SciELO - Scientific Electronic Library Online

 
vol.29 número3Polimorfismos de ApoE y daño vascular en diabéticos tipo 2Paro cardíaco extrahospitalario en el departamento de Maldonado, Uruguay: análisis de cinco años índice de autoresíndice de materiabúsqueda de artículos
Home Pagelista alfabética de revistas  

Servicios Personalizados

Revista

Articulo

Links relacionados

Compartir


Revista Médica del Uruguay

versión On-line ISSN 1688-0390

Rev. Méd. Urug. vol.29 no.3 Montevideo set. 2013

 

Abordaje parapatelar interno versus abordaje subvasto en la artroplastia total de rodilla: estudio prospectivo, aleatorizado, randomizado y simple ciego

Dres. Luis Francescoli Uriarte*, Federico Costa Corredera, Paola Filomeno Andriolo

Clínica de Traumatología y Ortopedia de Adultos, Facultad de Medicina, Universidad de la República. Asociación Española Primera de Socorros Mutuos. Uruguay.

* Prof. Titular de Clínica de Traumatología y Ortopedia de Adultos, Facultad de Medicina, Universidad de la República.

Ex Residente de Clínica de Traumatología y Ortopedia de Adultos, Facultad de Medicina, Universidad de la República. Traumatólogo de la Asociación Española Primera de Socorros Mutuos. Uruguay

Ex Residente de Clínica de Traumatología y Ortopedia de Adultos, Facultad de Medicina, Universidad de la República. Uruguay

Correspondencia: Dr. Luis Francescoli. Blanes Viale 5828, Montevideo. Uruguay. Correo electrónico: lfrancescoli@adinet.com.uy. Autor al que deben dirigirse los pedidos de apartados: Dr. Federico Costa. Dr. José Luis Bado 3035, Montevideo. Uruguay. Correo electrónico: drcosta@montevideo.com.uy.

Conflicto de intereses: los autores del presente artículo declaran que no existen conflictos de intereses. Recibido: 25/1/13 Aceptado: 6/5/13

Resumen

Introducción: el abordaje pararrotuliano interno es el más utilizado en la técnica estándar para el acceso a la artroplastia total de rodilla. Sin embargo, estudios recientes han reportado mejores resultados con respecto a la recuperación funcional cuando se usa el abordaje subvasto. Objetivo: evaluar el resultado funcional precoz de ambos abordajes quirúrgicos para la artroplastia de rodilla, poniendo a prueba la hipótesis de que en pacientes delgados el abordaje subvasto es significativamente mejor que el abordaje pararrotuliano interno. Material y método: un estudio prospectivo, aleatorizado y ciego simple se llevó a cabo con 44 artroplastias de rodilla consecutivas primarias comparando dos vías de abordaje: artrotomía pararrotuliana medial versus abordaje subvasto. Los pacientes recibieron la misma prótesis (Sigma Jhonson) que se realizó siempre por el mismo cirujano utilizando una técnica idéntica con la única diferencia antes mencionada. La vía pararrotuliana fue utilizada en 22 rodillas, y en las restantes 22 el abordaje subvasto. Los pacientes fueron evaluados a los tres días, al mes, a los tres y seis meses del posoperatorio. Resultados: los grupos se compararon mediante test de Student para variables independientes, chi cuadrado, y se establecieron predictores de extensión tardía mediante regresión lineal múltiple. Conclusiones: pudimos concluir que el abordaje subvasto ofrece ventajas en cuanto a la flexión de rodilla a corto plazo tendiendo a desaparecer las diferencias luego de los tres meses.

Palabras clave: ARTROPLASTIA DE REEMPLAZO DE RODILLA - métodos PRÓTESIS DE LA RODILLA ESTUDIOS PROSPECTIVOS MÉTODO SIMPLE-CIEGO ENSAYO CLÍNICO CONTROLADO ALEATORIO

Key words: ARTHROPLASTY REPLACEMENT KNEE - methods KNEE PROTHESIS PROSPECTIVE STUDIES SINGLE-BLIND METHOD RANDOMIZED CONTROLLED TRIAL

Introducción

La artrosis es la artropatía de mayor prevalencia en todo el mundo y la causa más frecuente de discapacidad para la deambulación en las personas mayores con artrosis de rodilla o de cadera(1).

