre los parámetros estructurales y funcionales en estos músculos.
Además, la aplicación del Dinabang® para la evaluación del músculo periférico representa un avance innovador en el campo de la evaluación muscular. Se trata de una herramienta diseñada en Uruguay que, en el futuro, podría aportar nueva información sobre la mecánica muscular. Este es el primer estudio que correlaciona los parámetros funcionales obtenidos mediante esta técnica y los hallazgos de la evaluación ecográfica. Esta brecha en el conocimiento remarca la importancia de investigaciones adicionales que exploren y validen la utilidad clínica de Dinabang® como una herramienta complementaria para la evaluación muscular periférica.
Materiales y métodos
Participantes:
veinte voluntarios participaron en el estudio. Todos los sujetos eran saludables, sin antecedentes de enfermedades cardiovasculares, neuromusculares ni ortopédicas. En el momento de ser incluidos en el estudio, los participantes no habían practicado ningún programa sistemático de entrenamiento físico en el último año. Se instruyó a los participantes a evitar el ejercicio extenuante en las 48 horas previas al estudio8,15. Todos los sujetos aceptaron participar voluntariamente y firmaron un consentimiento informado por escrito antes de la inscripción. El protocolo del estudio fue aprobado por el Comité de Ética en Investigación del Hospital de Clínicas Dr. Manuel Quintela (Montevideo, Uruguay).
Mediciones antropométricas y composición corporal:
se midieron el peso corporal, la estatura y el índice de masa corporal (IMC) de los voluntarios. La composición corporal (porcentaje de músculo esquelético y porcentaje de tejido graso) se determinó mediante análisis de impedancia bioeléctrica utilizando una balanza digital específica (Omron HBF-514C, Kyoto, Japón).
Ecografía de músculos esqueléticos:
se llevó a cabo una ecografía para explorar las características estructurales de los músculos esqueléticos en las extremidades superiores e inferiores de los participantes. La ecografía se realizó en los compartimentos flexores del brazo y el antebrazo, y en los compartimentos anterior y posterior del muslo. Todas las mediciones fueron realizadas por el mismo operador (ON) en el lado dominante, utilizando ecografía en modo B con una sonda lineal de 10 MHz. En todos los casos se utilizó el mismo equipo para completar las ecografías (General Electric, Vivid-I, Oslo, Noruega). El ajuste de ganancia de la ecografía se mantuvo constante para todos los sujetos. La profundidad de la imagen se ajustó al mínimo que incluyera la fascia muscular externa e interna. Se aplicó una cantidad generosa de gel conductor para minimizar la presión muscular y evitar la distorsión del tejido. Para evitar cambios en el flujo sanguíneo y desplazamientos de líquidos inducidos por la contracción muscular, los participantes descansaron durante 10 minutos en la camilla de examen antes de las mediciones.
Ecografía de la extremidad superior:
con el participante en posición supina, se evaluaron los músculos flexores del antebrazo en el punto medio entre el codo y la articulación radiocarpiana. El bíceps braquial (BB) se evaluó en el punto medio entre el codo y el acromion. La musculatura del antebrazo se evaluó en el punto medio entre el pliegue del codo y la articulación radiocarpiana.
Ecografía de la extremidad inferior:
se realizó una ecografía del músculo recto femoral del cuádriceps femoral (RF) con el paciente en posición supina, a dos tercios de distancia entre la espina ilíaca anterosuperior y el borde proximal de la rótula. Se obtuvieron imágenes del vasto lateral (VL) 5 cm lateralmente al mismo nivel. Luego, se les pidió a los participantes que se colocaran en posición prona para estudiar el compartimento posterior del muslo. Se capturaron imágenes del bíceps femoral (BF) a dos tercios de distancia entre el trocánter mayor y el cóndilo lateral5,9.
El grosor del compartimento muscular (GCP) se midió como la distancia entre la fascia superficial y la fascia profunda del músculo (o la membrana interósea en el antebrazo)6. Para el RF, también se midió el AST como el área dentro de la fascia muscular. El PA se obtuvo a partir de imágenes longitudinales como el ángulo formado por las fibras y la fascia muscular profunda7. Finalmente, la EI muscular se determinó mediante análisis asistido por software de la escala de grises de la imagen (ImageJ, NIH, Bethesda, MD)15 (Figura 1).
