Servicios Personalizados
Revista
Articulo
Links relacionados
Compartir
Revista Médica del Uruguay
versión On-line ISSN 1688-0390
Rev. Méd. Urug. vol.19 no.2 Montevideo ago. 2003
EMECAMDEL. Descripción de una experiencia de educación médica continua
Dr. Humberto Correa1
Cooperativa Asistencial Médica de Lavalleja
Resumen
Durante los años 2001 y 2002 se desarrolló en la Cooperativa Médica de la ciudad de Minas (departamento de Lavalleja) un programa de educación médica continua denominado EMECAMDEL. Fue dirigido principalmente a médicos generalistas y de emergencia. Se emplearon métodos educativos variados que fueron de tipo interactivo al menos 50% del tiempo. Se realizaron 15 talleres (ocho en 2001 y siete en 2002) de 6 horas y 30 minutos de actividad educativa neta cada uno. Previo a cada taller se envió material de estudio a domicilio (aproximadamente 60 páginas cada vez) y un cuestionario de múltiple opción para evaluar lectura del material y conocimientos. Los docentes fueron en todos los casos técnicos de experiencia y en casi todos los casos profesores de la Facultad de Medicina. Participaron como talleristas 41 médicos; dos tercios de ellos eran mujeres. La asistencia a cada taller fue en promedio de 28 personas (68%). De los concurrentes, 75% residía en Minas. La mayor asiduidad se registró en los médicos de más de 12 años de profesión y en los residentes fuera de Minas. El cumplimiento de las tareas fue bueno, más de 90% de los concurrentes encuestados había leído el material enviado para estudio a domicilio y contestado las pruebas de múltiple opción correspondientes. La evaluación formal hecha por los concurrentes mostró una muy buena opinión sobre la elección de temas, material enviado para estudio y conferencias. La aceptación del trabajo en grupos, rounds clínicos y diálogos fue buena, aunque algo menor que la de las otras actividades. En las sugerencias libres hechas por los concurrentes se destacó el deseo de tener más diálogo con los docentes sobre casos clínicos concretos, hacer pautas terapéuticas y construir guías para indicación de exámenes paraclínicos. Expresaron querer realizar más actividades interactivas y utilizar al máximo los recursos locales en cuanto a estudios de laboratorio y terapéutica. El costo de todo el proyecto fue de 22.000 dólares estadounidenses y el tiempo educativo de cada concurrente más de 100 horas anuales. No se realizó evaluación objetiva de la influencia de EMECAMDEL sobre la performance de los médicos en su actividad práctica de todos los días o sobre la evolución de los pacientes. Esto se piensa instrumentar en una fase futura. El resultado fue satisfactorio, aunque con limitaciones en lo referente a evaluación de cambios en la performance práctica.
Palabras clave: EDUCACIÓN MÉDICA CONTINUA.
URUGUAY.
1. Ex Profesor Director de la Cátedra de Medicina Intensiva y ex Director del CTI del Hospital de Clínicas de la Facultad de Medicina. Universidad de la República.
Correspondencia: Dr. Humberto Correa
Andrés Gómez 1823 CP 11400. Montevideo. Uruguay.
E-mail: hcorrea@hc.edu.uy.
Parte del material aparecido en este trabajo fue presentado como poster y abstract en las Primeras Jornadas Nacionales de Experiencias Educativas en Desarrollo Profesional Médico Continuo, realizadas en Montevideo el 13 y 14 de noviembre de 2002.
Recibido: 21/11/02.
Aceptado: 16/6/03.
Introducción
En medicina existen dos grande clases de educación: educación médica formativa (EMF) y educación médica continua (EMC). La primera es institucional (universitaria), programada, progresiva, integral y controlada, mientras que la segunda puede ser extrauniversitaria, y es más libre y periódica. La EMF tiene por objetivo formar un médico a partir de un joven estudiante, la EMC mantener y mejorar la capacidad profesional del médico adulto en ejercicio durante toda su vida.
La EMF se realiza en la Facultad de Medicina. Aunque toma un período prolongado (12 años o más si el médico realiza estudios de posgrado) tiene un límite temporal fijo: termina el día en que el alumno obtiene su título de médico o su certificado de especialista.
La actividad de mejoramiento profesional posterior queda librada a la iniciativa personal, sin supervisión ni control. Hay fuertes razones para sostener que es necesaria una educación posterior a la Facultad, entre las que se puede mencionar:
- La ciencia médica cambia; hay conocimientos que dejan de tener validez, mientras surgen otros nuevos. La rapidez con que esto sucede en algunas áreas crece en progresión geométrica.
- Todos los profesionales olvidan algunos de los conocimientos adquiridos, o pierden lentamente sus detalles. Y aunque muchas cosas cambian, hay otras más estables que deben de ser conservadas y recordadas.
- Hay cambios en las patologías prevalentes en un medio determinado, y en la forma de tratar las enfermedades.
- Se producen cambios en la manera de asistir, en la organización de la asistencia, que hacen variar el área de dedicación profesional de determinados médicos.
Si el médico opta por mantener actividades educativas, puede practicarlas en forma individual (revistas científicas, textos, medios electrónicos) o concurrir a actividades colectivas (congresos, jornadas, cursos). Las actividades colectivas, que se practican en Uruguay desde hace muchísimos años, cumplen con varias finalidades: ser foro de exposición de investigaciones originales, vehículo hacia nuestro país de científicos de primer nivel, y un medio para que los médicos se mantengan actualizados. Sin embargo, en relación con el último punto, se ha demostrado que las actividades sólo de "escucha" influyen muy poco en los cambios de conducta, objetivo básico de toda educación. Por otra parte, si no se evalúan de alguna forma los cambios que debe producir la educación nunca se sabrá si hubo aprendizaje. Una manera de evaluarlos es tratar de objetivar si luego del proceso educativo al que se han sometido los médicos se producen cambios benéficos en la evolución y en el destino de los pacientes asistidos. La conciencia de estos últimos hechos produjo un aumento del interés en el estudio de la educación del médico adulto. Así se evolucionó lentamente hacia el concepto de EMC. Aunque en este trabajo seguiremos empleando solamente la expresión EMC, existe otra modalidad formativa, la educación médica permanente (EMP)(1), y un término que incluye todas estas actividades que es el de mejoramiento profesional continuo.
La EMC es una actividad educativa dedicada a personas adultas que trabajan, tienen responsabilidad asistencial en la comunidad, son remuneradas por ello, y este es su medio de sustento. En suma, son profesionales de la medicina. ¿Cómo sigue aprendiendo el adulto luego que finalizó su etapa de estudiante? Autoridades internacionales han intentado dar respuesta a esta pregunta clave para la educación en esta fase de la vida(2). Los métodos para practicar la EMC son muy variados en distintas partes del mundo, y también la forma de evaluar sus resultados(3). Países del tercer mundo con problemas sanitario-educacionales que pueden tener ciertas similitudes -en sus formas de presentarse y en sus dificultades- con los de Uruguay han publicado la forma en que encaran la formación continua del médico en actividad(4).