Según la Organización Mundial de la Salud, las enfermedades reumáticas representan el tercer problema de salud más importante en los países desarrollados y, entre ellas, la artrosis es la más frecuente ya que afecta a 80% de la población mayor de 65 años en los países industrializados. Se prevé que el aumento de la expectativa de vida y el envejecimiento de la población harán de la artrosis la cuarta causa de discapacidad en el año 2020(1). La artrosis es la causa más importante de discapacidad funcional del aparato locomotor en todas las razas y zonas geográficas. Afecta a 9,6% de los hombres y a 18% de las mujeres mayores de 60 años(1).

La artroplastia total de rodilla (ATR) es actualmente un procedimiento quirúrgico común y ya establecido. Los estudios observacionales a largo plazo muestran resultados reproducibles excelentes e indican que más del 90% de las ATR primarias sobreviven entre 13 y 15 años(2).

El abordaje parapatelar interno (PPI) es el abordaje gold estándar histórico y es el más común utilizado para la ATR primaria dado que ofrece una excelente exposición de toda la rodilla; sin embargo involucra el tendón del cuádriceps e interrumpe la circulación medial intraósea y extraósea de la rótula(3,4).

Esto puede originar alteraciones en la vascularización de la rótula con necrosis avascular que puede ser causa de dolor anterior de rodilla, fracturas de la rótula y aflojamiento, o ambos(4-7).

A su vez, problemas como la mala alineación de la rótula (maltracking) que conduce a la inestabilidad femoropatelar y el consiguiente dolor(4-7).

Los problemas de necrosis avascular se pueden incrementar en caso de que se requiera realizar una liberación del retináculo lateral(6).

También se observa un período de recuperación prolongado con este abordaje, lo que puede no estar a favor dadas las exigencias funcionales que los pacientes actualmente demandan.

En un intento de minimizar la agresión al mecanismo extensor cuadricipital y minimizar las complicaciones es que se ha intentado cambiar y llevar a un interés cada vez mayor en los abordajes menos invasivos, como el abordaje subvasto (SV)(7,8), abordaje midvasto(9), abordaje trivector(10), y el abordaje cuadríceps-sparing(11).

El SV preserva la vascularización de la rótula al conservar la rama articular intramuscular de la arteria descendente genicular y conserva el tendón del cuádriceps, lo que proporciona más estabilidad a la articulación patelofemoral(6,7). Esto, en teoría, resultaría en un menor sangrado y en una mejor recuperación funcional.

Sin embargo este abordaje tiene como limitación la dificultad de la exposición de la rodilla dada por la limitación en la eversión de la rótula. Hofmann(8) describe numerosos criterios de exclusión: artrosis severa, artrotomía previa, osteotomía de tibia proximal previa y pacientes obesos con un peso mayor de 91 kg.

Matsueda y Gustilo(12) agregan como contraindicaciones: severa contractura en flexión y gran musculatura de muslo.

En 2010, Burke y colaboradores publican un metaanálisis(13) que compara los resultados de los abordajes SV y PPI para ATR. Realizan una revisión de artículos publicados entre 1993 y 2001, encontrando 385, siendo la calidad metodológica de la mayoría de los estudios deficiente; solo cinco estudios cumplieron con los estándares de calidad de inclusión para la revisión. Estos autores encuentran que la evidencia era insuficiente para demostrar una diferencia clínica estadísticamente significativa entre ambos abordajes.

Debido a que los estudios publicados parecen estar de acuerdo en que no existen a largo plazo diferencias significativas entre ambos abordajes(14-20), el objetivo de este estudio es evaluar el resultado funcional a corto plazo de ambas técnicas quirúrgicas.

Se puso a prueba la hipótesis alternativa de que en pacientes delgados, el abordaje SV es significativamente mejor al abordaje pararrotuliano medial en términos de función presentando a su vez un menor sangrado posoperatorio.

Como hipótesis nula se planteó que el abordaje SV no mejora la función de la rodilla tras realizar la ATR y que el sangrado posoperatorio es similar en ambas técnicas.

Abordaje pararrotuliano medial

El abordaje pararrotuliano medial fue descrito originalmente por Von Langenbeck en 1878; el nombre describe la localización de la artrotomía y el lado medial(4).

Von Langenbeck comenzó con una incisión pararrotuliana lateral, seguida de una disección medial para exponer el mecanismo extensor; describió originalmente la disección del vasto medial del tendón del cuádriceps, extendiéndose a través del retináculo rotuliano interno y a lo largo del ligamento rotuliano(4).

Abordaje subvasto

El abordaje quirúrgico subvasto se da a entender como un abordaje más anatómico que la artrotomía pararrotuliana, desde el momento en que el mecanismo extensor es preservado.

