SciELO - Scientific Electronic Library Online

 
vol.29 número3Electrodo RIATA normofuncionante extraído al momento del recambio del cardiodesfibriladorLos pacientes con fibrilación auricular no se benefician del ácido acetilsalicílico índice de autoresíndice de materiabúsqueda de artículos
Home Pagelista alfabética de revistas  

Servicios Personalizados

Revista

Articulo

Links relacionados

Compartir


Revista Uruguaya de Cardiología

versión On-line ISSN 1688-0420

Rev.Urug.Cardiol. vol.29 no.3 Montevideo dic. 2014

 

Actualización en técnicas 

Función endotelial y reactividad macro y microvascular: evaluación no invasiva en la práctica clínica

Importancia clínica y análisis de las bases metodológicas de los equipos disponibles para su evaluación 

Daniel Bia1, Yanina Zócalo2 

1. Doctor y Magíster en Ciencias Biológicas. Prof. Adj. Departamento Fisiología y Colaborador Calificado, Departamento Cardiología, Facultad de Medicina, Univeridad de la República. Co-Director/Coordinador General, CUiiDARTE, Universidad de la República. Investigador Nivel 1, Sistema Nacional de Investigadores. Investigador Grado 4, PEDECIBA.
2. Médica. Doctora en Ciencias Biomédicas. Prof. Adj. Departamento Fisiología y Colaborador Calificado, Departamento Cardiología, Facultad de Medicina, Universidad de la República. Directora Clínica, CUiiDARTE, Universidad de la República. Investigador Nivel 1, Sistema Nacional de Investigadores. Investigador Grado 3, PEDECIBA.
Centro Universitario de Investigación, Innovación y Diagnóstico Arterial, Universidad de la República
Correspondencia: Dr. Daniel Bia. Departamento Fisiología, Facultad de Medicina, Universidad de la República. Avda. General Flores 2125, CP: 11800, Montevideo, Uruguay. Correo electrónico:
dbia@fmed.edu.uy

Recibido noviembre 4, 2014; aceptado noviembre 22, 2014

Aspectos claves a recordar    352 

Aspectos básicos, clínicos y epidemiológicos    352 

¿Qué es la función y disfunción endotelial? ¿Qué es la reactividad vascular y su disfunción?    352 

¿Qué importancia clínica tiene evaluar la FE y/o RV?    353 

¿En qué condiciones puede encontrarse alterada la FE y/o RV?    353 

¿Existen acciones que mejoren la FE y/o RV (reviertan la disfunción)?    353 

¿Las mejoras en RV y/o FE conllevan un mejor pronóstico del paciente?    354 

Aspectos técnicos y metodológicos    354 

Generalidades    354 

¿Cómo pueden clasificarse los abordajes para evaluar la FE y/o RV?    354 

A. Técnicas que evalúan la FE y/o RV del sistema arterial o cardiovascular global    355 

 1) Vasodilatación mediada por flujo (VMF)    355 

 2) Vasoconstricción mediada por bajo-flujo (LFMC)    357 

 3) Pletismografía de oclusión venosa (POV)    358 

 4) Análisis de cambios en forma del pulso arterial periférico (PWA).    359 

 5) Análisis del pulso digital obtenido por fotopletismografía (PCA)    361 

 6) Análisis de cambios en la velocidad de la onda del pulso arterial    361 

B) Técnicas que evalúan la FE y/o RV del sistema microcirculatorio     361 

 7) Análisis de cambios en velocidad sanguínea: hiperemia reactiva por oclusión arterial (HROA)    361 

 8) Tonometría arterial periférica digital (TAP)    362 

 9) Monitoreo térmico digital (MTD)    362 

 10) Técnicas láser Doppler (LD)    363 

 11)  Capilaroscopía o videocapilaroscopía (VCC) ungueal estructural y funcional    365 

Valores de referencia y/o normalidad    365 

Bibliografía    365 

Abreviaturas    365

 


 

Aspectos básicos, clínicos y epidemiológicos 

¿Qué es la función y disfunción endotelial? ¿Qué es la reactividad vascular y su disfunción?

Históricamente se consideró al endotelio como una barrera pasiva entre el compartimento intra y extravascular. En los años 80 se obtuvo evidencia de que el endotelio tiene un rol activo, modulador de la capacidad vascular de VC/VD y de reaccionar ante diferentes estímulos mediante síntesis y liberación de sustancias que modifican el tono del MLV(1). Hoy se reconoce que además de modular el tono del MLV, el endotelio desempeña otras múltiples funciones, destacándose su rol antiaterogénico y antitrombogénico (por ejemplo inhibe la agregación y adhesión plaquetaria, adhesión leucocitaria, proliferación y respuesta del MLV a sustancias circulantes, mantiene reducida la permeabilidad vascular, modula el proceso inflamatorio).

 

El término DE describiría cualquier alteración de las funciones endoteliales descritas. Sin embargo, en estudios vasculares no invasivos, el término DE refiere a la reducción en la capacidad endotelial de generar VD o VC arterial y/o microcirculatoria (arteriolas), ante estímulos que normalmente generarían vasomotricidad endotelio-dependiente (por ejemplo, aumento de flujo sanguíneo (FS)(2). A pesar de la definición establecida, ante una FE reducida debe interpretarse que todas las acciones endoteliales pueden estar alteradas(3).