Dinamometría de prensión manual:
se empleó la dinamometría de prensión manual para evaluar la fuerza muscular en la extremidad superior. Después de realizar las mediciones ecográficas, se determinó la fuerza de prensión en el lado dominante utilizando un dinamómetro digital (Jamar Plus, Sammons Preston, Bolingbrook, IL). La prueba se realizó con los sujetos sentados en una silla con ambos pies en el suelo. El antebrazo descansaba sobre una mesa, con el codo flexionado a 90° y la muñeca en posición neutral. Se les pidió que mantuvieran un esfuerzo máximo durante al menos 5 segundos. El procedimiento se repitió tres veces con un intervalo de dos minutos entre mediciones. Se utilizó el promedio de las tres mediciones para el análisis11,12.
Fuerza de la extremidad inferior:
se empleó Dinabang® (Movi, Uruguay) para medir la fuerza isométrica máxima de los músculos cuádriceps e isquiotibiales. Este dispositivo es una herramienta portátil innovadora que permite medir el torque, la velocidad instantánea y la fuerza isométrica generada por los músculos de las extremidades inferiores (Figura Suplementaria 1). El dispositivo incluye una unidad de medición magneto-inercial, galga extensiométrica y software específico para evaluar las extremidades inferiores durante tareas motoras específicas13,14.
Figura suplementaria 1.Diseño experimental para la medición del torque en extensión (A) y flexión (B). A) Medición de la fuerza del cuádriceps femoral mientras el paciente intenta la extensión de la rodilla, con el Dinabang® asegurado justo por encima del maléolo a un punto fijo trasero. El Dinabang® incluye un cinturón Kaltenborn asegurado en el Chakadina a un punto fijo, una unidad de medición inercial (IMU) y conexión Bluetooth a una interfaz de usuario intuitiva en un dispositivo móvil o tableta (visible en ambas imágenes). B) Medición de la fuerza de los isquiotibiales, con el voluntario intentando la flexión de la rodilla, el cinturón Kaltenborn asegurado en el Chakadina a un punto fijo delantero.
Antes de iniciar las mediciones, se les indicó a los participantes que realizaran ejercicios de calistenia regulados para aumentar el flujo sanguíneo en las extremidades inferiores. Por lo tanto, los sujetos estaban físicamente preparados para ejercer una fuerza isométrica máxima de extensión y flexión13. Para realizar las mediciones, utilizamos una silla hecha a medida (Chakadina®, Uruguay) con puntos fijos para asegurar Dinabang® y un cinturón Kaltenborn para sujetar a los participantes en su lugar. Todas las mediciones se realizaron con la rodilla flexionada en un ángulo de 60°, con Dinabang® afirmado justo encima del maléolo derecho. Para evaluar la fuerza isométrica máxima del cuádriceps femoral, se solicitó que los participantes realizaran un esfuerzo de extensión máximo con Dinabang® sujeto a un punto fijo posterior. La fuerza de los isquiotibiales se midió mientras los sujetos intentaban la flexión de la rodilla, con Dinabang® sujeto a un punto fijo delantero. Para cada medición, se les pidió que mantuvieran un esfuerzo máximo durante 5 segundos. Cada medición se repitió 3 veces, con un período de descanso de 2 minutos entre mediciones. Se utilizó la media para el análisis.
Análisis estadístico:
Las variables categóricas se informan como números absolutos (porcentaje). Las variables continuas se expresan como mediana (percentil 25 - 75). Las comparaciones entre mujeres y hombres se analizaron mediante la prueba t de Student o la prueba de Mann-Whitney, según correspondiera. Las correlaciones bivariadas se analizaron mediante el coeficiente de correlación de Spearman. El nivel de significancia estadística se estableció en P < 0,05. Se utilizó IBM SPSS Statistics, versión 23 (IBM Corp., Armonk, N.Y., EE. UU.) para el análisis.
Resultados
Veinte sujetos participaron en el estudio (9 mujeres, 11 hombres), con una mediana de edad de 28 años (rango intercuartil: 25-30 años). Los participantes pesaban 67,6 (60,7 - 80,2) kg y tenían una estatura de 168 (163 - 174) cm. Se presentan los datos completos de antropometría y composición corporal en la tabla 1. Como era de esperar, los hombres presentaron una estatura significativamente mayor y un porcentaje de masa muscular mayor que las mujeres, así como un porcentaje significativamente menor de tejido graso (Figura suplementaria 2).
Figura suplementaria 2.Diferencias antropométricas entre hombres y mujeres.