Este abordaje apareció por primera vez en la literatura alemana en 1929 descrito por Erkes(15). Luego, en 1945, fue descrito como una artrotomía oblicua medial usando para el acceso proximal el abordaje subvasto(4-15).

Es Hofmann, en una publicación de 1990(8), quien redescubre este abordaje para la ATR.

Técnica quirúrgica

Se inicia con el procedimiento quirúrgico general, al llegar a la fascia con dirección medial se realiza disección subfascial para preservar la irrigación de la piel.

La fascia superficial es identificada proximalmente; se eleva fuera del vasto medial debajo de su inserción hasta que se visualiza el borde inferior del músculo.

Se expone el vasto interno y se identifica el septum intermuscular, se recomienda localizar primero la parte distal de este músculo en su inserción rotuliana y seguir el borde muscular medial haciendo disección digital y dirigiéndose lo más posible hacia proximal teniendo cuidado con el paquete neurovascular existente en el canal de Hunter; se localizan y ligan los vasos perforantes, distalmente se libera hasta llegar a su inserción en la rótula(8) (figuras 1 y 2).

Luego se realiza, como describió Hofmann(8), la artrotomía en L, comenzando con una incisión transversa a través de la inserción tendinosa del vasto interno en la cápsula medial y la artrotomía se completa de una forma estándar medial al ligamento patelar hasta la tuberosidad anterior de tibia.

La rótula es evertida con la rodilla en extensión; a medida que la rodilla se flexiona lentamente, el vasto interno es disecado profundamente desde el septum intermuscular hasta la exposición completa (figura 3).

Se realiza artroplastia y cierre de artrotomía con indemnidad del músculo vasto interno (figuras 4 y 5).

Material y método

Tipo de estudio: prospectivo, randomizado, aleatorizado y ciego simple.

Muestra: 44 rodillas en 43 pacientes con degeneración articular y con criterios quirúrgicos para reemplazo total de rodilla intervenidos en el instituto de medicina altamente especializada (IMAE) de la unidad de cirugía del aparato locomotor (UCAL) de la Asociación Española.

La randomización aleatoria se realizó mediante la generación de una secuencia de aleatorización previa a la introducción de los pacientes al estudio.

Los pacientes incluidos procedían de la lista de espera quirúrgica del Fondo Nacional de Recursos (FNR).

Las intervenciones se realizaron en el período comprendido entre marzo del 2010 y mayo del 2012

Criterios de inclusión

1. Genuvaro artrósico: clasificación de Ahlback tipo 2, 3 y 4.

2. Prótesis de rodilla primaria.

3. Aceptación de ser incluidos en el estudio: consentimiento informado.

Criterios de exclusión

1. Genuvalgo artósico mayor de 6 grados.

2. Artritis inflamatoria.

3. Pacientes que no aceptan ser incluidos en el estudio.

4. Sobrepeso, índice de masa corporal (IMC) mayor de 30.

5. Pacientes con trastornos hematológicos.

6. Osteotomías previas.

Es necesario un detallado examen clínico donde se determinan las variables de la muestra, valorando fundamentalmente movilidad previa con goniómetro. Se obtienen radiografías de la rodilla en posición recta, con soporte del peso corporal y en chasis largo (goniometría), donde se determina ángulo de alineación de la rodilla.

El resultado funcional objetivo será determinado por el rango de movimiento evaluando flexión-extensión en grados realizado mediante mediciones goniométricas.

El evaluador de los pacientes forma parte del trabajo de investigación y del equipo quirúrgico, participando en las cirugías como ayudante, no siendo el traumatólogo tratante ni el responsable del paciente.

Score Koos

El cuestionario KOOS fue desarrollado como un instrumento para evaluar la opinión del paciente sobre su rodilla y problemas asociados(21,22).

Actualmente muchos autores se sienten atraídos por la evaluación de KOOS porque ha sido validado en pacientes con lesiones ligamentarias, patología meniscal y artrosis de rodilla(21). Es un buen método, bien diseñado y sencillo de realizar, que sirve para evaluar a pacientes jóvenes y de mediana edad con distintas patologías de la rodilla, y que puede ser complementario a otras escalas actualmente en uso.

El score KOOS (Knee Injury and Osteoarthritis Outcome Score) fue descrito por Roos en 1998 con el objetivo de evaluar a pacientes jóvenes con lesiones deportivas(14). Los autores intentaron eliminar el sesgo del observador creando un cuestionario que debe ser completado por el paciente sin interferencia del médico(21,22).