 

La DE puede explicarse por al menos tres mecanismos básicos que actúan de manera aislada o conjunta (figura 1): (1) reducida capacidad de sensar estímulos (por ejemplo, cambio en la tensión de cizallamiento [TZ] aplicada al endotelio), inductores de aumento o reducción de la producción y liberación de factores vasoactivos; (2) reducida síntesis, liberación y/o biodisponibilidad de sustancias vasoactivas (por ejemplo, reducción de la actividad de la NO-sintasa endotelial, eNOS, o aumento de la degradación del NO por especies reactivas de oxígeno, RAS); (3) antagonismo de sustancias VD por sustancias VC del propio endotelio. Cabe señalar que la disfunción de una de las múltiples vías bioquímicas no necesariamente causa DE, ya que otras vías pueden aumentar de manera compensatoria su actividad. Por otra parte, sin constituir DE, puede existir RV alterada en caso de incapacidad del MLV para modificar su tono ante estímulos endoteliales. Teniendo en cuenta lo anterior, clásicamente los estudios que evalúan la FE y/o RV intentan discriminar alteraciones del endotelio y/o del MLV. Para ello, comparan la respuesta a estímulos (por ejemplo, VD) endotelio-dependientes e independientes. Además, para una adecuada interpretación de la respuesta es importante considerar que una arteria podría no dilatar por ya estar dilatada al máximo (límite estructural), hecho que no debe considerarse DE ni disfunción en RV(4). Finalmente, importa señalar que la mayoría de los estudios han investigado la vía del NO, por lo que comúnmente (aunque formalmente incorrecto) se asocia la DE a un estado de reducción en producción, liberación y/o biodisponibilidad de NO.
  

¿Qué importancia clínica tiene evaluar la FE y/o RV? 

La alteración de la FE y/o RV se reconoce como un factor que se asocia y/o contribuye a(5,6): (1) RCV aumentado, independientemente de otros factores; (2) predecir eventos CV en personas asintomáticas, aun con arterias coronarias normales, de manera independiente de otros factores de RCV; (3) determinar y reclasificar el RCV en pacientes asintomáticos; (4) predecir eventos CV, muerte CV y/o revascularización en pacientes con enfermedad CV (por ejemplo, enfermedad coronaria, insuficiencia cardíaca); (5) predecir reestenosis intrastent y vasculopatía del sustituto (implante) arterial; (6) predecir vulnerabilidad de placas de ateroma; (7) predecir mortalidad en pacientes con trasplante cardíaco ortotrópico; (8) definir la probabilidad de respuesta a la resincronización cardíaca; (9) determinar daño vascular y RCV asociado a enfermedades sistémicas (por ejemplo, autoinmunes, insuficiencia renal). En términos generales, el valor/importancia clínico es independiente del método de evaluación de la FE y/o RV empleado, y del territorio arterial estudiado(5).

 

¿En qué condiciones puede encontrarse alterada la FE y/o RV? 

La FE y/o RV se encuentra alterada por la exposición a factores de RCV y/o ante la presencia de diversas patologías sistémicas. Al respecto, factores de RCV (por ejemplo, tabaquismo, hipertensión arterial, hiperlipidemias, obesidad, hiperglicemia, insulino-resistencia) se asocian a activación endotelial (necesaria para inducir el proceso aterogénico) y a DE y/o RV reducida(7). Enfermedades/alteraciones sistémicas (por ejemplo, aterosclerosis, insuficiencia renal, diabetes, disfunción eréctil, enfermedad arterial periférica, apnea del sueño, bajo peso al nacer) asocian (como causa o efecto) DE y/o RV reducida. En muchas de ellas, los cambios en FE y/o RV dan lugar a un círculo vicioso detrimental que favorece su progresión (por ejemplo, insuficiencia cardíaca) y/o la repercusión secundaria sobre el sistema cardiovascular(7,8)

 

¿Existen acciones que mejoren la FE y/o RV (reviertan la disfunción)? 

Cambios higiénico/dietéticos y conductuales (por ejemplo, dejar de fumar, ingerir antioxidantes y/o complejos vitamínicos) mostraron efectos directos crónicos y/o agudos sobre la FE y/o RV. Además, diversos fármacos elevan la FE y/o RV por acciones: (a) directas, actuando sobre el endotelio y/o MLV, o (b) indirectas, modificando factores de RCV asociados a DE (por ejemplo, dislipemia, hipertensión arterial). Entre los fármacos con efecto directo se encuentran(9,10): (1) inhibidores de la enzima convertidora de angiotensina y antagonistas de receptores de angiotensina II, (2) antagonistas de aldosterona, (3) antagonista de receptores b-adrenérgicos, (4) bloqueantes de canales de calcio, (5) estatinas, (6) metformina, (7) allopurinol, (8) antianginosos como la ranolazina, (9) Inhibidores de la fosfodiesterasa-5.

 

¿Las mejoras en RV y/o FE conllevan un mejor pronóstico del paciente? 

En mujeres (posmenopausia) hipertensas y con DE se reportó mayor tasa de eventos CV en aquellas en que la DE persistió tras seis meses de tratamiento antihipertensivo (21,3% vs 6%)(11). En pacientes con insuficiencia cardíaca el pronóstico fue mejor en quienes mejoraron la FE mediante tratamiento médico(12). A pesar de estos hallazgos, resta aún mayor evidencia para responder cabalmente esta pregunta. 