Ecografía del músculo esquelético:
la ecografía muscular fue técnicamente factible en todos los participantes del estudio. El grosor del tejido muscular, el PA y la EI del tejido se presentan en la tabla 2. El grosor del tejido muscular fue significativamente mayor en los hombres para todos los músculos estudiados (Figura 2). Además, el ángulo de penación del BB del músculo del brazo fue más pronunciado en los hombres, mientras que la ecogenicidad del VL fue mayor en las mujeres (Figura 2).
Dinamometría de prensión manual:
la fuerza de prensión manual estuvo dentro del rango esperado según los valores de referencia para todos los participantes (38,27 kg, P = 0,0136). Los hombres presentaron una fuerza de prensión manual de 40,7 kg (38,9-62,2 kg), mientras que las mujeres presentaron de 28,7 kg (25,9-31,2 kg), P < 0,001.
Fuerza de los miembros inferiores:
la fuerza isométrica máxima de los músculos cuádriceps e isquiotibiales fue de 43,8 kg (36,0 kg - 66,8 kg) y 29,2 kg (23,4 kg - 36,1 kg) kg, respectivamente. Para ambos grupos musculares, la fuerza fue significativamente mayor en los hombres (P< 0,001). Figura 3B y 3C.
Correlaciones:
la fuerza de prensión manual presentó una correlación positiva significativa con la estatura de los sujetos (rho = 0,681, P = 0,001) y el porcentaje de masa muscular corporal (rho = 0,691, P = 0,001) y una correlación negativa con el porcentaje de grasa corporal (rho = −0,453, P = 0,045); pero no se correlacionó con el peso o el IMC (Figura 4A y 4B). Además, se encontró una correlación muy fuerte entre la fuerza de prensión manual con el grosor de los músculos flexores del brazo (rho = 0,910, P< 0,001) y del antebrazo (rho = 0,825, P< 0,001) (Figura 4C y 4D). Sin embargo, no existieron correlaciones estadísticamente significativas entre la fuerza de prensión manual y el PA o la EI de los músculos del miembro superior.
La fuerza isométrica máxima del cuádriceps se correlacionó positivamente con la estatura de los sujetos (rho = 0,631, P = 0,003) y el porcentaje de masa muscular corporal (rho = 0,531, P= 0,016), pero no con el peso, el IMC o el porcentaje de grasa corporal (Figura 5A y 5B). La fuerza del músculo cuádriceps femoral también se correlacionó con el área de sección transversal del RF (rho = 0,660, P = 0,002) y el grosor del tejido muscular (rho = 0,578, P = 0,008), aunque no se encontró una correlación significativa con el ángulo de orientación o la ecogenicidad del RF (Figura 5C). Por el contrario, la fuerza del cuádriceps se correlacionó inversamente con la ecogenicidad del VL (rho = −0,540, P = 0,014), pero no se correlacionó con el grosor o el ángulo de orientación del VL (Figura 5D).

Figura 5. A) Relación entre la masa muscular total y la fuerza muscular cuádriceps femoral. B) Relación entre la talla y la fuerza muscular del cuádriceps femoral. C) Relación entre el área de sección transversal del recto femoral y la fuerza muscular del cuádriceps femoral. D) Relación entre la ecogenicidad del vasto lateral y la fuerza muscular del cuádriceps femoral.