La EMC tiene características diferentes a la educación de grado y de posgrado. Entre otras: 1) se dedica a áreas acotadas dentro de la medicina que están determinadas por necesidades especiales; 2) la población "blanco" varía de lugar en lugar, de tiempo en tiempo, de institución en institución; 3) los médicos que concurran a estas actividades deben estar interesados específicamente en esos temas en ese momento; 4) la educación debe acompasarse con el trabajo profesional; 5) no es una actividad privativa de una facultad o de una universidad, puede y debe realizarla toda la comunidad de organizaciones vinculadas con la atención de salud; 6) no tiene un límite determinado en la vida de las personas: puede y debe ejercerse durante toda la vida profesional de los médicos.
En Uruguay, para dar respuesta a esta necesidad, se definió el tema en la Facultad de Medicina en la última década del siglo XX. En 1995 se formó un área dedicada a la EMC en la Escuela de Graduados de la Facultad de Medicina (EGFM). Un grupo de docentes, integrantes del Comité Honorario para la Educación Médica Continua (CH EMC) se dedicó con esfuerzo al desarrollo de las bases de este nuevo ámbito durante los últimos años(5-10). Aunque otros profesionales han colaborado y colaboran dentro del CH EMC, los profesores Dante Petruccelli, Elena Fosman y Rosa Niski fueron algunos de los principales impulsores del sistema. Se pretende que la administración futura de la EMC sea responsabilidad de un organismo nacional interinstitucional. Este organismo estaría integrado por Facultad de Medicina-Escuela de Graduados, Ministerio de Salud Pública, Sindicato Médico del Uruguay, Federación Médica del Interior y otros(11).
EMECAMDEL es un emprendimientos de EMC que se realizó intentando seguir los lineamientos del CH EMC de la EGFM.
Objetivos
1) Describir el proyecto educacional EMECAMDEL, su planificación, forma de organización y ejecución; 2) analizar características demográficas y profesionales de los médicos concurrentes, así como su asiduidad y compromiso con la tarea; 3) analizar qué factores se asociaron más a asiduidad y, 4) analizar la evaluación de la actividad hecha por los concurrentes y sus sugerencias de cambio.
Material y método
Esta es una investigación de modalidad descriptiva y retrospectiva en la cual se estudian algunas diferencias de conducta entre subgrupos de concurrentes al programa educativo y se emplean para ello test estadísticos.
Motivación del proyecto y ambiente en que se desarrolló
La sigla EMECAMDEL significa educación médica continua en la cooperativa asistencial médica de Lavalleja. Fue proyectada en el año 2000 y llevada a cabo durante 2001 y 2002. Camdel (cooperativa asistencial médica de Lavalleja) es una organización médica privada que tiene 21.000 afiliados, a los que proporciona asistencia integral, y en la que trabajan 100 médicos. A fines del año 2000, su comisión directiva (CD) solicitó al autor de esta comunicación que estructurara un proyecto educativo dedicado a médicos de adultos, especialmente a aquellos que atendían pacientes ambulatorios en consultorios (policlínicas) y a los que trabajaban en emergencia. Camdel posee un sistema de emergencia fijo en su sanatorio en Minas ("puerta") y un sistema de emergencia móvil. La motivación general de la CD fue mejorar la asistencia y hacerla más eficiente; y las motivaciones específicas:
- actualización de conocimientos,
- sentar las bases para la elaboración de pautas terapéuticas,
- racionalizar las solicitudes de estudios paraclínicos,
- delinear en forma más útil las áreas asistenciales y la interrelación entre generalistas y especialistas.
El proyecto fue elaborado y presentado a la CD, que encargó al autor de la gestión y coordinación de EMECAMDEL.
Organización y funcionamiento
A. Tipo de actividad, periodicidad y duración: se decidió la realización de talleres. Este nombre deriva de que los que concurren van principalmente "a trabajar", no solamente a escuchar. Trabajar en este caso significa resolver problemas, contestar preguntas, hacer preguntas, cuestionar los asertos de los docentes, presentar casos clínicos propios y evaluar la actividad. Se planificó un taller por mes, a realizar un día sábado (los médicos tienen menos trabajo asistencial ese día y los docentes más disponibilidad de tiempo). La duración fue de 6:30 horas netas de actividad educativa: de 9:00 a 17:30, con un intervalo libre de 12:00 a 14:00 para almuerzo y descanso. El proyecto se ejecutó durante dos años, llevándose a cabo 15 talleres correlativos siguiendo un programa. En 2001 se realizaron ocho talleres (de abril a noviembre uno por mes) y siete en 2002 (uno por mes de marzo a octubre, haciendo excepción del mes de abril) (tabla 1).
B. Elección de temas: fueron elegidos teniendo en cuenta tres factores. La principal referencia fue una encuesta de 1.000 consultas médicas realizadas en el año 2000 durante dos días por un numeroso grupo de médicos en varias localidades del interior. Estos colegas que colaboraron voluntariamente llenando los formularios pertenecían al programa educativo EDUMECO, dirigido antes por el autor. También se tuvo en cuenta la opinión de los directivos de Camdel sobre necesidades locales, la propia opinión del coordinador del programa y la que surgió del intercambio con los docentes convocados.
C. Modalidades educativas empleados. Fueron variadas: 1) envío a domicilio, un mes antes de cada taller, de material de estudio y un cuestionario de múltiple opción a llenar luego de leído aquél; 2) trabajo con historias clínicas en grupos pequeños, de cinco a seis concurrentes, libres de todo monitoreo o vigilancia docente. Luego los resultados obtenidos se presentaban al docente y se discutía la pertinencia o adecuación de las soluciones; 3) sesiones de preguntas y respuestas; 4) devolución por parte del docente de los resultados del cuestionario al material de estudio. Para ello, antes de la sesión de devolución, fue necesario hacer en la mañana de cada taller el examen de los cuestionarios entregados y establecer la frecuencia de aciertos y errores; 5) presentación de casos clínicos reales por parte de uno de los concurrentes y comentario por el docente y los demás concurrentes; 6) exposiciones docentes de 30 o 40 minutos; 7) ocasionalmente se presentaron en pantalla imágenes de lesiones en determinados pacientes, y los concurrentes debían opinar sobre el tipo de lesión, grado y significado, siendo supervisados por un docente. En otras oportunidades se mostraron electrocardiogramas u otro material con el mismo objetivo.
