Introduction
The nutritional status of plants greatly influences the partition of carbohydrates and dry matter between different plant structures, and it is an important factor in producing high quality seeds (Sawan, 2013). Under certain environmental conditions, such as excessive rainfall and high nutrient availability, the structure of plant stalk does not support the increase in the dry matter of the plant during the period of seed formation, consequently causing plant lodging (Chastain et al., 2014).
Compounds known as growth regulators are used to minimize the effect of plant lodging, seeking to increase the resistance to this physiological disorder (Matysiak, 2006). In wheat, the growth regulator trinexapac-ethyl has shown satisfactory results in reducing plant height (Espíndula et al., 2009).Trinexapac-ethyl acts in plants by altering the balance among gibberellins, reducing cell elongation in the vegetative stage by obstructing the biosynthesis of gibberellic acid (GA1) through the inhibition of the 3 â-hydroxylase enzyme (Nakayama et al., 1990). Reduction in gibberellin levels causes a reduction in plant growth due to the fact that the gibberellins are responsible for cell division and elongation (Taiz & Zeiger, 2010).
These synthetic substances perform similar actions as plant hormones (Chorbadjian, Bonello & Herms, 2011) and act promoting, inhibiting or modifying physiological and morphological processes of plants (Taiz & Zeiger, 2010). However, there are few studies reporting changes in the physiological processes related to plant performance due to growth regulator use.
The growth analysis is a low-cost, precise, quantitative method used to evaluate plant growth through a period of time, considering different environmental and management conditions. In this way, growth analysis allows inferring on the different physiological processes related to the characterization of plant performance and the interpretation and evaluation of the primary production (Lopes & Lima, 2015). The objective of this work was to evaluate the influence of the application of the growth regulator trinexapac-ethyl on the growth of the plants, assimilate partition, and vigor expression of wheat seeds produced.
Materials and methods
The study was performed in Capão do Leão, in the state of Rio Grande do Sul, Brazil (31º 52’ S; 52º 21’ W, altitude de 13 m), in a polycarbonate greenhouse, the main axis in NàS direction. The climate of the region, according to the Köppen classification is Cfa type, with well distributed rains and a warm summer.
Wheat seeds of the cultivar OR Topázio were used, suitable for all the wheat growing regions of Rio Grande do Sul and Paraná, with plant height of 80 cm and semi upright growing habit. Sowing was performed on June 27, 2014, in polyethylene pots with an individual capacity of 12 liters, containing substrate of horizon A1 soil of a Albaqualf (USDA, 1999), with chemical and physical characteristics of pH (H2O): 5.1; P: 121.2 mg dm-3; K: 123 mg dm-3; Ca: 2.7 cmolc dm-3; Mg: 0.9 cmolc dm-3; Al: 0.2 cmolc dm-3; B: 0.3 mg dm-3; Cu: 5.6 mg dm-3; Zn: 2.2 mg dm-3; Mn: 9 mg dm-3; CTC: 8.1 cmolc dm-3; bases saturation: 52 %; organic matter: 1.8 %; clay 17 %.
Fertilization was performed according to the recommendations of the Fertilization and Liming Manual of the states of Rio Grande do Sul and Santa Catarina (Comissão de Química e Fertilidade do Solo, 2004), and the soil was corrected to comply with the expectation of production of 5 Mg ha-1. Phosphate and potassium fertilization was incorporated to the soil pre-sowing, consisting of 0.023 and 0.015 kg m3 of phosphorus and potassium, respectively, using super triple phosphate (41 % P2O5) and potassium chloride (58 % K2O) as a source. Nitrogen fertilization consisted of 0.010 kg m3 of nitrogen incorporated into the soil at sowing, and 0.050 kg m3 of nitrogen on the coverage, at the beginning of tillering, 30 days after sowing, using urea (45 % of N).