Aspectos técnicos y metodológicos 

Generalidades 
Si bien centraremos nuestra descripción en las técnicas no invasivas, debe tenerse en cuenta que existen abordajes invasivos (menos empleados) para evaluar la FE y/o RV, que a la vez de ser útiles clínicamente, se consideran “estándar oro” y se emplean para validar los métodos no invasivos(13). Estos métodos pueden dividirse en: (1) estudio directo de la respuesta de arterias coronarias o de miembro superior a estímulos vasoactivos intraarteriales (por ejemplo, distensión coronaria en repuesta a acetilcolina (Ach) intraarterial, evaluada por angiografía cuantitativa); (2) estudios de marcadores bioquímicos/celulares indicadores de FE (por ejemplo, concentración plasmática de LDL oxidadas, células progenitoras endoteliales circulantes)(14-16)

Las técnicas no invasivas se centran en el estudio de arterias y/o microcirculación de miembros superiores, territorios “ventana” para evaluar el sistema CV, considerando que la DE es un proceso sistémico. Además, existe relación entre DE coronaria o cerebrovascular y presencia de DE en miembros; la DE de arterias braquiales y/o radiales predice enfermedad coronaria y eventos CV(5). Por otra parte, la accesibilidad y el nivel de respuesta de la microcirculación cutánea hacen que se emplee como modelo para el estudio de la microcirculación(17). La disfunción microvascular cutánea se asocia a enfermedades CV (por ejemplo, enfermedad coronaria)(18), reconociéndose como marcador independiente de enfermedad CV en grupos específicos (por ejemplo, diabetes tipo 2)(19). Además, en algunas patologías (por ejemplo, esclerosis sistémica) existe DE microvascular, más que macrovascular, por lo que la FE microcirculatoria puede per se ser de interés clínico. 

¿Cómo pueden clasificarse los abordajes para evaluar la FE y/o RV? 

Existen abordajes para evaluar la FE y/o RV: (a) invasivos vs no invasivos, (b) de evaluación arterial vs venosa, (c) de territorios o el sistema arterial y/o CV vs de territorios microcirculatorios específicos. Los diferentes abordajes y técnicas pueden evaluar diferentes aspectos de la FE y/o RV, siendo los resultados no extrapolables ni equivalentes, pudiendo no correlacionar entre sí(20). En nuestro análisis consideraremos:

 

A.    Técnicas que evalúan la FE y/o RV del sistema arterial (grandes, medianas y/o pequeñas arterias) o CV global. 

1.    Vasodilatación mediada por flujo (VMF; Flow-mediated dilation). 

2.    Vasoconstricción mediada por bajo-flujo (LFMC; Low-flow mediated constriction). 

3.    Pletismografía de oclusión venosa (POV; Venous Oclusion Plethismography). 

4.    Cambios en la forma de onda del pulso arterial periférico (Pulse Wave Analysis). 

5.    Cambios en la velocidad de la onda del pulso (VOP) arterial (Pulse Wave Velocity).

 

B.    Técnicas que evalúan la FE y/o RV del sistema microcirculatorio. 

6.    Cambios en velocidades sanguíneas: test de hiperemia reactiva por oclusión arterial (HROA). 

7.    Tonometría arterial periférica digital (TAP; Peripheral Arterial Tonometry or Tone). 

8.    Análisis del pulso obtenido por fotopletismografía digital (PCA; Pulse Contourn Analysis). 

9.    Monitoreo térmico digital (DTM; Digital Termal Monitoring). 

10.  Técnicas láser Doppler (LD). 

11.  Capilaroscopía o videocapilaroscopía (VCC) ungueal estructural y funcional (nailfold capillaroscopy). 

Entre estas, las más empleadas actualmente son: VMF, POV, y TAP. 

A. Técnicas que evalúan la FE y/o RV del sistema arterial o cardiovascular global 

1) Vasodilatación mediada por flujo (VMF) 

Si bien en términos generales la VMF describe toda respuesta de VD arterial que sigue a un aumento de FS y TZ sobre la pared arterial(4), convencionalmente el término describe la técnica introducida por Celermajer y colaboradores (1992) para evaluar en forma no invasiva la FE en arterias de miembros superiores e inferiores(21). Entre sus fortalezas están la no invasividad y la elevada sensibilidad y reproducibilidad. Entre sus limitaciones, el requerir considerable experiencia del operador y colaboración del paciente, ser operador-dependiente, emplear equipos/software de relativo alto costo y tiempo elevado de análisis de los registros(22)

  • Descripción general de la técnica 

La VMF responde a la liberación endotelial de sustancias VD (por ejemplo, NO), ante el aumento de la TZ resultante del incremento abrupto del FS arterial braquial, denominado hiperemia reactiva (HR) (figura 2). Esta se genera como consecuencia de un breve período de isquemia en los territorios distales al segmento arterial estudiado, y supone el aumento compensatorio del FS con el fin de acelerar el aporte de oxígeno al tejido(23)

La isquemia se genera mediante un manguito o brazalete neumático (que llamaremos cuff) colocado en antebrazo (1-2 cm debajo de la fosa antecubital) o muñeca, insuflado hasta una presión arterial (PA) suprasistólica durante 5 minutos. La respuesta vascular, HR y VMF se registran y analizan en la arteria braquial, como se describe más abajo. Al desinflar el cuff se genera la HR, cuyo máximo (pico) se alcanza pocos segundos posdesinflado, retornando la velocidad sanguínea al nivel basal a los 2-3 minutos del máximo(23). La HR depende principalmente de la producción tisular local de la sustancia VD adenosina, de otros VD endotelio-independientes y en menor medida de VD endotelio-dependientes (por ejemplo, NO), que actuarán principalmente sobre los vasos de resistencia microcirculatorios(23,24). La HR resulta en aumento del FS y TZ en la arteria estudiada (braquial), lo que estimula en sus paredes (sensores de deformación vinculados a canales iónicos) la síntesis y liberación de sustancias VD (por ejemplo, NO), que difunde hacia el MLV, el que de estar funcional, se relaja y produce VD arterial braquial (VMF) (figura 1). Aunque actualmente no se aconseja, inicialmente se recomendaba al final del estudio administrar un VD endotelio-independiente (por ejemplo, nitroglicerina sublingual) para evaluar la respuesta intrínseca (endotelio-independiente) del MLV(26)

La arteria braquial debe registrarse por ecografía en corte longitudinal considerando un segmento recto (sin ahusamientos ni ramificaciones). Para el estudio, la sonda ecográfica se fija mecánicamente por un sistema estereotáxico de manera de evitar movimientos y realizar ajustes en el plano sagital y coronal(14). Determinar la VMF requiere del registro braquial basal y durante la HR. A partir de las imágenes (videos) ecográficas, usando software específico, se obtienen las señales (ondas o pulsos) de diámetro arterial y velocidad sanguínea en función del tiempo (figura 2, A), necesarios para el estudio. 