D. Selección del material de estudio. El material de estudio fue seleccionado por los docentes y visto por el coordinador. Tuvo una extensión de 60 páginas en promedio. Se prefirió material en español (nacional o extranjero), por lo que se verá luego, pero a veces fue imprescindible enviar parte del material en inglés (no más de 30%). También se envió algún material en portugués. El cuestionario tuvo entre 8 y 12 preguntas de opción múltiple que podían ser contestadas luego de leído el material. Los concurrentes debieron entregar el cuestionario contestado al entrar al taller. Para que el material estuviera pronto a tiempo debió ser entregado por los docentes 60 días antes del taller respectivo, y ser impreso en un número suficiente de copias. En algunos casos en que existía un texto (de extensión limitada y bajo costo) referente al tema a tratar, se compró un número suficiente de ejemplares y ese fue el material de estudio. Los casos clínicos escritos fueron elaborados por los docentes, o tomados de su archivo. Casi siempre fueron cuatro y todos los grupos discutieron todos los casos, aunque luego cuatro de los grupos presentaban un caso cada uno. Los casos clínicos debían ser compactos, y a veces se acompañaron de un cuestionario muy general sobre la conducta a seguir para orientar la discusión de los talleristas. Los casos debieron ser entregados por el docente al coordinador la semana previa al taller para ser fotocopiados en número suficiente. Se repartieron en el taller en el momento de comenzar la discusión en grupos.
E. Reclutamiento de los concurrentes: en esta programa la concurrencia fue establecida en forma obligatoria por la directiva de la institución. Esto fue comunicado a más de 40 médicos (la población " blanco" elegida al inicio) por la dirección técnica (DT). La concurrencia fue premiada con un día de licencia en policlínicas y la ausencia no justificada con el descuento de un día. Las ausencias se justificaban por enfermedad, guardia, realización de otros programas simultáneos, etcétera. El programa de talleres de todo el año fue comunicado a los concurrentes. Cuando fue posible se entregó al principio del año y si no fue incluido en alguno de los librillos de estudio. Antes de cada taller se recordaba la fecha correspondiente telefónicamente por parte de la secretaría de la DT. Con el transcurso del programa hubo algunos médicos que dejaron de concurrir (10% aproximadamente) y otros no convocados inicialmente que fueron autorizados o invitados a concurrir a talleres específicos: cirujanos, pediatras y licenciadas en enfermería.
F. Estructura de un taller: se estableció una estructura básica en módulos. Un módulo de discusión en grupos y presentación de resultados en plenario, un módulo de corrección de cuestionarios de múltiple opción, un módulo de round clínico (sólo dos veces), un módulo de exposiciones o conferencias y un módulo de preguntas y respuestas. El módulo de estudio de material enviado a domicilio fue "pretaller". Al final del taller siempre hubo un módulo de evaluación por parte de los concurrentes. En un taller hubo un pequeño módulo de presentación de trabajo de investigación por parte de un médico de la institución. Por observaciones de los talleristas se cambió la ubicación de los módulos con el correr del tiempo.
G. Docentes: en todos los casos los docentes fueron seleccionados por el coordinador, aunque en dos oportunidades hubo sugerencias -que fueron atendidas- por parte de la DT. Los docentes invitados fueron en todos los casos personas de mucha experiencia en enseñanza y de reconocida capacidad técnica en los temas tratados. Podría señalarse que en varios de los casos -como se verá en la tabla 1- se trató de profesionales que son referencia nacional en los temas elegidos. La casi totalidad de los docentes tenía producción científica propia en nuestro país o en el extranjero, o en ambos, en forma de textos e investigaciones originales.
Siempre hubo entrevistas previas (más de una) del coordinador con los docentes para explicar el método docente y la estructura del programa y para recibir luego el material de estudio, historias y sugerencias. Casi siempre fueron especialistas, lo cual será considerado en comentarios. El número de docentes varió entre uno y tres por taller. En siete talleres actuó solamente un docente (46%), en cuatro dos docentes (27%) y en los cuatro restantes tres docentes (27%). En total 21 docentes trabajaron en el programa, 16 (76%) lo hicieron en una oportunidad y 5 (24%) en dos oportunidades.
H. Lugar físico, facilidades para la docencia y ambiente general: todos los talleres se realizaron en el área de reuniones de Camdel, donde además sesiona la comisión directiva. Este ambiente, en el segundo piso del sanatorio, tiene ventanas al exterior y capacidad para 50 personas sentadas. El salón es confortable y puede cerrarse. Las sillas son cómodas, pero no tienen lugar para apoyar material. Existe una gran mesa al frente, y las proyecciones se realizan en pantalla o en la pared. Existe un pizarrón blanco pequeño en la pared del frente.
Fue necesario emplear diversos medios audiovisuales: retroproyector de transparencias, proyector de diapositivas y proyección mediante computadora (cañón). Este último debió ser alquilado varias veces hasta que finalmente se adquirió uno por parte de Camdel. No fue necesario emplear medios para amplificar la voz pues el local es pequeño y con buena acústica. Es necesario destacar esto por el costo de este material. Para la discusión en pequeños grupos había facilidades para que los grupos se separaran en diferentes ambientes u oficinas.
Por otra parte, se dispuso siempre de café e ingestas livianas para los intervalos y momentos de distensión. El almuerzo -salvo el de los docentes- fue por cuenta de cada concurrente. Muchos almorzaron en sus domicilios. Esto también es importante pues los almuerzos en común, si bien favorecen el intercambio y la permanencia en el lugar, aumentan significativamente los costos.
I. Costos: Camdel invirtió entre 20.000 y 25.000 pesos para solventar los costos de cada taller. Este dinero se distribuyó entre costo del material impreso (fotocopias y encuadernación o textos pequeños), gastos de correo y de envío del material de estudio, alquiler de instrumental audiovisual, café y alimentos livianos, almuerzos señalados, honorarios de los docentes, del coordinador y de una actividad de secretaría. Durante los dos años de funcionamiento de EMECAMDEL la institución empleó aproximadamente 345.000 pesos para sostener el programa. El valor de la inversión traducido en dólares estadounidenses, teniendo en cuenta las variaciones del tipo de cambio en cada período -antes y después de julio de 2002- fue de 22.000 dólares. La participación de cada concurrente a cada taller tuvo un costo de 821 pesos.
J. Tiempo: cada concurrente a los talleres empleó determinado tiempo para esta actividad educacional. El tiempo neto de actividad educacional de cada taller fue de 6 horas y 30 minutos. El tiempo para desplazarse hasta y desde el taller varió desde 15 minutos hasta más de dos horas según el área de residencia. El intervalo para el almuerzo fue de dos horas. El promedio de tiempo total utilizado por cada persona para cada taller a que concurrió fue aproximadamente de 10 horas, de las cuales 6:30 horas netas fueron para educación. Si estimamos que el tiempo empleado para estudiar el material científico enviado y contestar el cuestionario relativo al mismo puede haber sido de 10 horas, la estimación final suma 20 horas de tiempo empleado por cada persona y por cada taller y 16 horas de tiempo educacional neto. Teniendo en cuenta que concurrieron promedialmente 28 personas a 15 talleres, el tiempo educacional neto total sumó 6.720 horas. El tiempo educacional neto anual de un médico que concurrió a los 15 talleres fue de 120 horas, y el costo anual de esas 120 horas de educación fue 6.157 pesos.