Dado que KOOS fue desarrollado para los pacientes más jóvenes o más activos con lesión en la rodilla y artrosis de la rodilla, Roos y colaboradores(22) estudian la utilidad del KOOS en pacientes ancianos con artrosis avanzada, elegibles para reemplazo total de la articulación, comparando y validando ambos scores, demostrando que KOOS es un instrumento sensible, válido, confiable y útil para la evaluación de los resultados relevantes para el paciente anciano con artrosis avanzada(22).

Para evaluar el resultado funcional subjetivo se le entrega al paciente el formulario KOOS que evalúa cinco parámetros y son evaluados por separado: dolor (9 ítems), síntomas (7 ítems), actividades de vida cotidiana (17 ítems), actividades recreativas y deportivas (5 ítems) y calidad de vida (4 ítems).

El formulario completo se puede extraer y analizar en detalle de la página web: http://www.koos.nu/ KOOSSpanishperu.pdf

Dado que los pacientes evaluados son de edad avanzada y con bajo nivel de actividad por su patología degenerativa, se decide eliminar del cuestionario el ítem que evalúa la actividad recreativa y deportiva.

Las preguntas de esta evaluación demandan aproximadamente 10 minutos y el cuestionario es completado personalmente por cada paciente, puede ser realizado en el domicilio.

El cuestionario se realizó en la entrevista inicial, prequirúrgica y a los seis meses del posoperatorio.

Se utiliza escala de Likert y todos los elementos tienen cinco opciones de respuesta posible anotados desde 0 (sin problemas) a 4 (problemas extremos) y cada una de las cinco puntuaciones se calcula como la suma de los elementos incluidos(21,22).

Las puntuaciones se transforman en una escala de 0 a 100, con cero que representa problemas de rodilla extrema, y 100, que no representa problemas de rodilla(21,22).

Las puntuaciones entre 0 y 100 representan el porcentaje de la puntuación total posible lograda, como habitualmente es usado en las escalas de evaluación ortopédica y medidas genéricas(21,22).

Están disponibles hojas de cálculo de Excel con las fórmulas para el cálculo de las puntuaciones: www. koos.nu

La pérdida de sangre será evaluado por la paraclínica comparando el hemograma (hemoglobina y hematocrito) previo a la intervención con un hemograma control realizado a las 24 horas.

Protocolo

Todos los procedimientos quirúrgicos se realizaron bajo anestesia regional y usando torniquete neumático.

La asignación del abordaje a cada paciente se lleva a cabo después de haber informado del estudio y el paciente haber dado su consentimiento, los criterios de elegibilidad han sido comprobados y las mediciones de referencia se han tomado.

La selección de la vía de abordaje se lleva a cabo en el día de la cirugía, es asignada en forma aleatoria simple por el cirujano; se comienza por un abordaje pararrotuliano interno (grupo I), siguiendo por el abordaje SV medial (grupo II) y continuando en forma alternada hasta completar el total de la muestra. Se logran de esta manera dos grupos con n similares.

Todos los pacientes recibieron una prótesis idéntica (Sigma Jhonson) que se realiza siempre por el mismo equipo quirúrgico utilizando la misma técnica. Todas las ATR se realizan con el recambio de la rótula.

Los pacientes reciben el mismo tratamiento posoperatorio según los protocolos del servicio de UCAL:

  • Antibióticos profilácticos comenzando previo a la cirugía, en la inducción anestésica, continuando por 24 horas.
  • Profilaxis antitrombótica con heparinas de bajo peso molecular 24 horas posteriores a la cirugía.
  • Analgesia por bomba de infusión continua (BIC) por 24 horas, con antiinflamatorios no esteroideos (AINE) y opiáceos semisintéticos y luego reglada cada ocho horas.
  • Ingresan en un programa de rehabilitación dirigido por médico fisiatra y realizado por un técnico fisioterapeuta; el mismo se mantendrá por una semana, tiempo en el cual todos los pacientes permanecen internados por un acuerdo logrado entre los IMAE y el FNR.
  • Los pacientes fueron controlados determinando la movilidad al tercer día, al mes, a los tres meses y finalmente a los seis meses del posoperatorio, cuando se realiza nuevamente el formulario KOOS.

Metodología estadística

Para el análisis estadístico se empleó el test de Student para variables independientes y de chi cuadrado para la comparación de los dos grupos, y se establecieron predictores de flexión-extensión tardía mediante regresión lineal múltiple.