Four plants were used per pot, and the experimental design was completely randomized, with four repetitions. Treatments consisted of the combination of five rates of the plant growth regulator trinexapac-ethyl [0-no application (T1); 200 (T2); 400 (T3); 600 (T4) e 800 (T5) m L of the comercial product (p.c) ha-1] and eight times of plant sampling [14, 28, 42, 56, 70, 84, 98 and 112 days after emergence (DAE) ].
The plant growth regulator used for the experiment was trinexapac-ethyl, commercially known as Moddus® «{ethyl 4-cyclopropyl(hydroxy)methylene-3,5-dioxocyclohexanecarboxylate »}. The application was performed 41 days after emergence, when plants were in elongation, between the first and the second visible nod, corresponding to the stage 6 on the Feeks and Large scale (Large, 1954). Leaves were sprayed using a pressurized boom sprayer with CO2 and tips type range (110-020), with a volume of syrup of 150 L ha-1.
Evaluations were performed through successive plant sampling at regular intervals of fourteen days after emergence, during all the developmental plant cycle. Stem height was measured from the ground level to the superior extremity of the stalk (base of the spike) with the help of a metric ribbon. The results were expressed in millimeters. Next, the plants were separated in different organs of the aerial part (leaves, stalks, and reproductive structures when present), and roots.
In order to determine the leaf area (La) Licor LI-3100 measurer was used, and the results were expressed in m2. For the dry matter quantification, different parts of the plant were dried in a forced circulation oven at 70 + 2 ºC, until constant weight.
The leaf area index (LAI) was calculated by the formula: LAI = La/ St, where St stands for superficial area of the pot occupied by the plant (Lopes & Lima, 2015). Primary data of the total dry matter accumulated (Wt) were adjusted by the simple logistic equation Wt= Wm/(1+Ae-Bt), in which Wm is the asymptotic estimate of the maximum growth; «A» and «B», constant adjustments; «e», the natural basis of the Neperian logarithm, and «t», time in days after emergence (Richards, 1969).
Primary data of leaf area (La), of leaf dry matter (Wl), stalk (Ws), roots (Wr) and spike (Wspi) were adjusted through orthogonal polynomials (Richards, 1969). The values of the total dry matter production rate (Ct) were obtained through time derivatives of the adjusted equations of total dry matter (Wt) (Radford, 1967). To determine the instant values of the relative net assimilation rate (Rw), the following equation was used: Rw = 1/Wt.dw/dt, and the instantaneous values of the net assimilation rate (Ea), leaf area ratio (Fa) and specific leaf weight (Fw) were estimated through the equations: Ea = 1/ La.dw/dt; Fa = La/Wt; Fw = Wl/Wt; according to Radford (1967).
The harvest index (HI) was determined by the equation HI = Ws/Wt. where Ws corresponds to the dry matter of the seeds and Wt to the total dry matter of the plant. The efficiency of the conversion of solar energy (ε) was determined by the equation ε = (100.Ct.δ)/Ra, where Ra stands for the average incident value of solar radiation (cal m-2 dia-1) fourteen days prior to Ct correspondent and δ calorific value of 4421.61 cal g-1 according to Demirbas (2003).
The emergence of the seedlings test was performed with seeds produced by plants subjected to each rate of the plant regulator, through the use of four samples, each one composed of four subsamples of 50 seeds per treatment, disposed to germinate in black polyethylene trays containing soil previously characterized in a greenhouse environment. The emergence speed index of the seedlings was determined by the daily counting of the number of seedlings emerged (Nakagawa, 1994).
The temperature was obtained with the use of a mercury thermometer of maximum and minimum, installed 1.5 meters above the ground, located in the center of the greenhouse. Solar radiation data was obtained through the climatological newsletter of the agro-meteorological station of Pelotas on 2014, located 100 meters from the place where the study took place using a 37 % decrease correction factor (Figures 1a and 1b). The correction factor was determined from the difference between the solar radiation incident on the canopy of the plants inside the greenhouse and solar radiation values outside.