La VMF se cuantifica como el cambio relativo (%) del diámetro diastólico mínimo arterial braquial durante la HR respecto del estado basal(25) (figura 2, B). Además deben informarse los diámetros y la VD en unidades absolutas (mm). Entre los sistemas disponibles para estos fines se encuentran el Software FMD-I (Flomedi, Bélgica) y FMD Studio (Quipu, Italia), (tabla 1). 

A partir de estos aspectos generales de la técnica se han implementado variantes que generaron grandes diferencias en la naturaleza y magnitud de la VD generada y en la VMF calculada(27). Existe aún la necesidad de uniformizar criterios(4,27,28), a la vez que resta definir algunos aspectos de la técnica para llegar a resultados mundialmente comparables. Entre los aspectos “críticos” se encuentran: 

  • Aspecto crítico (1): preparación del paciente para el estudio 

Son comunes para todo abordaje/estudio de FE y/o RV. Se recomienda que seis horas antes del estudio, la persona no ingiera alimentos, evite hacer ejercicio físico moderado/intenso, no consuma estimulantes o fume(4). Los fármacos no deben suspenderse, pero sí consignarse en el informe. La hora del día en que se realiza el test puede afectar la VMF, por lo que debe consignarse, y, de repetirse, el test debe hacerse en similar horario. El test debe realizarse luego de un período de reposo acostado (10-20 minutos) en ambiente tranquilo, semioscuro y con temperatura controlada (22-25°C). Procesos infecciosos/inflamatorios pueden modificar la VMF. La mujer pre-menopáusica debe evaluarse los días 1-7 del ciclo(4). Aun con estas consideraciones, dado que la incidencia de los factores extra-vasculares sobre la VMF es baja, no debe dejarse de realizar el test cuando no se han podido cumplir por completo las condiciones descritas(29)

  • Aspecto crítico (2): segmento arterial evaluado 

La técnica de VMF se emplea para estudiar diferentes arterias (por ejemplo, braquial, tibial, femoral)(4), las que difieren en las vías bioquímicas involucradas, perfiles de VD, tiempo a la VMF(4,27,28). Además, al tener diferente nivel basal de FS y TZ, un mismo test de HROA genera diferentes cambios en FS y TZ entre arterias(4,30). Por último, las diferencias regionales en el tono basal del MLV determina que arterias con mayor tono basal (por ejemplo, femorales respecto de braquiales) presenten mayor VD por estar más alejadas de su “techo de VD” (límite estructural)(31); el tono basal se correlaciona positivamente con la VMF. En suma, no debe emplearse indistintamente (comparativamente para el diagnóstico) el nivel de VMF obtenido en diferentes arterias(31)

  • Aspecto crítico (3): posición del cuff y tiempo de oclusión 

Variaciones en el sitio de colocación del cuff afectan las sustancias que median la VMF y los cambios en TZ, modificando el estímulo endotelial. Por ejemplo, el cuff en antebrazo (distal a la arteria estudiada) generó VMF de ~7%; abolida al bloquear el NO. En cambio, el cuff en el brazo (proximal al sitio estudiado) generó VMF ~12%; no inhibido por completo al bloquear el NO. Esta VMF remanente se atribuye a VD braquial hipoxia-dependiente (VD isquémica)(4). Actualmente se recomienda ocluir en antebrazo para minimizar la molestia al paciente y obtener una VMF directamente relacionada con la biodisponibilidad de NO endotelial(4). Se debe ocluir durante 5 minutos, ya que mayores períodos no garantizan que solo participe el NO, ni resultan en mayor VMF. 

  • Aspecto crítico (4): técnicas de medición de la velocidad y el diámetro arterial 

La ecografía modo-B (sondas con frecuencia >7,5 MHz) es la técnica de elección para determinar el diámetro arterial, por ser no invasiva, portable, reproducible (si la realiza un operador entrenado)(29), y por permitir identificar con precisión (usando software de reconocimiento de bordes) los límites de la pared vascular. Se recomienda usar ultrasonido Duplex por permitir obtener imágenes en modo-B y a la vez la velocidad sanguínea (Doppler), necesaria para calcular el estímulo endotelial (la TZ). De no poder registrar en simultáneo ambas señales, se aconseja registrar velocidad en los primeros 30 segundos y luego seguir el registro en modo-B. Esto se basa en la alta correlación entre el cambio inicial posHR en TZ y la máxima VD alcanzada(4,27)

  • Aspecto crítico (5): detección de bordes y onda de diámetro, automatización y soporte mecánico 

Se desaconseja la cuantificación manual de diámetros en sitios discretos de la pared arterial por ser operador-dependiente y estar sujeta a errores. Debe emplearse software de detección de bordes para seguir los movimientos instantáneos parietales. Estos softwares permiten: a) múltiples mediciones por cm arterial, b) reducir la variabilidad interindividual y c) determinar latido-a-latido la onda de diámetro y ubicar con precisión el diámetro diastólico mínimo necesario para calcular la VMF(4)

  • Aspecto crítico (6): diámetro basal, medida del valor diastólico final y período de promediación 

El diámetro basal (Dbas) usado para calcular la VMF es el previo a generar la oclusión arterial(4). Sin embargo, se propuso considerar como Dbas el existente exactamente antes de liberar la oclusión, entendiendo que la oclusión genera cambios en diámetro y que su recuperación durante la HR es parte de la respuesta a evaluar(32). La VMF calculada de esa forma se denominó VMF modificada(32). Se considera el diámetro de fin de diástole (y de existir variabilidad, como segunda opción el diámetro medio) por ser el menos influenciado por la rigidez arterial(4). Para los cálculos se aconseja considerar el valor promedio de varios latidos. 