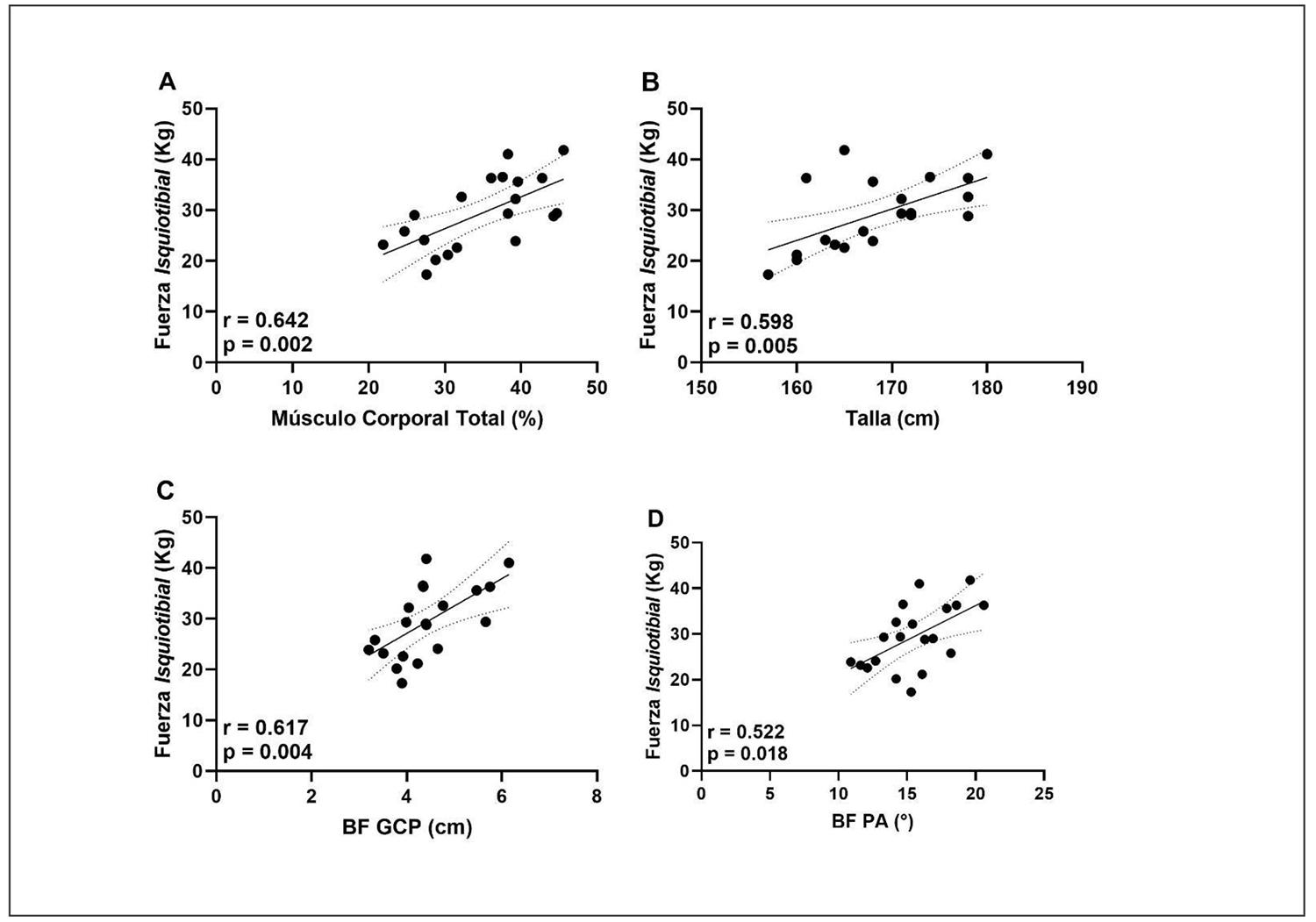
La fuerza isométrica máxima de los músculos isquiotibiales también presentó una correlación positiva con la estatura (rho = 0,619, P = 0,004) y el porcentaje de masa muscular corporal (rho = 0,593, P = 0,006), pero no presentó una correlación significativa con otras variables antropométricas o de composición corporal (Figura 6A y 6B). La fuerza de los músculos isquiotibiales también tuvo una correlación con el grosor del bíceps femoral (rho = 0,667, P = 0,001) y su ángulo de penación (rho = 0,522, P = 0,018), aunque no existió ninguna con la ecogenicidad del BF (Figura 6C y 6D).

Figura 6. A) Relación entre la masa muscular total y la fuerza muscular isquiotibial. B) Relación entre la talla y la fuerza muscular isquiotibial. C) Relación entre el grosor de la capa muscular del bíceps femoral y la fuerza muscular isquiotibial. D) Relación entre el ángulo de penación del bíceps femoral y la fuerza muscular isquiotibial.
El conjunto de datos que apoya los resultados de este estudio no se encuentra disponible.
Discusión
El objetivo principal de este estudio fue analizar la relación entre las características funcionales y arquitectónicas de los distintos grupos musculares de los miembros superiores e inferiores. Los hallazgos clave indican que en una población sana: (1) existe una correlación significativa entre el grosor del tejido muscular y la fuerza muscular en todos los grupos musculares evaluados; (2) se observó una correlación significativa entre la eco-intensidad del vasto lateral y la contracción voluntaria máxima del cuádriceps femoral, una asociación que no se encontró en los demás músculos analizados; y (3) se identificó una relación estadísticamente significativa entre el porcentaje de masa muscular corporal y la fuerza de los músculos de los miembros superiores e inferiores.