Método
Se analizaron aspectos demográficos y profesionales de la población de médicos integrada al programa y su asiduidad. Consideramos integrados al programa a aquellos dentro de los convocados que concurrieron a más de un taller. Desechamos de esta consideración a los que asistieron solamente a un taller (13 personas) ya que el programa preveía una serie secuencial de talleres para un grupo dado de médicos. La población integrada resultó de 41 médicos. De ellos se estudió: sexo, años de ejercicio profesional (AEP) o "años de médico", lugar de residencia y de ejercicio de la medicina y especialidad. Se consideró como fecha de obtención del título de médico la que los concurrentes declararon en la lista de asistencia a los dos primeros talleres, y como especialidad la que escribieron en las mismas listas. El hecho de que el programa incluyera una serie secuencial de talleres para un mismo grupo permitió estudiar la asiduidad. Ésta se midió por la frecuencia de concurrencia a los talleres de los médicos integrados al programa. La concurrencia real del grupo total se expresó como un porcentaje de la posibilidad máxima de concurrencia. La posibilidad máxima de concurrencia se obtuvo multiplicando el número de médicos integrados a EMECAMDEL por el número de talleres: esto fue 41 por 15 = 615. Se hicieron subgrupos según varios criterios (hombres versus mujeres, médicos con menos de 11 años de ejercicio de la profesión versus médicos con 11 años o más, residentes en Minas versus residentes fuera de Minas) y se estudió si había alguna de estas características asociada a mayor asiduidad. Para ello se empleó la prueba de chi cuadrado en grupos que podían ser comparados.
Se investigó la adhesión a la tarea y la evaluación practicada por los concurrentes en relación a las actividades educacionales. La adhesión a la tarea se investigó a través de la frecuencia de lectura del material de estudio y del cumplimiento del cuestionario domiciliario.
El procedimiento empleado para obtener una base de datos que posibilitara estos análisis fue recoger prospectivamente los siguientes datos con los procedimientos que se señalan:
a) En cada taller se registró la concurrencia mediante firma en un lista previamente confeccionada. En los primeros talleres se registró, además, el año de obtención del título de médico, la especialidad o especialidades del concurrente y su lugar de residencia y ejercicio de la profesión. Estos datos se obtuvieron de la casi totalidad de médicos integrados al programa.
b) Al final de cada taller se entregó a los concurrentes un formulario de evaluación. Constaba de dos partes, una formal con preguntas predeterminadas que se referían a tres aspectos: 1) calidad del material de estudio enviado a domicilio, pertinencia de las historias clínicas, calidad de las exposiciones docentes y round clínico; 2) forma en que realizaron su trabajo: lectura del material de estudio, respuesta al cuestionario del mismo, discusión en pequeños grupos, sesiones de preguntas y respuestas con los docentes, y 3) balance que podían realizar en cuanto a la adquisición de conocimientos en ese taller. Otra parte fue más informal y espontánea y tenía preguntas totalmente abiertas como: "¿Desea usted agregar comentarios o sugerencias sobre cualquier aspecto de los talleres?" o "¿Qué agregaría o qué sacaría del programa de los talleres?". Estas evaluaciones fueron voluntarias y anónimas. Sin embargo, se les pidió a los concurrentes que hicieran un esfuerzo por contestar, comunicándoles que sus opiniones y respuestas eran de suma importancia para evaluar la calidad de la realización del proyecto y para mejorarlo de continuo. No en todos los formularios de evaluación se mantuvo la misma estructura, algunos contenían sólo parte de los tres ítems. En el caso de la evaluación formal, las posibilidades de respuesta se dividieron en cuatro gradaciones: actividad mala (o deficitaria), regular, buena (o adecuada) y muy buena. La evaluación mediante formularios se hizo en 13 talleres (86% del total). La devolución de formularios fue variable, y en todos los casos inferior al número inicial de concurrentes. Osciló entre la entrega del mismo por parte de 90% de los talleristas hasta su entrega solamente por parte de 25% (promedio de entrega 60%). Aunque en todos los talleres con evaluación se consideraron los resultados para esa oportunidad, sólo se conservaron -y estuvieron disponibles para el análisis practicado en este trabajo- las hojas de respuesta individual de diez talleres (66% del total de talleres y 77% de los talleres con evaluación). Los resultados comunicados a continuación corresponden a los datos extraídos de formularios de evaluación contestados recogidos y conservados, que suman 200.
Resultados
Población, asiduidad, adhesión a las tareas y evaluación
Caracteres demográficos y profesionales de la población. La población analizada está compuesta por 41 médicos que concurrieron a más de un taller. Veintisiete (66%) fueron de sexo femenino y 14 (34%) de sexo masculino. Treinta y uno (75%) residen y trabajan en la ciudad de Minas, mientras que 10 (25%) lo hacen en diversos pueblos o ciudades del departamento (Solís de Mataojo, Mariscala, Varela, Zapicán y Batlle y Ordóñez). En el grupo de 10 se incluyó un médico de Aiguá, que aunque no pertenecía a Camdel fue autorizado a concurrir. Asimismo un médico residente en Minas, extrainstitución, fue autorizado a concurrir, e integró el grupo de 31 (tabla 2).
Fecha de obtención del título de médico: este dato se obtuvo en 38 de 41 concurrentes. Dos personas (5,3%) lo obtuvieron entre 1960 y 1969; 9 (24%) entre 1970 y 1979; 15 (39,4%) entre 1980 y 1989, 10 (26%) entre 1990 y 1999 y 2 (5,3%) luego de 1999. La frecuencia de grupos etarios siguió esta misma distribución como era esperado. Ochenta y dos por ciento de los concurrentes, al comienzo del proyecto, habían ejercido la medicina por un período que se extendía desde 12 a 32 años (figura 1).
Especialidad: se consideró especialidad médica aquella obtenida a través de la EGFM y que los médicos escribieron en la hoja de asistencia y, además, desempeñaban en la institución. Este dato se obtuvo en 39 concurrentes: 23 (59%) ejercían medicina general y además una especialidad, 13 (33%) son sólo médicos generales, 2 (5%) ejercían sólo una especialidad y 1 médico (2,5%) dos especialidades (tabla 3). Las especialidades y el número de médicos que ejercía cada una de ellas pueden verse en la figura 2.