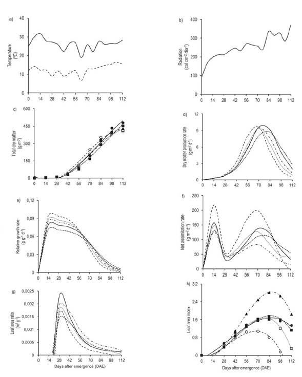
Figure 1 Maximum ( ) and minimum temperatures ( ) (a), solar radiation (b), total dry matter (c), dry matter production rate (d), relative growth rate (e), net assimilation rate (f), leaf area ratio (g) and leaf area index (h) of wheat plants (Triticum aestivum L.) subjected to rates of application of the growth regulator trinexapac-ethyl. Where T1 = noapplication ( ), T2 = 200 mL ha-1 (- - - -), T3 = 400 mL ha-1 (- - - - -), T4 = 600 mL ha-1 (·········) and T5 = 800 mL ha-1 (- · - ). Capão do Leão, Brazil, 2015.
Data referring to plant height, harvest index, emergence, and seedlings emergence speed index were subjected to variance analysis and, if significant to 5 % of the probability by the test F, adjusted by orthogonal polynomials. Primary data of the total dry matter, leaf area, dry matter, dry matter of the stem, roots, and stalk were subjected to variation analysis. Data of growth were analyzed by the simple logistic equation, due to the fact that they do not comply with the basic assumptions of the analysis of variance (Lopes & Lima, 2015).
Results and Discussion
The results for the emergence and emergence speed index of the seedlings produced by plants subjected to the growth regulator were not considered significant at 5 % by the test F. The means of maximum and minimum temperatura through the plant development were of 26 and 12 °C, respectively (Figure 1a). Solar radiation presented a growing tendency through the plant cycle, reaching a maximum of 370.86 cal cm-2 day-1 on the 112 days after emergence of the seedlings (Figure 1b).
On the five treatments, the total dry matter (Wt) of the wheat plants adjusted to the logistic tendency with a high coefficient of determination (Table 1), with more pronounced effects at the end of the cycle of plant development under the effect of T2 and T4 comparatively to the plants that were not subjected to application of the product (T1) (Figure 1c).

Table 1 Equations related to data of the total dry matter, leaf area index and length of the main stalk of wheat produced under fertilization for high productivity and rates of the growth regulator. Capão do Leão, Brazil, 2015.
Initially, the plants under all the treatments had a phase of slow growth until the 42 DAE, which was followed by a phase of intense growth, in which plants of T2 the values of Wt were superior to those in T1 at 56 days after emergence (DAE). However, a reduction of 70.48 g m2 (15 %), 67.47 g m2 (14 %), 50.23 g m2 (10 %) and 26.78 g m2 (6 %) in the allocation of the carbon in plants was observed under the effect of T4, T2, T5 and T3, respectively, in comparison to those without application (T1), at 112 DAE.
The low growth in the initial phase (42 DAE) is related to the low absorption of water and nutrients, the smaller leaf area, and the reduced rates of respiration and net assimilation (Monteith, 1969). However, the lower values of Wt, on the 112 DAE, in plants under the effect of the growth regulator, can be explained partially by the action of the product in the reduction of the gibberellins synthesis, which is responsable for the cell division and elongation (Taiz & Zeiger, 2010).
The dry matter production rates (Ct) were low until the 42 DAE, corroborating the low production of total dry matter in such period (Figure 1d). The maximum rates of dry matter production were 75, 67, 80 and 70 DAE for plants subjected to T1, T2, T3, T4 and T5. Plants subjected to T2 anticipated the obtainment of the maximum Ct in comparison to the others, while plants T3 obtained the minor values of Ct and delay in obtaining. Therefore, there was a temporal-quantitative difference in the rates of production of dry matter by the plants subjected to different rates of the growth regulator, demonstrating an alteration in the quantity of dry matter produced per unit of area and time.