Los resultados fueron expresados como media ± desvío estándar (DE). Para todas las pruebas se aceptó un valor de significación inferior a 0,05. Se empleó el programa estadístico informático SPSS versión 20.0 para el análisis estadístico

Resultados

Un total de 44 rodillas en 43 pacientes incluidos en el estudio distribuidos en dos grupos. El abordaje parapatelar interno (grupo I) se realizó en 22 rodillas y el subvasto (grupo II) en otras 22.

Tres pacientes fueron excluidos del estudio; uno por fractura periprotésica, otro por fractura de rótula y por último un paciente con infección profunda; estas complicaciones posoperatorias no dependen del tipo de abordaje realizado. Los pacientes fueron excluidos del estudio por no poder realizarse las evaluaciones correspondientes.

Del total del grupo estudiado, 17 fueron hombres (39,5%) y 26 mujeres (60,5%); en el grupo PPI se presentaron 12 hombres y 9 mujeres y en el grupo subvasto 5 hombres y 17 mujeres (tabla 1).

Destacamos que las variables preoperatorias tienen p > 0,05, lo que nos habla de que los dos grupos de estudio son similares y confirma la homogeneidad de los dos grupos que buscábamos con nuestra metodología de estudio.

El grupo PPI presentó una media de edad de 70,7 ± 8,7 años (rango: 51 a 81) y el grupo SV 72,3 ± 5,4 años (rango 61 a 82).

El IMC medio fue de 28 ± 1,7 kg/m2 (rango: 24 a 30) para el grupo PPI contra 28,1 ± 1,4 kg/m2 (rango: 25 a 30).

La media de nivel de hemoglobina antes de la intervención fue de 12,5 ± 1,2 g/dl (rango: 10,3 a 14,7) y de 12 ± 1,4 g/dl (rango: 10 a 15,6), respectivamente, y de hematocrito fue de 37,9% ± 3,1% (rango: 32,8% a 44,8%) para el grupo PPI contra 36,8% ± 3,9% (rango: 30%-46,4%) para el grupo SV.

Todos los pacientes tenían un estudio preoperatorio de coagulación normal.

El rango de movilidad previa que presentaron ambos grupos fue de 2,4º ± 3,5º a 116º ± 9,5º para PPI y de 1,1º ± 2,6º a 115º ± 13,4º para el grupo SV.

Ambos grupos presentaron puntuaciones similares para las variables del KOOS analizadas (tabla 2).

En la tabla observamos que el abordaje SV sí mejora al rango de movilidad (ROM) en etapas tempranas.

Vemos cómo los dos grupos se comportan diferentes en todos los controles.

Destacamos la mejor flexión de rodilla con una importante significancia estadística (p=0,001) a los tres días con valores de flexión de 82º ± 9º en el abordaje SV contra 69º ±11º del abordaje parapatelar.

Al mes continúan las diferencias a favor del abordaje SV (96º ± 13º) en comparación con el abordaje parapatelar (88º ± 14º), también siendo estos resultados estadísticamente significativos, p = 0,05.

Luego de tres meses estas diferencias tienden a desaparecer con resultados de 103,9 ± 11,1 en el abordaje SV contra 109,9 ± 12,7 abordaje PPI, y a los seis meses 109,5 ± 8,3 contra 113,6 ± 11,9, respectivamente, pero estos resultados no los pudimos comprobar estadísticamente con valores de p de 0,1 y 0,2, respectivamente.

En cuanto a la extensión de rodilla en estas mismas etapas también se mantienen las diferencias a favor del SV (8º ± 5º y 6º ± 6º) en comparación con el abordaje insall (12º ± 6º y 9º ± 5º), pero aquí casi estadísticamente significativo (p = 0,054) a los tres días, pero con valor estadístico menor (p = 0,09), o sea sin significancia estadística a los 30 días.

Encontramos a los seis meses que sí pudimos comprobar estadísticamente los resultados con mejora de la extensión del abordaje SV (figura 6).

Observamos siempre en todos los controles que hay un mejor rango de flexión con el abordaje SV. Siendo esta diferencia más acentuada en el posoperatorio inmediato, tendiendo hacia una meseta y equiparándose hacia los seis meses, lo que estaría confirmando nuestra hipótesis (figura 7).

Lo mismo sucede con la extensión: a medida que pasa el tiempo ganan extensión, o sea se acercan a 0 grado. Siempre con rangos mejores en el SV (tabla 3).

No se observan diferencias significativas en la variación de la HB y Hct y al requerimiento de transfusión entre ambos abordajes, lo que estaría confirmando la hipótesis nula, aunque esto no se puede validar estadísticamente (figura 8).