Fuerza muscular y grosor muscular:
la relación entre la masa muscular del cuádriceps femoral y la fuerza ha sido ampliamente estudiada, aunque se han reportado resultados contradictorios entre los diferentes estudios. En este encontramos una correlación significativa entre los dos músculos del muslo anterior evaluados mediante ecografía (RF y VL) y la fuerza de extensión de rodilla en adultos jóvenes y sanos. Estos hallazgos concuerdan con los observados en otros estudios, donde se encontró una correlación estadísticamente significativa entre la masa muscular del cuádriceps femoral y la fuerza de extensión de rodilla en esta población16–19.
Esta correlación entre estructura y fuerza muscular ha sido estudiada no solo en adultos jóvenes y sanos, sino también en otras poblaciones. Por ejemplo, diferentes investigaciones muestran que, a pesar del envejecimiento, la relación entre la estructura y la fuerza dentro de los diferentes músculos del cuádriceps femoral se mantiene en las personas mayores16,20–24. Además, esta relación también se estudió en diversas enfermedades. Seymour et al. obtuvieron una correlación positiva entre la masa y la fuerza muscular del RF en pacientes con enfermedad pulmonar obstructiva crónica25. Asimismo, Fuentes et al. encontraron una correlación entre las características arquitectónicas del cuádriceps femoral y la fuerza de extensión de rodilla en pacientes con insuficiencia cardíaca26. Otros autores informaron resultados similares utilizando diferentes técnicas de evaluación, como tomografía computarizada (TC) o resonancia magnética (RM)27,28.
En contraste con estos resultados, algunos estudios no encontraron correlación entre la masa muscular del cuádriceps femoral y la fuerza de extensión de rodilla8,29,30. Se ha teorizado que esta discrepancia podría explicarse por limitaciones técnicas en los estudios o por diferencias en los métodos utilizados para medir la fuerza de extensión de rodilla8,30.
En cuanto a la evaluación de los músculos del compartimento posterior del muslo, en el presente estudio encontramos una correlación significativa entre el grosor del BF y la fuerza de flexión de rodilla. Nuestros resultados concuerdan con los informes de Evangelidis et al. y Abe et al., quienes describieron una asociación entre la fuerza de flexión de rodilla y la arquitectura del muslo posterior evaluada mediante resonancia magnética9,27. En contraposición, Yoshiko et al. no encontró asociación entre estos parámetros al utilizar ecografía para evaluar la estructura muscular8. Esta discrepancia con nuestro estudio actual podría estar relacionada a diferencias en los procedimientos de medición ecográfica, así como en los métodos empleados para evaluar la fuerza muscular.
El grosor del músculo BB mostró una correlación estadísticamente significativa con la dinamometría de prensión manual. Song et al. y Baldwin et al. tuvieron resultados similares que manifestaban una correlación entre la fuerza máxima de flexión del codo con el grosor del músculo BB y el braquial anterior evaluados por ecografía19,29. Estos resultados son similares a los obtenidos en otros estudios, los cuales evaluaron la fuerza máxima de flexión de codo con respecto al volumen de los músculos flexores del codo mediante resonancia magnética31,32. En cuanto a los resultados relacionados con los músculos del antebrazo, encontramos una asociación estadísticamente significativa entre el grosor del antebrazo y la fuerza de prensión manual. Estos resultados son congruentes con otros estudios realizados en adultos jóvenes y en ancianos33,34. Por el contrario, Baldwin et al. no hallaron una asociación entre el grosor del antebrazo y la dinamometría de prensión manual29.
Eco intensidad:
la EI constituye un parámetro útil para evaluar la arquitectura del músculo esquelético15,21,22. En este estudio, nuestro objetivo fue explorar la relación entre la EI, es decir, un parámetro arquitectónico, y la fuerza muscular, un parámetro funcional. Aunque diversos estudios han abordado este tema, los resultados han sido desiguales e inconclusos. Las diferencias pueden estar relacionadas con la gran variedad de abordajes metodológicos que han sido descritos. En nuestro estudio encontramos una correlación estadísticamente significativa negativa entre la ecogenicidad del VL y la fuerza de extensión de rodilla. Sin embargo, no se encontró correlación entre la EI y los parámetros funcionales para ninguno de los otros músculos estudiados. Garret et al. encontraron una correlación entre la ecointensidad del VL y la fuerza de extensión de la rodilla en adultos jóvenes de forma similar a la que se halló en este estudio35. Otros estudios han reportado una correlación entre la fuerza de extensión de rodilla y la EI del vasto medial36, el RF y el vasto intermedio30, pero no con otros vientres musculares del cuádriceps femoral. Por otro lado, en los adultos mayores se ha encontrado una correlación entre la EI del cuádriceps femoral y la fuerza de extensión de rodilla37.