  • Aspecto crítico (7): medición de diámetro en la hiperemia reactiva 

Ya no se recomienda evaluar la VD por HR a los 60 segundos de desinflar el cuff(21), ya que no permite detectar la máxima VMF (el máximo diámetro diastólico posHR) en un número importante de pacientes (25%-30%)(4). Medir en ventanas temporales predeterminadas (por ejemplo, 50 a 70 seg, 70 a 90 seg) también mostró subestimar el diámetro. En consecuencia, actualmente se sugiere que el diámetro se registre latido-a-latido por al menos 180 segundos de HR (figura 2, B). Por último, dado que el ciclo respiratorio modifica el diámetro arterial, se recomienda estandarizar las mediciones al final de la espiración tranquila. 

  • Aspecto crítico (8): normalización por el tamaño corporal o diámetro arterial basal 

La VMF está negativamente correlacionada con el Dbas(21); personas con mayor tamaño corporal (y arterial) presentan menor VMF por razones antropométricas y no funcionales(33,34). Hasta ~64% de la variabilidad de la VMF podría atribuirse a la variabilidad del Dbas(21, 34). Por ello, se propusieron (a) métodos estadístico-matemáticos para normalizar la VMF por el Dbas(34), y (b) normalizaciones por variables antropométricas (por ejemplo, talla corporal), de manera de independizar la VMF del tamaño corporal, sin dejar de considerar cambios en el Dbas (por ejemplo, dilataciones patológicas)(31). Estos últimos podrían ser parte del proceso de reducción de la FE, o un mecanismo compensatorio ante FE reducida. Aún no existe consenso sobre la mejor forma de normalizar la VMF por el tamaño arterial. 

  • Aspecto crítico (9): velocidad sanguínea, y cálculo y normalización por el estímulo (tasa de cizallamiento) 

La velocidad sanguínea se expresa como el máximo “instantáneo” (en el centro del vaso) o como el valor medio espacial (existente a una distancia variable entre el centro y la pared vascular). La velocidad registrada difiere según la forma de cuantificación (~33%)(4). Por ello se debe reportar el método empleado. 

Una misma VMF puede resultar de diferentes cambios en TZ y viceversa. Una correcta evaluación de la FE requiere relacionar la respuesta (VMF) con el estímulo que la genera (cambio en magnitud y patrón-temporal de TZ)(4). Para ello hay que cuantificar la TZ y definir el estímulo. La TZ puede calcularse como viscosidad sanguínea*tasa de cizalla. Asumiendo que la viscosidad se mantiene estable intra e interindividuos, la TZ se relaciona en magnitud y sentido con el cambio en tasa de cizalla. A partir de la velocidad sanguínea y el diámetro arterial, basados en la ley de Poiseuille, la tasa de cizalla se calcula como (2*[2+n]*v)/d, donde d es el diámetro arterial, v el promedio temporal de la velocidad sanguínea (por ejemplo, velocidad promedio del ciclo cardíaco), y n el valor correspondiente a la forma del perfil de velocidad (n = 2 para perfil parabólico)(35). El estímulo se ha caracterizado como el máximo valor o cambio en tasa de cizalla (o velocidad sanguínea) o como la totalidad de TZ hasta el diámetro máximo (área bajo la curva TZ en función del tiempo) (figura 2, C). Este abordaje mostró la máxima correlación con la VMF, siendo lo recomendado. De no poder determinar la curva completa de TZ, se acepta que se considere el área para los primeros 30 segundos de HR(4,27). La normalización de la VMF considerando el estímulo es aún tema controversial y las formas empleadas (por ejemplo, VMF/máxima TZ; VMF/área bajo la curva de TZ) presentan limitaciones. Como solución se ha sugerido realizar en cada paciente varios estudios de VMF, de manera de obtener una curva dosis (TZ)-respuesta (VMF) y analizar la sensibilidad endotelial (paciente-específica) para generar VD ante cambios en TZ(35). Por no existir aún consenso, se recomienda al menos informar la TZ promedio hasta la VD pico(4).  

2) Vasoconstricción mediada por bajo-flujo (LFMC) 

La VMF evalúa la capacidad de VD arterial a partir del Dbas, pero no informa de la actividad endotelial basal. Para superar limitaciones de la VMF, Gori y colaboradores propusieron un método llamado vasoconstricción mediada por bajo-flujo (LFMC), con similar repetibilidad y reproducibilidad que la VMF(36,37). La LFMC cuantifica la reducción en Dbas arterial (humeral o radial) en respuesta a una reducción del FS y TZ (figura 2, B), informando sobre el control endotelial del tono basal del MLV, y complementando la información que aporta la VMF. La LFMC dependería de vías endotelio-dependientes NO-independientes; siendo determinada más precisamente por caída y aumento, respectivamente, de la síntesis/liberación de EDHF y endotelina 1(36). La reducción en LFMC ha sido demostrada en personas asintomáticas expuestas a factores de RCV, y en pacientes hipertensos, con enfermedad coronaria, con insuficiencia cardíaca, etcétera(37)

La suma de LFMC y VMF evalúa la máxima variación activa del diámetro arterial (RV total) (figura 2, B)(36,37). El análisis conjunto de VMF y LFMC reduce los falsos negativos y positivos en el diagnóstico de DE(37)

  • Descripción general de la técnica 

Medir la LFMC implica un abordaje instrumental y de registros idéntico al de la VMF. Luego del registro basal, sin dejar de registrar, se realiza la oclusión arterial (el test de HROA) insuflando un cuff distal (lo más empleado) o proximal a la zona de registro, con el objetivo de generar un estado de bajo FS y TZ(37). La LFMC se calcula como la reducción (%) del diámetro arterial, respecto del Dbasal, en los últimos 30 segundos de oclusión (figura 2, B). Luego se libera el cuff y se cuantifica la VMF, como se describió previamente. 