The temporal-quantitative difference of Ct observed in the treatments with application of trinexapac-ethyl can be related to the temporal inhibition or reduction of the growth rates in plants, as a result of the action of the growth regulator, due to the reduction in the levels of gibberellins, responsible for the division and cell elongation (Taiz & Zeiger, 2010).
Relative growth rates (Rw) were maximum at 14 DAE, with a further systematic tendency of decline until the end of the development cycle of the wheat plants (Figure 1e). It is possible to verify that plants exposed to T2, T4 and T5 showed a higher capacity of increase of the dry matter in relation to the pre-existent one, compared to the plants subjected to T3 and T1, respectively. Plants of T2, T4, and T5 presented superiority in the order 16, 10 and 6 %, in comparison to plants of T1. However, plants subjected to T3 overlapped to plants on the other treatments from 70 DAE on, showing a quantitative inversion and the superiority of Rw until the end of the cultivation cycle (112 DAE).
At the beginning of the developmental cycle, higher relative growth rates are expected due to the fact that the biggest part of the leaf area of the plant is constituted by young leaves, with a high photosynthetic capacity and high growth rate (Aumonde et al., 2011). In another way, the decrease of Rw is related to the gradual increase of the non-photosynthetic tissues, due to the elevation of the respiratory activity and the auto shading (Pedó et al., 2015).
The net assimilation rate (Ea), as expected, presented two peaks of maximum production of assimilates through the ontogeny of plants (Figure 1f). In plants under all the treatments, the major Ea occurred at 14 DAE, where the first peak of Ea, at the beginning of the development cycle, occurred due to the elevated quantity of young leaves with highphotosynthesis capacity. On the other hand, the second peak of Ea is due to the appearance of the reproductive organs and seeds, preferential metabolic sinks with a high mobilizing capacity of assimilate.
The second peak of Ea evidently shows the effect of the growth regulator. Plants under the effect of T1 presented the second peak at 73 DAE and plants under the action of T2, T3, T4 and T5 at 67, 78, 69 and 70 DAE, respectively. Application of the growth regulator reduced the values of Ea in 7, 19 and 59 %, for plants subjected to T4, T3 and T5 in comparison to plants with no application of the regulator. Similar results of Ea were obtained when studying the effect of salinity in bare plants (Silva et al., 2007), when comparing rice genotypes (Falqueto et al., 2009) and when evaluating the effect of waterlogging in rye (Pedó et al., 2015).
Leaf area ratio (Fa) reached its highest levels at the beginning of the development cycle in wheat plants (Figure 1g), where plants of all treatments reached higher values of Fa approximately at 30 DAE. Plants subjected to T1 reached a Fa maximum of 0.0023 m2 g-1, followed by plants subjected to T5 with 0.0014 m2 g-1, T4 with 0.0018 m2 g-1, T2 with 0.0016 m2 g-1, and T3 with 0.0014 m2 g-1. However, from 42 DAE on, plants under the effect of T5 presented higher values of Fa in comparison to the others. It is possible to verify that the application of the growth regulator provided a temporal-quantitative change in Fa positively in plants under the action of the highest rate (T5) and negatively on those under the effect of T2.
The highest values of Fa at the beginning of the development cycle are due to the fact that most assimilates originated from photosynthesis are directed to the formation of leaves (Aumonde et al., 2011). Leaves were the preferential metabolic sinks in this period (Silva et al., 2007). In contrast, the decrease of Fa during the plant´s cycle can be explained by the gradual increase of non-assimilatory tissues and by the formation of reproductive structures, which constitute the preferential metabolic sink (Pedó et al., 2013).
The leaf area index (LAI) was obtained with a high determination coefficient (Table 1) for all treatments. The máximum values of LAI were reached at 70 DAE for plants subjected to T2 and T4 and at 84 DAE for the other treatments (Figure 1h). Quantitative alteration of the values of LAI was verified for plants under different treatments, where plants on T5 reached the highest values of LAI (2.81), followed by plants of T3 (1.73), T4 (1.63), T1 (1.61) and T2 (1.08), configuring a reduction when compared to the plants on T5 of 38, 42, 57 and 62 %, respectively. It is possible to observe that the application of the growth regulator trinexapac-ethyl had a positive influence on the LAI, providing an increase in the soil area occupied by leaves.