En esta figura visualizamos más claramente que no hay casi diferencia en cuanto a los requerimientos de transfusión por los pacientes en ambos grupos. Siete pacientes en el grupo SV contra seis pacientes en el grupo PPI, o sea que la diferencia es de un solo paciente que requirió más transfusión en el grupo subvasto (tabla 4).

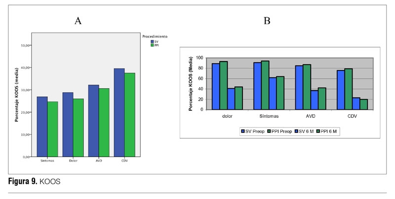
En la evaluación de la puntuación del cuestionario KOOS no hubo diferencias entre los dos grupos, observando p > 0,05.

Ambos grupos mejoraron, lo que es esperable y deseable ya que la mejoría se debe a la sustitución de la rodilla dañada (prótesis) y no al tipo de abordaje (figura 9).

En la figura 9A, score Koos control a los seis meses; podemos visualizar claramente que no hubo cambios en la evaluación del score KOOS entre ambos abordajes.

En la figura 9B observamos comparativamente el score KOOS en el preoperatorio y el control a los seis meses, observando que mejora el score (disminuye) en ambos grupos en el control a los seis meses comparado con la evaluación en el preoperatorio.

Observamos también que no hay diferencias entre los dos grupos en el mismo período de tiempo.

Discusión

El aparato extensor es la principal fuente de complicaciones posteriores a la ATR. Los estudios a largo plazo indican que la prevalencia de complicaciones que involucran el aparato extensor ronda desde 1,5% hasta 12%(4,7,9,13,).

Hay múltiples estudios que comparan los abordajes pararrotuliano medial y subvasto para los pacientes sometidos a ATR primaria y muchos han demostrado importantes ventajas en el uso del abordaje SV, pero pocos estudios con nivel de evidencia científica que realmente lo demuestren.

Es por esto que se genera inquietud, queriendo comprobar científicamente estos resultados en nuestro medio.

Por lo tanto, teniendo como objetivo de nuestro estudio evaluar los resultados a corto plazo del abordaje SV en comparación con el abordaje de Insall clásico, se realiza nuestra investigación con una metodología de estudio adecuada, realizando un estudio prospectivo con una cuidadosa selección de los pacientes, eliminando todas las posibles variables interferentes que nos pudieran sesgar la muestra y así poder tener resultados que sean estadísticamente validados y poder sacar conclusiones.

Encontramos como resultados más importantes en nuestro trabajo que el SV parece ofrecer ventajas tempranas en la rehabilitación posoperatoria con un mejor rango de movilidad precoz hasta el primer mes, para luego ir equiparándose con el abordaje parapatelar. Hallazgos estos que se correlacionan con la bibliografía analizada. Se pudo así demostrar con un nivel de significancia estadísticamente muy importante nuestra hipótesis planteada.

Es de señalar que la rehabilitación y analgesia de los pacientes están determinadas por el protocolo del servicio donde se realizaron las cirugías, por lo que no son variables que puedan influir en los resultados y esto constituye una gran diferencia de nuestro estudio con otros trabajos publicados.

En cuanto al sangrado, a diferencia de la bibliografía analizada en nuestro estudio, no encontramos diferencias significativas en la variación de la Hb y Hct y al requerimiento de transfusión entre ambos abordajes, pero estos resultados tampoco fueron estadísticamente significativos.

En cuanto al score de rodilla ambos grupos aumentaron sus valores en todos los ítems que este evalúa, pero no hubo diferencias cuando se comparan ambos abordajes entre sí; aunque estos resultados no fueron estadísticamente significativos, los mismos se correlacionan con la bibliografía analizada como se ha mencionado.

De la técnica quirúrgica en todos los casos se realizó el abordaje SV con relativa facilidad; esto, por supuesto, depende de la experiencia y de la curva de aprendizaje del cirujano.

El abordaje SV se realizó siguiendo la misma técnica, como lo describe Hofmann, y se obtuvo una buena exposición de la rodilla, pero presentamos mayor dificultad con la exposición del compartimento medial dada por la imposibilidad en la eversión de la rótula, la cual se lateralizaba, teniendo por consiguiente mayor dificultad con la cementación del componente tibial y rotuliano.

Encontramos también una mayor dificultad para darle rotación externa al platillo, ya que contacta con el cóndilo femoral externo.