Asiduidad de concurrencia y factores relacionados a la misma. La concurrencia máxima a un taller fue de 37 personas y la mínima de 22. El promedio de concurrentes fue de 28. La evolución de la asiduidad en el tiempo mostró una línea de tendencia lentamente decreciente si consideramos los 15 eventos, pero dejando de lado los tres primeros, la línea de tendencia fue horizontal demostrando una estabilización de la concurrencia a partir del taller número 4 (figura 3). Como dato de interés puede observarse una concurrencia pico en los dos o tres talleres iniciales de cada año.
Cada médico concurrió en promedio a 10,7 talleres, sobre un máximo posible de 15, lo que correspondía a 71%.
Factores posiblemente asociados a la asiduidad de concurrencia. 1) Sexo: los médicos concurrieron en promedio a 10,6 talleres (70,6%) mientras las médicas lo hicieron a 10,8 talleres (72%). No hubo diferencia significativa por sexos. 2) Años de ejercicio de la profesión. Se desconocía este dato en tres concurrentes; restan 38 con AEP conocido. De ellos los que tenían entre uno y dos AEP concurrieron en promedio a cuatro talleres cada uno (26% del máximo posible); los que tenían entre tres y diez AEP concurrieron en promedio a 9,3 talleres cada uno (62%); los que tenían entre 11 y 20 AEP concurrieron a 12,3 talleres en promedio (82%); los que tenían entre 21 y 30 AEP concurrieron a 12,6 talleres en promedio (80%); y los que tenían más de 30 AEP concurrieron a 12 talleres en promedio (80%). Se investigó la asiduidad vinculada a los AEP. Para ello se sacaron de consideración a los médicos del grupo más joven pues sus integrantes habían obtenido el título cuando EMECAMDEL ya estaba en marcha y necesariamente estuvieron ausentes en los primeros talleres. Los restantes los dividimos en dos subgrupos: a) médicos con ejercicio de profesión entre tres y diez años y b) médicos con más de diez AEP. En cada subgrupo se determinó la concurrencia acumulada de sus integrantes. El grupo "a" resultó compuesto por seis profesionales que concurrieron a 56 talleres en total, pudiendo haber concurrido a un máximo de 90, mientras que en el grupo "b" hubo 30 médicos que concurrieron a 365 talleres, pudiendo haberlo hecho a un máximo de 450. La frecuencia de concurrencia acumulada de "a" versus "b" (62% versus 81%) presenta diferencia significativa: chi cuadrado: p = 0,000. 3) Lugar de residencia: excluyendo a los dos concurrentes que tenían entre uno y dos AEP, restan 39 personas para esta consideración. De ellas, 29 residían en Minas (lugar de los talleres) y 10 fuera de Minas. Los 29 residentes en Minas concurrieron en promedio a 10,1 talleres cada uno, mientras que los 10 residentes fuera de Minas concurrieron cada uno a 13,6 talleres en promedio. La concurrencia acumulada fue respectivamente: médicos procedentes de Minas, 294 veces sobre un total posible de 435; y médicos residentes fuera de Minas, 136 veces sobre un total posible de 150. La concurrencia de residentes en Minas versus no residentes (67,6% versus 90%) ofrece también una diferencia significativa: chi cuadrado p = 0,000 (figura 4). Para ver si el peso de los médicos jóvenes, con AEP entre tres y diez (todos residentes en Minas y poco asiduos) ponía un sesgo en el último resultado, retiramos este grupo (seis personas) y retiramos también a los tres doctores que ignoraban la fecha de obtención del título. Restó un grupo total de 30 personas, todos con AEP conocido y con más de 10 años del mismo: 20 de Minas y 10 de fuera de Minas. Los 20 de Minas concurrieron a 229 talleres pudiendo haberlo hecho a un máximo de 300, y en promedio cada uno se hizo presente en 11,5 talleres. Los 10 de fuera de Minas concurrieron a 134 talleres pudiendo haberlo hecho a un máximo de 150, y en promedio cada uno se hizo presente en 13,6 talleres. La diferencia en la frecuencia de concurrencia (76% versus 90%) igualmente fue significativa: p = 0,000.
Lectura del material enviado para estudio. De aquí en adelante los datos se extrajeron de las hojas de formularios de evaluación de calidad de la actividad educativa por los talleristas. Estuvieron diseñadas para respuesta anónima.
Al inicio se incluyeron tres preguntas sobre el cumplimiento de la lectura del material de estudio, las dificultades encontradas para ello y los motivos eventuales de no lectura. Las respuestas mostraron que en 94% de las oportunidades de respuesta, los concurrentes habían leído el material en sus domicilios y habían respondido a las preguntas de múltiple opción referentes al mismo que se enviaron. Lo leyeron parcialmente 2%; 4% no lo leyó. Las causas de lectura parcial y no lectura fueron, en dos médicos, dificultades con el material en inglés y en el tercero por "falta de tiempo".
Recordemos que en algunos casos un tercio del material enviado estaba en inglés. Se preguntó a 25 médicos por escrito si podían leer material en inglés: 37% respondió "sí", 20% " parcialmente" y 43% "no". A su vez, 90% de los que no podían leer en inglés respondieron que deseaban hacer un curso de inglés y 60% de los que lo leían " parcialmente" respondieron también afirmativamente. Con respecto a responder al cuestionario de conocimientos (múltiple opción), como ya se dijo, 94% contestó por escrito que lo había realizado, pero en la realidad la entrega de dicho cuestionario al entrar al taller fue hecha solamente por dos tercios de los concurrentes.
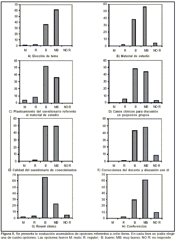
Evaluación escrita sobre calidad de la actividad educativa con cuatro tipos de opciones para respuesta: malo, regular, bueno, muy bueno, (o similares). Las preguntas se referían a elección del tema, material enviado para estudio, planteamiento del cuestionario para el domicilio, tipo de casos clínicos para discusión en pequeños grupos, dinámica de la discusión en pequeños grupos, la corrección hecha por el docente y el diálogo con ellos, el round clínico y las conferencias. Las respuestas a estos ítems pueden verse en las ocho gráficas de la figura 5. En todos los casos la calificación de bueno (o adecuado) y muy bueno (o muy adecuado) sumó aproximadamente 90%. Si tomamos muy bueno como un nivel de opinión de excelencia podemos ver que: las respuestas con muy bueno que alcanzaron o superaron 60% correspondieron a los ítems: elección de tema, material enviado para estudio y conferencias. Las respuestas que estuvieron entre 40% y 50% en muy bueno correspondieron a: planteamiento del cuestionario, planteamiento de los casos clínicos, y correcciones del docente. En referencia a roud clínico solamente 22% de las respuestas calificaron como muy bueno. La calificación de "regular" estuvo presente en los ocho ítems, pero en muy baja proporción: siempre inferior a 10% y en la mayoría de los casos 2%. Sólo en un ítem hubo una calificación de "malo" y alcanzó a 2% (figura 5).