  • Aspectos críticos 

Aplican los de la VMF. 

3) Pletismografía de oclusión venosa (POV) 

La POV, descrita en 1909 como técnica para medir el FS, es el método vigente más antiguo para este fin(14,38). Su principio es sencillo: “Cuando el drenaje venoso del brazo o antebrazo está transitoriamente interrumpido y el FS arterial inalterado, la sangre puede entrar al antebrazo, pero no puede escapar”(38). Esto resulta en un aumento “lineal” (en realidad es en diente de sierra producto de la pulsación arterial) en el volumen del antebrazo en función del tiempo, lo cual es proporcional al influjo de sangre arterial, al menos hasta el momento en que el aumento en presión venosa (producto de no haber drenaje) alcanza y supera la presión de oclusión que interrumpía su drenaje(38) (figura 2, D). 

Si bien la información que se obtiene es menos específica que la aportada por la VMF (respuesta parcialmente mediada por el endotelio y NO)(24), se usa por su valor clínico (por ejemplo, predice eventos CV) y por ser simple, no invasiva, reproducible, requerir poca experticia técnica y tener baja dependencia con el operador(14)

  • Descripción general de la técnica 

Se realiza con el paciente recostado y con los miembros superiores por encima del nivel cardíaco, apoyados en superficies acolchonadas. Para los registros se emplean tres cuffs y un pletismógrafo. El cambio en volumen (“hinchazón”) del antebrazo se mide con un pletismógrafo conectado a un sensor de deformación de tipo “banda” colocado alrededor de la parte más ancha del antebrazo(38)

Durante los registros el retorno venoso del antebrazo se anula transitoriamente inflando un cuff (oclusor venoso) en el brazo (proximal al registro) hasta niveles mayores que la presión venosa (por ejemplo, ~40 mmHg) y menores que la PA diastólica. El cuff se infla y desinfla cíclicamente (por ejemplo, 10/5 segundos) para permitir (al inflarse) medir de forma segura el volumen del antebrazo (sin cambios atribuibles al drenaje venoso), a la vez de permitir (al desinflarse) drenar espaciadamente la sangre venosa evitando disconfort y un aumento desmedido de la presión venosa(38). Los cambios en FS (tasa de cambio de volumen) así medidos serán proporcionales a la tasa de influjo arterial. 

La mano tiene gran cantidad de shunts arterio-venosos, y FS altamente dependiente de la temperatura y controlado por múltiples vías endotelio-independientes. Por ello se prefiere excluir la mano cuando se mide el FS del antebrazo. Para ello, al menos 60 segundos antes de registrar, las manos se excluyen de la circulación mediante un cuff (de exclusión) colocado en la muñeca e inflado hasta una PA suprasistólica. Este cuff genera isquemia, por lo que el período de registro debe ser breve (máximo 13 minutos)(38). Al excluir la mano, el FS guarda relación lineal con el cambio de volumen del antebrazo. 

Un tercer cuff (hiperémico) se coloca distalmente a la zona de registro (por ejemplo, en muñeca) para realizar un test de HROA. Liberada la compresión se registra la curva de volumen-tiempo, lo que permite analizar cambios en el FS. Existen descripciones en que se emplea para generar la HROA el propio cuff “oclusor venoso”, si bien por estar proximal a la zona de medición genera alteraciones en el registro y molestias en el paciente. El test de HROA es el más empleado, pero otros estímulos han sido usados (por ejemplo, test de enfriado)(26)

La POV provee una medida del FS del segmento de antebrazo encerrado entre ambos cuffs (proximal y distal), expresándose como ml/100 ml de volumen de antebrazo/minuto (figura 2, D, E). Para calibrar la señal, el volumen del antebrazo se calcula asumiendo una geometría dada (cono truncado) o por desplazamiento de agua(38). Tras un registro basal se realizan al menos diez mediciones consecutivas durante la HROA. Se determina el máximo FS (máxima pendiente de la curva volumen-tiempo), el cambio relativo (%) al pasar del FS basal al máximo hiperémico y se analizan las características de las curvas durante la HR(24). El área bajo la curva volumen-tiempo durante la HR representa la capacidad VD “global” de las arterias de resistencia, siendo considerado un índice indirecto de FE(26). Habitualmente se registra en ambos antebrazos, realizando la HROA solo en uno, y empleando el otro como “control simultáneo” para descartar cambios sistémicos. 

4) Análisis de cambios en forma del pulso arterial periférico (PWA). 

Chowienczyk y colaboradores en 1999(39) propusieron que la FE podía evaluarse mediante el análisis de los cambios en la forma de onda del pulso arterial generados al aplicar un estímulo endotelio-independiente (por ejemplo, gliceril trinitrato, GTN) y uno endotelio-dependiente (por ejemplo, salbutamol) (figura 3, A). Actualmente esta técnica se realiza obteniendo la onda del pulso radial y cuantificando el “índice de aumento” (AI) radial(40,41), parámetro que evalúa la contribución relativa de la onda reflejada a la onda del pulso medida(42). Se mide en la arteria radial, pero la FE y/o RV evaluada es global, no atribuible a un territorio específico(39,40). Esta técnica es portable, de bajo costo y tiene baja operador-dependencia. La respuesta se ha encontrado deteriorada en asociación con condiciones como diabetes, hipercolesterolemia, enfermedad arterial coronaria(39-41). Muchos equipos permiten obtener la onda del pulso periférica y permiten realizar este estudio(42), pero el sistema comercial más empleado para ello es el SphygmoCor (AtCor Medical, Australia (tabla 1). 