La colocación del componente rotuliano también fue más dificultosa; en el abordaje SV se realizaba por último.

No presentamos complicaciones con la exposición y cementación del componente femoral.

Después de la inserción de los componentes, todas las rótulas de deslizaban libremente con buen centrado rotuliano, sin luxación, por lo que en ningún paciente hubo necesidad de practicar la liberación lateral rotuliana.

Conclusiones

Realizar ATR a través del abordaje SV ha comprobado ser una buena técnica del punto de vista anatómico y sobre una base científica.

Anatómicamente, el SV es el único que conserva estrictamente la inserción del tendón cuadricipital sobre la rótula y científicamente se ha demostrado en estudios clínicos aleatorios que es superior a la artrotomía medial pararrotuliana.

El abordaje SV es fiable, reproducible y eficaz, y permite ser aplicado a un amplio y seleccionado grupo de pacientes.

El abordaje SV ofrece un mejor rango de movilidad inicial al preservar la integridad del vasto medial; sin embargo, estos beneficios no son significativos en comparación con el abordaje pararrotuliano si los comparamos a largo plazo, siendo además el abordaje SV un procedimiento técnicamente más exigente.

En cuanto a la vascularización de la rótula, queda claro que con el abordaje SV se preserva la misma, mientras que con el abordaje parapatelar se comprometen los vasos geniculares internos, mencionado teóricamente en los trabajos de Scuderi el aumento de la necrosis de rótula tras la liberación de la misma, pero que en la práctica clínica es difícil de demostrar.

Summary

Introduction: the medial parapatellar is the most widely used approach in the standard method of total knee arthroplasty. However, recent studies have reported better results regarding functional recovery when the subvastus approach is used.

Objective:: to evaluate early functional results of both surgical approaches to knee arthroplasty, testing the hypothesis that the subvastus approach is significantly better than the medial parapatellar approach in thin patients.

Method: a retrospective, randomized and blind study of 44 consecutive primary knee arthroplasties, comparing two approaches: medial parapatellar versus subvastus approach. The patients received the same prosthesis (Sigma Johnson), and the same surgeon operated them using the exact same technique, though a different approach was used - as already mentioned. The parapatellar approach was used in 22 patients, while the remaining 22 patients were operated through the subvastus approach.

Patients were assessed upon three days, and one, three and six months after surgery.

Results: the groups were compared through the student t-test for independent variables and chi-square, and predictors for late extension were set by means of multiple linear regression.

Conclusions: we managed to conclude that the subvastus approach is more convenient since it favors bending the knee in the short term, although differences tend to disappear after three months.

Resumo

Introdução: a abordagem pararrotuliana internoaé a mais utilizada na técnica padrão para o acesso à artroplastia total de joelho. No entanto estudos recentes registraram resultados melhores com respeito à recuperação funcional quando se utiliza a abordagem subvastus.

Objetivo: avaliar o resultado funcional precoce de ambas abordagens cirúrgicas para a artroplastia de joelho, testando a hipótese de que em pacientes delgados a abordagem subvastus é significativamente melhor que a abordagem pararrotuliana interna.

Material e método: realizou-se um estudo prospectivo, aleatório e simples cego com 44 artroplastias de joelho consecutivas primárias comparando as duas vias de abordagem: artrotomía pararrotuliana medial versus abordagem subvastus.

Os pacientes receberam a mesma prótese (Sigma Johnson), a cirurgia foi realizada sempre pelo mesmo cirurgião utilizando a mesma técnica com a única diferencia mencionada anteriormente. A via pararrotuliana foi utilizada em 22 joelhos, e nos outros 22 a abordagem subvastus. Os pacientes foram avaliados três dias, um, três e seis meses depois da operação.

Resultados: os grupos foram comparados utilizando teste de Student para variáveis independentes, qui quadrado, e foram estabelecidos preditores de extensão tardia por regressão lineal múltipla.

Conclusões: podemos concluir que a abordagem subvastus oferece vantagens com relação à flexão do joelho a curto prazo observando-se uma tendência, depois de três meses, de desaparecimento da diferença.

Bibliografía

1. Woolf AD, Pfleger B. Burden of major musculoskeletal conditions. Bull World Health Organ 2003; 819:646-56.

2. KAT Trial Group, Johnston L, MacLennan G, McCormack K, Ramsay C, Walker A. The Knee Arthroplasty Trial (KAT) design features, baseline characteristics, and two-year functional outcomes after alternative approaches to knee replacement. J Bone Joint Surg Am 2009; 91(1):134-41.