Evaluación escrita abierta o espontánea. Los cuestionarios de evaluación considerados corresponden a 200 oportunidades de respuesta espontánea o sugerencias. Sólo hubo respuesta escrita en 31 oportunidades: 15%.
Podemos dividirla en tres tipos: sugerencias sobre funcionamiento y horarios, sugerencias sobre contenidos, y juicios de valor. Las transcripciones son prácticamente textuales.
Sugerencias sobre funcionamiento:
- Enviar el cuestionario por duplicado para poder conservar un ejemplar con las correcciones: 2.
- Respetar la hora de comienzo aunque haya pocos concurrentes (es preferible terminar más temprano): 3.
- Acortar el intervalo de mediodía para terminar más temprano, es demasiado largo (era de dos horas): 2.
- No enviar material de estudio en inglés. Lo lee solamente 30%: 5.
- Luego del almuerzo en lugar de conferencias realizar discusiones (evita el sueño): 2.
Sugerencias sobre contenidos:
- Desarrollar pautas escritas o protocolos luego de cada taller: 3.
- Pautar cuándo debe pasarse un paciente al especialista: 1.
- Informar sobre costos de los procedimientos de diagnóstico y tratamiento: 1.
- Evaluar qué paraclínica se puede hacer con los recursos locales: 1.
- Presentar más casos clínicos vividos por los talleristas y dialogar con los expertos sobre ellos: 5.
- No hacer aportes enciclopédicos en las conferencias porque resultan poco prácticos: 1.
Juicios de valor:
- Este es un aprendizaje que por su beneficio merece el apoyo de todo el cuerpo médico local: 1.
- Son muy buenos los talleres, agilizan nuestra mente: 1.
- Me han cambiado conceptos básicos que los tenía atrasados en cuanto a diagnóstico y tratamiento: 1.
- Sigan así ¡Gracias!: 1.
Evaluación subjetiva sobre cambios en los conocimientos. En tres talleres se preguntó -también formando parte del cuestionario- sobre qué opinaban los talleristas, al finalizar el taller, sobre la influencia que este había tenido en sus conocimientos o conceptos.
En 74 oportunidades hubo respuesta.
¿Recordó algún concepto que tenía olvidado? Sí, 21%.
¿Cambió algún concepto que tenía erróneo? Sí, 64%.
¿Incorporó algún concepto completamente nuevo? Sí, 69%.
Comentario
Existen pocas experiencias de EMC en Uruguay que sigan un cronograma establecido de sesiones correlativas, empleen regularmente múltiples métodos educativos entre los que predominan los interactivos, en que se realice evaluación múltiple y sistemática de la actividad (de conocimientos adquiridos al estudiar, de la forma y el contenido del evento, y de opinión sobre cambios en los conocimientos) y que hayan sido sujeto de publicación. Las actividades interactivas han sido demostradas como las que realmente pueden tener capacidad para cambiar las conductas médicas(12). EMECAMDEL es una de las primeras experiencias de este tipo que se publica en Uruguay, aunque tuvo un antecedente similar -no publicado- en el proyecto EDUMECO(13,14).
EMECAMDEL tiene algunas peculiaridades: se realiza dentro de una institución privada, para sus propios médicos, y los concurrentes pertenecen siempre al mismo grupo, con pequeñas variantes. Los médicos concurrentes no invirtieron dinero alguno en el programa propiamente dicho, sino que la institución realizó la inversión. A su vez, estimuló fuertemente la concurrencia de los profesionales que eligió para este programa, premiando la asistencia y penando la ausencia (salvo justificación). La respuesta del grupo elegido fue aceptable (68%) en cuanto a concurrencia, aunque la obligatoriedad impide juzgar la espontaneidad. La regularidad de concurrencia (asiduidad) luego de estabilizarse a partir del taller número 4 fue excelente. La asistencia fue mayor en los dos primeros talleres de cada año, marcando quizá la expectativa o curiosidad por el programa, o el hecho de que la mayoría hubiese descansado en los meses de verano. Concurrieron más asiduamente los médicos que habían obtenido su título hacía más de diez años, que aquellos más recientes, y también fueron más asiduos los residentes en pueblos o comunidades pequeñas que los residentes en Minas (con significación estadística). Esta significativa mayor asiduidad se mantuvo aun luego de sacar de consideración a los médicos con menos de 10 AEP (todos residentes en Minas), que podían sesgar el resultado por su menor concurrencia. Esta diferencia objetiva existió a pesar de que los no minuanos debían disponer de más tiempo y pagar el desplazamiento de hasta 100 kilómetros para concurrir. Las razones para la mayor asiduidad de los médicos residentes en ciudades o pueblos pequeños puede deberse a que habitualmente están más aislados y sintieron más fuertemente que tenían una oportunidad de incorporarse a un programa educativo. Posiblemente también existan otras razones. Los médicos jóvenes fueron significativamente menos asiduos que los de más edad, esto pudo deberse a que sintieron menos necesidad de participar de un programa educativo por tener muy reciente el período de enseñanza formativa de la Facultad. También pudo incidir el hecho de que debieran realizar tareas en día sábado en forma más frecuente que los otros. Algunos médicos jóvenes que cursan aún un posgrado dejaron de concurrir algunos días al taller por tener tareas específicas en Facultad. Las médicas duplicaron a los médicos en número, pero la asiduidad individual fue similar en personas de ambos sexos.
La adhesión a las tareas encomendadas fue elevada y sostenida. Más de 90% de los que respondieron cuestionarios de evaluación -en que esto se preguntaba- habían leído el material de estudio y contestado el cuestionario de conocimientos durante todo el desarrollo del programa. Esto tuvo algunas limitaciones por el hecho de que algunos materiales científicos tenían partes en inglés (aproximadamente 30%). Igual casi todos leyeron lo que podían leer. Expresó no poder leer inglés 43%, pero 90% de ellos manifestó deseos de aprenderlo. Existe también una falta de concordancia en la respuesta afirmativa de casi todos al ser preguntados sobre si habían respondido el cuestionario de conocimientos enviado al domicilio, con la entrega real del cuestionario contestado (esta fue de 66% a 75% del máximo posible). Esto podría deberse a que los que respondieron a las evaluaciones finales fueran los mismos que contestaban los cuestionarios de conocimientos y los entregaron, mientras que podría haber una coincidencia entre "no contestar el cuestionario de conocimientos" y "no contestar la evaluación final del taller". Es decir, habría un subgrupo "más motivado" que contesta, se queda hasta el final y evalúa y un subgrupo con características opuestas. Dado que estas actividades son anónimas no se puede confirmar esta hipótesis que, sin embargo, parece muy probable.