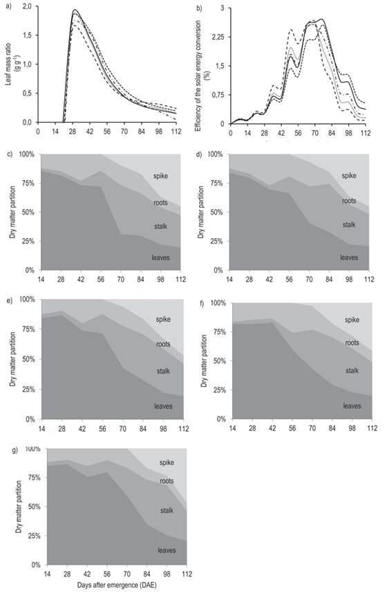
The leaf mass ratio (Fw) was higher at the beginning of the development cycle (Figure 2a). The higher values of Fw occurred at 31 DAE and were obtained from plants subjected to the rates established in T1, T4, T3, T5 and T2, respectively. Nevertheless, from 42 DAE on, the plants under the effect of T3 and T5 were superior to plants under T1. Therefore, the higher rate of the growth regulator favored a higher allocation of dry matter in leaves of these plants in comparison to those in T1.

Figure 2 Leaf mass ratio (a), efficiency of the solar energy conversion (b) of wheat plants (Triticum aestivum L.) exposed to the application of trinexapac-ethyl, where: T1 = no application ( ), T2 = 200 mL ha-1 (- - - -), T3 = 400 mL ha-1 (- - - -), T4 = 600 mL ha-1 (·····) and T5 = 800 mL ha-1 (- · -). And the dry matter partition in different structures of the wheat plants (Triticum aestivum L.) exposed to the application of trinexapac-ethyl, where T1 = no application (c). T2 = 200 mL ha-1 (d), T3 = 400 mL ha-1 (e), T4 = 600 mL ha-1 (f) and T5 = 800 mL ha-1 (g). Capão do Leão, Brazil, 2015.
The increase of Fw at the beginning of the development cycle reflects the higher allocation of assimilates to the leaves in development, pointing this as the preferential metabolic sink. On the other hand, the reduction of Fw throughout the plant cycle is related to the modification of the preferential metabolic sink to the stalk. Furthermore, with the beginning of the formation of the spike, there is another change in the preferential use of assimilates, directed to this part in a sharp and definite way (Lopes & Lima, 2015).
Efficiency of solar energy conversion (î) presented a differenced response between plants under different treatments, where the maximum was reached at 77 DAE for plants in T1 and T5, and at 70 DAE for plants under the other treatments (Figure 1b). The maximum values were of 2.67 % for plants on T1, 2.63 % for those on T2, 2.55 % for plants on T3, and on T5, of 2.54 % for those on T4. The increase mentioned for î corroborates the tendency observed for Ct (Figure 1d) and for solar radiation (Figure 1b).
Analyzing the distribution of assimilates in plants on T1, it is noticed that until 56 DAE, the leaves formed structures responsible for the highest allocation of assimilates, followed by the roots (Figure 2c). From 56 DAE onwards, it was observed a marked reduction in the allocation of assimilates in leaves and roots, occurring an alteration on the main metabolic sink, prioritizing the stalks, spikes, and seeds respectively.