  • Descripción general de la técnica 

Con el paciente acostado se registra la onda de pulso radial (tonometría de aplanamiento), basal y luego de la estimulación con salbutamol y GTN. Posteriormente se analizan las ondas del pulso radial registradas mediante análisis de forma de onda del pulso y se cuantifica el AI(7,42) (figura 3, A). El salbutamol (estimulante de receptores b-2) se administra por vía inhalatoria e induce VD endotelio-dependiente (reduce el AI, sin modificar la PA), asociada a liberación de NO. Su máximo efecto se alcanza a los 10 minutos de la aplicación. El GTN por vía sublingual genera VD endotelio-independiente. Se administra luego del estímulo con salbutamol por tener mayor vidamedia(21). El GTN disminuye las reflexiones de onda(40), y si se administra a bajas dosis, se evidencia cambio en AI, sin afectar significativamente las resistencias periféricas o la PA media. 

  • Aspecto crítico 

Las dosis de salbutamol y GTN no están estandarizadas. Dosis elevadas pueden inducir taquicardia, que, por reducir la duración del pulso, reducen el AI(42). Esto podría malinterpretarse como una elevada FE. Por ello, el AI debe expresarse normalizado para una frecuencia cardíaca de 75 latidos/minuto (AI@75). 

  • Variante técnica: test HROA 

Una variante es determinar cambios en la onda radial tras un test de HROA (no por administrar fármacos)(43)

5) Análisis del pulso digital obtenido por fotopletismografía (PCA) 

Determina la onda del pulso en el dedo índice midiendo mediante fotopletismografía los cambios de volumen asociados a la onda del pulso (Digital Volume Pulse, DVP), ante estímulos endotelio-dependientes (por ejemplo, salbutamol) e independientes (GTN). En el estudio se transmite luz infrarroja a través del dedo, la que se absorbe por los tejidos transluminados en forma directamente proporcional al volumen de sangre en su interior(44). La técnica es operador-independiente y requiere poco entrenamiento, pero dado que el pulso digital es muy influenciado por el tono simpático, requiere el control estricto de la temperatura ambiente(40)

En la onda del pulso registrada se identifica: (a) un primer componente de la onda (onda incidente) responsable de la amplitud sistólica máxima y (b) un segundo y tercer componente, determinados por ondas reflejadas desde la periferia y que generan inflexiones en la fase sistólica descendente y diastólica, respectivamente (figura 3, B). El análisis de la onda registrada permite cuantificar: (a) la diferencia temporal entre la primera y la segunda inflexión (DtDVP), asociada con la rigidez arterial, y (b) la altura relativa de la segunda inflexión respecto de la altura total de la onda (IPDVP o “índice de reflexión”, RI), asociada con el nivel de reflexión(39). El salbutamol y el GTN producen aumento del DtDVP y reducción del IPDVP (figura 3, B) sin alterar mayormente la PA y la frecuencia cardíaca(39). Diversos equipos usan este abordaje (por ejemplo, PulseTrace PCA2 (Carefusion, USA), Arterial Inflow + NIVP3 software (Hokanson, USA) (tabla 1). 

  • Descripción general de la técnica 

Colocado el pletismógrafo digital se realiza un protocolo igual al descrito para el análisis del pulso radial. 

  • Aspecto crítico 

Ídem a lo descrito para la técnica anterior. 

6) Análisis de cambios en la velocidad de la onda del pulso arterial 

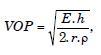
Esquemáticamente los determinantes de la velocidad de la onda del pulso (VOP), indicador no invasivo, estándar oro de rigidez arterial regional, son (ecuación de Moens–Korteweg): 

 

siendo E y h el módulo elástico circunferencial (~rigidez) y espesor parietal, R el radio arterial, y r la densidad del fluido (~1,05 g/cm3)(45). Midiendo la onda del pulso simultáneamente en dos sitios separados a una distancia conocida (Dx), la VOP (método pie-a-pie) se calcula como la relación entre dicho Dx y el tiempo que insumió el recorrido del pulso entre los dos sitios de registro (Dt o tiempo de tránsito del pulso)(45). Dado que estímulos endoteliales pueden modificar E, h y R, y considerando lo sencilla y reproducible que es su medición, se propuso el análisis de los cambios en VOP como abordaje para evaluar la FE y/o RV(20,43,46,47). Múltiples equipos de VOP posibilitan evaluar la FE y/o RV con esta técnica (por ejemplo, SphygmoCor)(45) (tabla 1). 

  • Descripción general de la técnica 

Diversos autores emplearon el análisis de los cambios en VOP carótido-radial(43,46), húmero-radial(20,47), húmero-femoral (muslo)(47), o húmero-pedia (tobillo)(47), ante test de HROA (por ejemplo, cuff en muñeca o tobillo), para valorar la FE y/o RV (figura 3, C). Una adecuada respuesta a la HR genera relajación endotelio-dependiente del MLV, causando VD, caída en la rigidez, y consecuentemente reducción abrupta en VOP(43,46,47). La máxima caída en VOP (~10-20%) se alcanza en el primer minuto de HR, para luego recuperar gradualmente (~ en 7-10 minutos) su nivel basal(43). La caída en VOP se atenúa en enfermedades CV y en quienes existe reducida VMF(47)

B) Técnicas que evalúan la FE y/o RV del sistema microcirculatorio 

7) Análisis de cambios en velocidad sanguínea: hiperemia reactiva por oclusión arterial (HROA) 