La evaluación del taller por los participantes se hizo mediante hojas de evaluación repartidas al final de las actividades. La proporción de talleristas que respondió los cuestionarios alcanzó en promedio a tres cuartos de los concurrentes, variando entre 90% y 25%. Posiblemente esta falta de respuesta en relación al número ingresado en la mañana a cada taller marque la deserción durante cada jornada de actividad o la necesidad de retirarse rápidamente una vez terminada la tarea educativa en sí. Podría interpretarse que los talleres más estimulantes retuvieron su público hasta el final (respuestas mayores a 90%) mientras otros menos estimulantes sufrieron una deserción superior a 50%.
La evaluación sobre aspectos formales, contenidos, exposiciones, y la propia actividad, fue muy positiva, ya que en casi todos los ítems consultados las respuestas alcanzaron consideraciones de "bueno o adecuado" o de "muy bueno". Estos dos tipos de opciones sumados oscilaron entre 80% y 90% de las opiniones. Si consideramos la opción "muy bueno" como una marca de calidad es de señalar que esta calificación superó 60% de las opiniones en cuanto a adecuación del material de estudio, elección de los temas para los talleres y calidad de las conferencias. El trabajo propio en pequeños grupos fue considerado principalmente como "bueno" y no "muy bueno", y hasta 15% señaló que había intervenido "poco" en él. En cuanto a las preguntas para respuesta abierta, los talleristas las utilizaron para responder o sugerir en un séptimo de los casos en que esto era posible. Estas opiniones espontáneas se refirieron a: 1) aspectos de forma o funcionamiento de los talleres, b) contenidos temáticos, c) juicios de valor sobre los talleres. Es de destacar el fuerte deseo de los participantes de que se incrementara el diálogo entre talleristas y docentes en referencia a casos clínicos, y particularmente acerca de problemas concretos vividos por los médicos. Reiteradamente se refirieron al idioma del material: varias personas solicitaron no utilizar material en inglés. Esto se explica porque casi la mitad no lee inglés, pero a su vez casi todos se mostraron dispuestos a aprenderlo, lo que fue muy estimulante para los organizadores. Al respecto consideramos que no se debe cejar y bregar por incrementar la cultura de todo nuestro cuerpo médico en forma progresiva. Herramientas culturales y educativas importantísimas actualmente, como el manejo de más de un idioma y el aprendizaje del empleo de métodos informáticos, deben de ser estimuladas.
Los intereses más marcados de los concurrentes fueron:
- discutir casos clínicos,
- racionalizar la paraclínica,
- pautar las terapéuticas de las enfermedades más comunes,
- emplear al máximo los recursos locales para el estudio de los pacientes,
- deslindar el campo de trabajo del generalista y del especialista. Esto tradujo no solamente un interés profesional práctico, sino la existencia de problemas laborales derivados de ello. También reafirma nuestra impresión de que existe la necesidad de estudiar y sistematizar más en todo el país los campos de actividad respectivos.
Se exploró sobre los posibles cambios en los conocimientos motivados por los talleres. Aun considerando la gran limitación de este juicio, dada su subjetividad, es importante destacar que más de 60% de los concurrentes consideraron que habían adquirido al menos un nuevo concepto en cada taller, una cantidad similar consideró que habían corregido al menos un concepto erróneo, mientras sólo 25% consideró que había recordado con precisión conocimientos que tenía algo olvidados. En todos los casos en cada taller.
La colaboración de los docentes fue importantísima, no sólo por su calidad profesional sino por el tipo de relación con los concurrentes y su disposición al diálogo llano. La casi totalidad respetó el pedido de la coordinación de abstenerse totalmente de intervenir durante la discusión en pequeños grupos. Los docentes fueron casi todos especialistas. Esto que inicialmente no fue buscado en forma expresa dio un resultado excelente, pues en la mayor parte de los casos una persona de gran experiencia y firmes conocimientos en un área acotada transmitió al médico clínico generalista conceptos seleccionados de patología frecuente, sencillos pero esenciales, y con una fundamentación profunda. Aprovechando esta circunstancia en varios talleres se conversó acerca del área del generalista y del especialista en una misma enfermedad, y en el flujo sano de consultas "de ida y vuelta". ¿Cuándo enviar al especialista? ¿Cuándo enviar para exámenes o tratamientos especializados? Fueron temas solicitados por los talleristas y tratados en los talleres.
Una carencia manifiesta o debilidad importante del programa fue la ausencia de un método de evaluación estructurado y objetivo (prospectivo y controlado) para medir posibles cambios -vinculados con la realización de EMECAMDEL- ocurridos en el trabajo profesional, en la asistencia a los pacientes, en el manejo de los estudios diagnósticos y en la realización de la terapéutica médica. Un método de este tipo es difícil de instrumentar, pero posiblemente sea el único medio de demostrar qué programas de EMC benefician realmente al destinatario final de los mismos: el paciente. Si el programa puede continuar, en los años próximos se intentará instrumentar una herramienta de evaluación de este tipo. En una comunicación reciente(12) se menciona que en un análisis exhaustivo de la literatura publicada sobre educación médica, sólo se recogen -hasta 1999- 24 publicaciones en que se evalúa en forma prospectiva, controlada y randomizada el fruto de programas de EMC. La mayoría de las mismas han sido realizadas en Canadá, Estados Unidos y Francia. Toda evaluación valedera en el campo de la EMC debe incluir necesariamente la búsqueda de cambios objetivos de la conducta de los médicos o de cambios en la evolución final de los pacientes.
Esta primera fase de EMECAMDEL debió interrumpirse a causa de los problemas económicos que afectan al país y a las instituciones de salud en general, pero existe el propósito (de la institución, de los concurrentes y del coordinador) de reelaborar el modo de funcionamiento y recomenzarlo en el año 2003 bajo condiciones posibles.
Summary
During 2001 and 2002 a Continuing Medical Education program took place in the Cooperativa Médica of Minas (Lavalleja, Uruguay), EMECAMDEL, addressed to practitioners and emergency surgeons. The methodology included at least 50% of interactive ways. Fifteen workshops (8 in 2001 and 7 in 2002) of 6 and a half hours were organised, preceded by papers (of 60 pages each) and a multiple choice questionnaire to assess knowledge and readings sent to each participant. Most teachers were professors of the Faculty of Medicine. Forty-one surgeons attended the program, two thirds were women. Each workshop, on average, was done by 28 people (68%). Participants were mainly from Minas (75%). Surgeons with 12 year-experience and coming from outside Minas recorded higher attendance. Papers sent to participants were read and answered by 90% of the practitioners. The formal assessment showed a positive response about the papers and the issues selected. Although workgroups, clinical rounds and dialogues found favorable reception, other activities were better scored. Participants suggested the importance of discussing case reports with the professors, determination of therapeutic directives and guidelines to indicate paraclinical tests. They also emphasized their wish to undertake more interactive activities and to optimize facilities related to laboratory and therapeutic work. The project costed U$S 22 000 for more than 100 annual hours for each participant. No objective assessment was done in relation to EMECAMDEL on surgeon achievement or every day practice. EMECAMDEL result was satisfactory, even considering the lack of assessment on changes of medical practice.