Plants under the effect of T5 remained superior to the others in relation to the allocation of assimilates to the leaves at 56 DAE, where the leaves´ dry matter quantity in plants on T5 was superior in the order 9, 17; 10 and 25 % in relation to the plants on T1, T2, T3 and T4. From 42 DAE onwards, the accumulation of assimilates on the stalk of the plants on T5 presented additions to those in plants under the other treatments (Figure 2c, 2d, 2e, 2f and 2g). Direct of assimilates to the stalks was altered at 84 DAE in plants exposed to T5, whereas plants subjected to T1, T2, T3 and T4 suffered a change of the carbon partitions to the spikes earlier, at 70 DAE.
The delay on the re-direction of assimilates to the spikes of plants exposed to a higher rate (T5), can be the result of a more pronounced effect of the growth regulator in the reduction of the elongation of the stalk, result that can be observed by the lower stalk height (Figure 3a). Besides that, to the larger period of prioritization of the leaves compared to the spikes, as to the investment of assimilates (Figure 2a and 2g).
The height of the main stalk was similar between plants on different treatments until 56 DAE, due to the fact that the growth regulator was not applied until the referred moment (Figure 3a). From 70 DAE onwards, a larger elongation of the stalk of the plants occurred in T1, when compared to the ones on the other treatments. Regarding plants on T1, at 70 DAE, there was a reduction of 8, 21, 27 and of 35 % on the height of the stalk of the plants T2, T3, T4, and T5, respectively. The effect of the usage of the growth regulator on the height of the stalk was kept until the end of the development cycle of the crop, at 112 DAE, and regarding T1, there was a reduction of the stalk in 3 % in plants T3; 14 % in plants T4 and 15 % in plants T5.

Figure 3 Height of stalk (a), where T1 ( ), T2 (- - -), T3 (- - -), T4 (· · · ·) and T5 (- · -), and harvest index (b), of wheat plants (Triticum aestivum L.) subjected to rates of the application of the growth regulator trinexapac-ethyl. Capão do Leão, Brazil, 2015.
The decrease of the height of the stalk in wheat plants subjected to the application of trinexapac-ethyl is due to reduction of the cell elongation on the vegetative stage by the obstruction of the biosynthesis rate route of the gibberellic acid (Nakayama et al., 1990) and due to the relevant increase in its biosynthetic immediate precursor, GA20 (Heckman et al., 2002). Similar results of reduced stalk length by the application of trinexapac-ethyl were verified by Borm & Van den Berg (2008) and Rolston et al. (2010) in perennial ryegrass (Lolium perenne L.).
The harvest index (HI) was adjusted to the quadratic model, with a coefficient of correlation of 0.85 (Table 1). There were similarities in the values of HI until treatment T3, indicating larger carbon allocation in the seeds in relation to the total dry matter of the plants until this rate, following the tendency of reduction until the higher rate used (Figure 3b). The tendency of reduction of the harvest index from treatment T4 was related to the lower carbon allocation on seeds, caused by the delay of the second peak of Ea (Figure 1f) and consequently the lower production of the compounds. Elevated rates, generally above the recommended for the crop (400 to 500 mL ha-1), are harmful to the yield of wheat seeds.
Generally speaking, the total dry matter at the end of the development cycle and the relative growth rate of wheat plants were reduced with a variable effect according to the growth regulator rates. On the other hand, the leaf area and mass rates were favored by the application of trinexapac-ethyl. However, the application of the growth regulator did not influence the wheat seedlings emergence originated by seeds formed from plants under the action of such product.
Conclusions
Wheat plants under different doses of the growth regulator present different responses on growth and on assimilates partition among their plant structures. Plants under the effect of the growth regulator application have a lower relative growth rate, with more pronounced effects when applied 200 mL ha-1. Wheat plants subjected to rates of 400, 600 and 800 mL ha-1 have a lower net assimilation rate.
Plants subjected to a rate of 400 mL ha-1 and of 800 mL ha-1 of the plant regulator have higher values of leaf area ratio from 42 days after seedling emergence. The plant height and the harvest index were reduced by the application of the growth regulator. The vigor expression of the seeds was not affected by the growth regulator trinexapac-ethyl.











Curriculum ScienTI