En cuanto a la evaluación de la EI en otros grupos musculares, la evidencia es más limitada. De manera similar a nuestros resultados, Yoshiko et al. encontraron una correlación positiva entre la EI de los músculos flexores de la rodilla y la fuerza flexora de la rodilla8,15. Por otro lado, no hemos leído estudios que analicen la correlación entre la EI de la musculatura del compartimento anterior del antebrazo o del BB con la dinamometría de prensión manual.
Ángulo de penación:
el ángulo de penación ha generado un creciente interés en los últimos años, emergiendo como un nuevo parámetro en la evaluación estructural y funcional muscular. Strasser et al. evaluaron el ángulo de penación de los cuatro componentes del músculo cuádriceps femoral en sujetos jóvenes y ancianos, informando que solo el ángulo de penación del vasto interno de los participantes jóvenes estaba correlacionado con la fuerza muscular20. Además, Alegre et al. encontraron que el ángulo de penación del VL estaba correlacionado con la fuerza de extensión de rodilla solo después de un programa de entrenamiento regulado38. En cuanto a una población de edad avanzada, se describió una relación entre el ángulo de penación del gastrocnemio medial y las pruebas funcionales en mujeres, pero no en hombres34. Por otro lado, no hubo autores que hayan encontrado una correlación entre el PA y otros parámetros funcionales32,39,40. En el miembro superior, no se halló correlación entre la fuerza de prensión manual con el PA del BB ni con el PA de los músculos del antebrazo. Ticienci et al. en una revisión sistemática concluyeron que, para tener resultados más homogeneizados en lo que refiere a parámetros como la ecointensidad y el ángulo de penación, se debe realizar una estandarización de los diferentes sistemas de medición, lo que contribuirá a tener resultados más sólidos que se puedan aplicar clínicamente7. Dado lo expuesto anteriormente, consideramos que el ángulo de penación es un parámetro ecográfico estructural prometedor en cuanto a la correlación entre estructura y función muscular. Sin embargo, se requieren más estudios para determinar su valor en distintas poblaciones y grupos musculares.
Es pertinente mencionar que nuestro estudio tiene algunas limitaciones. En primer lugar, incluimos una muestra relativamente pequeña de 20 voluntarios, todos ellos sanos y sin patologías osteoarticulares, vasculares, metabólicas o neurológicas conocidas. En segundo lugar, las mediciones se realizaron en una población joven, por lo que los resultados podrían no ser extrapolables a sujetos de diferentes edades. Finalmente, debemos reconocer limitaciones relacionadas a las técnicas empleadas para la evaluación muscular. En este sentido, en nuestro estudio utilizamos un método operador-dependiente como la ecografía, en lugar de técnicas más precisas para determinar la masa y la arquitectura muscular como la tomografía computarizada o la resonancia magnética. Por su parte, Dinabang® constituye un instrumento nuevo de evaluación, por lo cual la bibliografía vinculada a su validación en esta y otras poblaciones es aún escasa.
Conclusión
La ecografía es un método confiable y reproducible para evaluar la arquitectura muscular en una población joven. Permite analizar diversas propiedades estructurales del músculo, como el grosor del tejido muscular, el ángulo de penación y la ecogenicidad, en distintos grupos musculares de los miembros superiores e inferiores. Además, algunos parámetros ultrasonográficos específicos muestran una correlación significativa con la fuerza muscular, lo que sugiere que la ecografía podría ser una herramienta útil para evaluar el músculo esquelético en pacientes en los que la exploración de la fuerza resulta difícil.
Por otro lado, el Dinabang® es una técnica patentada en Uruguay para la medición de la fuerza muscular. Sus resultados han demostrado concordancia con la evaluación funcional y estructural global del aparato locomotor, esto lo posiciona como una posible herramienta innovadora para la evaluación de la musculatura periférica.




