Résumé
Pendant les années 2001-2002, à la Coopérative Médicale de la ville de Minas (département de Lavalleja) on a mis en place un programme d'éducation médicale continue appelé EMECAMDEL. Il était adressé surtout aux médecins généralistes et d'urgence. Les méthodes éducationnelles utilisées étaient du type interactives pour 50% du temps. 15 ateliers ont eu lieu (dont 8 en 2001 et 7 en 2002) d'une durée d'activité éducative nette de 6 heures 30 minutes chacun. Avant chaque atelier on avait envoyé du matériel à étudier à domicile (60 pages à chaque fois environ) et un questionnaire à choix multiple afin d'évaluer la lecture du matériel et les connaissances. Les professeurs étaient des techniciens expérimentés dont la plupart des professeurs de la Faculté de Médecine. 41 médecins ont participé aux ateliers, dont 2/3 étaient des femmes. L'assistance moyenne à chaque atelier a été de 28 personnes (68%). Parmi les assistants, 75% habitait à Minas. La plus grande assiduité s'est donnée parmi les médecins ayant plus de 12 ans de profession et parmi les résidents d'ailleurs. L' accomplisse-ment des tâches a été bon, plus de 90% des assistants enquêtés avait lu le matériel à domicile et répondu au questionnaire. L'évaluation formelle de la part des assistants a montré une très bonne opinion en ce qui concerne le choix des thèmes, le matériel envoyé pour étudier et les conférences. L'acceptation du travail en équipes, des rounds cliniques et des dialogues a été bonne quoiqu'inférieure aux autres activités. En ce qui concerne les suggestions libres des assistants, on a remarqué le souhait d'avoir plus d'échanges avec les professeurs sur les cas cliniques, ainsi que celui de créer des paramètres thérapeutiques et de faire des guides pour l'indication d'examens paracliniques. Les assistants ont exprimé leur souhait de réaliser davantage d'activités interactives et d'utiliser au maximum les ressources locales en ce qui concerne les analyses de laboratoire et thérapeutique. Le coût total du projet a été estimé en 22.000 dollars américains et le temps éducatif de chaque concurrant en 100 heures annuelles environ. L'évaluation objective de l'influence de EMECAMDEL sur la performance des médecins dans leur pratique quotidienne ou sur l'évolution des patients n'a pas été faite. On envisage la faire dans l'avenir. Le résultat en a été satisfaisant, même s'il y a des limitations en ce qui concerne l'évaluation des changements.
Agradecimientos
Al grupo de Educación Médica Continua de la Escuela de Graduados de la Facultad de Medicina por haber sentado las bases de este tipo de enseñanza en Uruguay; a las autoridades de Camdel por haber comprendido que la educación continua es un pilar básico de la buena asistencia y haber tenido la iniciativa de realizar una inversión en esta empresa; a los docentes que participaron con entusiasmo y dedicación mucho más allá de su remuneración; a Cecilia Buroni por su ayuda en las tareas de secretaría.
Bibliografía
1. Niski Rosa. Educación Médica Continua-Educación Médica Permanente. ¿Es sólo una cuestión semántica? Resumen del trabajo de E C de Otero Ribeiro y JI Jardín Motta. In: Médicos para la Salud. OMS. 1996. Cuad Med Int 1999: 3-5.
2. Knowles MS. The Adult Learning. In: Craig RL. The ASTD Training and Development Handbook: A guide to Human Resources Development. 4th ed. New York: McGraw-Hill, 1996.
3. Peck C, McCall M, McLaren B, Rotem T. Continuos medical education and continuing professional development: international comparaisons. [Artículo en línea]. BMJ 2000.
4. Yaman Hakan. Continuing Medical Education in Turkey: efforts of the Turkish Medical Association. [Artículo en línea]. BMC Medical Education 2002; 2: 6. http://www.biomedcentral.com/1472-6920/2/6.
5. Larre Borges U y Grupo de Trabajo Honorario para la Educación Médica Continua de la Escuela de Graduados de la Facultad de Medicina; Universidad de la Republica. Educación Médica Continua, Documento Nº 1: La Escuela de Graduados y la Educación Médica Continua. Montevideo: Escuela de Graduados, 1995. [Corrección marzo 2002].
6. Petruccelli D, Bonilla C, Amoza B, Ríos G. Educación Médica Continua. Documento Nº 2 Resumen: Fundamentos y Propuesta de Actividades para el Trienio 96-98. Montevideo: Escuela de Graduados, 1996 [Corrección marzo 2002].
7. Petruccelli D, Amoza B, Ríos G. Educación Médica Continua. Documento Nº 3 Resumen: Propuesta de Acciones para Avanzar hacia un Sistema de Educación Médica Continua. Montevideo: Escuela de Graduados, 1997. [Corrección marzo 2002].
8. Petruccelli D, Fosman E, Niski R, Ruso L, Feo F, Ríos G.
Educación Médica Continua. Documento Nº 4 Resumen: Propuesta de Pautas de Acreditación de Instituciones y Actividades de Educación Médica Continua. Montevideo: Escuela de Graduados, 1998. [Corrección marzo 2002].
9. Petruccelli D, Bonilla C, Fosman E, Ríos G. Educación Médica Continua. Documento Nº 5 Resumen: Propuesta para la Organización de un sistema Nacional de Educación Médica Continua. Montevideo: Escuela de Graduados, 1995. [Corrección marzo 2002].
10. Escuela de Graduados. Facultad de Medicina (Uruguay). A propósito de la Educación Médica permanente. Documento Nº 6. Montevideo: Escuela de Graduados, 2001. [Actualizado marzo 2002].
11. Varela A, Ferrari AM, Mogni I, Díaz B, Torres J. Segundo Acuerdo Marco (Sobre Educación Médica Continua). Reafirmación de sus bases. Suscrito por: Varela Alfonso (MSP), Ferrari Ana María (FM), Mogni Italo (FEMI), Díaz Barret (SMU), Torres Jorge (EGFM). Montevideo, 2002.
12. Davis D, O'Brien MA, Freemantle N, Wolf FM, Mazmanian P, Taylor-Vaisey A. Impact of formal continuing medical education. JAMA 1999; 282(9): 867-74.
13. Correa H. Educación Médica Continua. Sanatorio Americano FEMI. Montevideo: Sanatorio Americano. Anuario 1999: 68-74.
14. Correa H. Programa de Educación Médica Continua. Cuadernos del Americano (Uruguay) 1999; 3: 31.











Curriculum ScienTI