3. Abbott LC, Carpenter WF. Surgical approaches to the knee joint. J Bone Joint Surg Am 1945; 27:277-310.

4. Scuderi GR. Abordajes quirúrgicos de la rodilla. En: Insall JN, Scott N. Rodilla. 3 ed. Madrid: Marbán, 2004. p. 190-211.

5. Kaper B, Bourne R. Sustitución de la rótula en la artroplastia total de rodilla. En: Insall JN, Scott N. Rodilla. 3 ed. Madrid: Marbán, 2004. p. 1740-9.

6. Scuderi G, Scharf SC, Meltzer LP, Scott WN. The relationship of lateral releases to patella viability in total knee arthroplasty. J Arthroplasty 1987; 2(3):209-14.

7. Scuderi GR, Tria AJ, eds. Minimally invasive surgery in orthopedics. New York: Springer, 2010

8. Hofmann AA, Plaster RL, Murdock LE. Subvastus (Southern) approach for primary total knee arthroplasty. Clin Orthop Relat Res 1991; (269):70-7.

9. Engh GA, Holt BT, Parks NL. A midvastus muscle-splitting approach for total knee arthroplasty. J Arthroplasty 1997; 12(3):322-31.

10. Benazzo F, Rossi SM. The trivector approach for minimally invasive total knee arthroplasty: a technical note. J Orthop Traumatol 2012; 13(3):159-62.

11. Kelly MJ, Rumi MN, Kothari M, Parentis MA, Bailey KJ, Parrish WM, et al. Comparison of the vastus-splitting and median parapatellar approaches for primary total knee arthroplasty: a prospective, randomized study. J Bone Joint Surg Am 2006; 88(4):715-20.

12. Matsueda M, Gustilo RB. Subvastus and medial parapatellar approaches in total knee arthroplasty. Clin Orthop Relat Res 2000; (371):161-8.

13. Bourke MG, Buttrum PJ, Fitzpatrick PL, Dalton PA, Jull GA, Russell TG. Systematic review of medial parapatellar and subvastus approaches in total knee arthroplasty. J Arthroplasty 2010; 25(5):728-34.

14. Bridgman SA, Walley G, MacKenzie G, Clement D, Griffiths D, Maffulli N. Sub-vastus approach is more effective than a medial parapatellar approach in primary total knee arthroplasty: a randomized controlled trial. Knee 2009; 16(3):216-22.

15. Cila E, Güzel V, Ozalay M, Tan J, Simsek SA, Kanatli U, et al. Subvastus versus medial parapatellar approach in total knee arthroplasty. Arch Orthop Trauma Surg 2002; 122(2):65-8.

16. Sastre S, Sanchez MD, Lozano L, Orient F, Fontg F, Nuñez M. Total knee arthroplasty: better short-term results after subvastus approach: a randomized, controlled study. Knee Surg Sports Traumatol Arthrosc 2009; 17(10):1184-8.

17. Weinhardt C, Barisic M, Bergmann EG, Heller KD. Early results of subvastus versus medial parapatellar approach in primary total knee arthroplasty. Arch Orthop Trauma Surg 2004; 124(6):401-3.

18. Fauré BT, Benjamin JB, Lindsey B, Volz RG, Schutte D. Comparison of the subvastus and paramedian surgical approaches in bilateral knee arthroplasty. J Arthroplasty 1993; 8(5):511-6.

19. Roysam GS, Oakley MJ. Subvastus approach for total knee arthroplasty: a prospective, randomized, and observer-blinded trial. J Arthroplasty 2001; 16(4):454-7

20. Varela-Egocheaga JR, Suárez-Suárez MA, Fernández-Villán M, González-Sastre V, Varela-Gómez JR, Rodríguez-Merchán C. Minimally invasive subvastus approach: improving the results of total knee arthroplasty: a prospective, randomized trial. Clin Orthop Relat Res 2010; 468(5):1200-8.

21. Roos EM, Lohmander LS. The Knee injury and Osteoarthritis Outcome Score (KOOS): from joint injury to osteoarthritis. Health Qual Life Outcomes 2003; 1:64.

22. Roos EM, Toksvig-Larsen S. Knee injury and Osteoarthritis Outcome Score (KOOS)- validation and comparison to the WOMAC in total knee replacement. Health Qual Life Outcomes 2003; 1:17.

Creative Commons License Todo el contenido de esta revista, excepto dónde está identificado, está bajo una Licencia Creative Commons