Los cambios en nivel y/o perfil de velocidad Doppler sanguíneo y/o FS braquial asociados al test de HROA, se relacionan con el nivel de FE y/o RV microcirculatoria(23). Personas con aterosclerosis y/o factores de RCV(30) presentan reducida velocidad sanguínea máxima durante la HROA. Además, la velocidad máxima en HR mostró predecir eventos CV en pacientes con enfermedad arterial periférica(23). Incluso, los índices de HR podrían tener mayor capacidad predictiva que la VMF por asociarse más fuertemente con los factores de RCV(30). Al respecto, en algunos pacientes la caída en VMF podría atribuirse a disfunción microcirculatoria y reducción de la capacidad hiperémica más que a un problema intrínseco endotelial de arterias de conducción(30)

  • Descripción general de la técnica 

Del registro Doppler de velocidad sanguínea basal y durante HROA puede evaluarse la HR alcanzada mediante la integral de la curva de velocidad sanguínea en función del tiempo (VTI, velocity-time integral) del primer latido y/o los primeros diez latidos(48). El VTI se asocia a presencia de factores de RCV(30) y es predictor independiente de eventos CV(23). Además, la relación de velocidades sistólicas y diastólicas durante la HR, o su comparación entre basal e HR, predicen el RCV(49)

8) Tonometría arterial periférica digital (TAP) 

Se basa en determinar la onda del pulso digital mediante pletismógrafos digitales modificados(50) que permiten en cada pulsación determinar la tensión sobre el sensor. Luego de una maniobra de HROA (cuff braquial) aumenta la amplitud del pulso y la señal de TAP, dependiendo el aumento de factores locales, sistémicos y ambientales, y de la biodisponibilidad de NO endotelial(50). La técnica tiene alta reproducibilidad, baja operador-dependencia(15), si bien es muy sensible al tono simpático y los costosos sensores pueden usarse solo una vez. El equipo de TAP más empleado es el EndoPAT (Itamar Medical, Israel) (tabla 1). 

  • Descripción general de la técnica 

Se coloca un cuff braquial para tomar la PA y servir como oclusor en el test de HROA. Se coloca un sensor en el dedo índice de cada mano. Cada probe tiene una rígida carcaza externa e interiormente cámaras inflables de neopreno que se inflan automáticamente hasta una presión ~10 mmHg por debajo de la PA diastólica o hasta 70 mmHg (se selecciona el menor valor)(15,50), como forma de evitar la acumulación de sangre venosa, y “descargar” parcialmente la tensión parietal, permitiendo que el cambio de volumen digital se registre como amplitud del pulso en el tiempo. La HROA se realiza en un miembro y el otro sirve como control simultáneo. Se realiza registro basal antes y durante HROA. El pulso se analiza con un algoritmo automatizado que permite cuantificar el AI digital y el índice de hiperemia reactiva (RHI, Reactive Hyperemia Index), que relaciona la amplitud del pulso pre y pos HROA, normalizada por la amplitud de la amplitud en el dedo control (la transformación logarítmica de este índice, denominada LnRHI, aumenta su capacidad diagnóstica)(15,50) (figura 3, D). Cada índice se cuantifica cada 30 segundos, como promedio de los latidos de ese período. En el dedo hiperémico la amplitud del pulso alcanza el máximo a los 60-120 segundos de iniciada la HR. La respuesta es NO dependiente, principalmente la observada entre los 60-90 segundos(50)

9) Monitoreo térmico digital (MTD) 

El MTD se basa en la asociación existente entre los cambios en la temperatura distal de los dedos, generados durante un test de HROA, y los cambios en el FS en los dedos(15,51). Emplea sensores de temperatura colocados “herméticamente apoyados” en el pulpejo del dedo índice de cada mano, los cuales permiten detectar cambios de hasta 0,01 °C, en situación basal y durante el test de HROA. Esta técnica es no invasiva y operador-independiente, si bien es altamente dependiente de la temperatura ambiente. La respuesta normal implica que en el dedo sometido a HR la temperatura se reduzca durante la oclusión arterial y aumente hasta niveles supra-basales (“rebote de temperatura”, TR) durante la HR. Un rebote reducido se asocia con RCV elevado (independientemente de otros factores), con enfermedad coronaria, mayor carga aterosclerótica y estenosis coronarias(15,51). Además, el MTD aumenta el valor predictivo del escore de Framingham en sujetos asintomáticos y predice la respuesta terapéutica(15). El equipo más empleado es el VENDYS-5000 (Endothelix Inc., USA) (tabla 1). 

  • Descripción general de la técnica 

Con el paciente acostado se realiza toma de PA. Luego, comienza el MTD en ambos dedos índice, sirviendo uno de ellos de control simultáneo. El cuff para generar HROA se coloca en el antebrazo o muñeca. Luego del registro basal (3 minutos) se realiza el test de HROA. Durante la oclusión (2 minutos) cae la temperatura en el dedo ocluido y queda estable o aumenta en el control (respuesta neuro-vascular oclusión-dependiente). Liberada la oclusión, se registra por 5 minutos, observándose aumento del FS y temperatura en ambos dedos, pero existiendo TR solo en el dedo ocluido(51). Se calcula el aumento de temperatura (desde el mínimo sensado) y el TR (diferencia relativa entre temperatura máxima y basal) (figura 3, E). 

10) Técnicas láser Doppler (LD) 

El láser Doppler (LD) se basa en la retrodispersión de un haz de luz láser y en los cambios en longitud de onda del haz emitido, generados cuando la luz atraviesa la piel y “rebota” en los eritrocitos circulantes. La magnitud y distribución de frecuencias de los cambios se relacionan con el número y velocidad eritrocitaria (efecto Doppler). El LD no permite medir el FS local, sino un índice de perfusión cutánea (linealmente relacionado con el FS) llamado flux, producto de la concentración y velocidad media eritrocitaria(2). Habitualmente se registra el cambio en flux ante maniobras que modifiquen el FS (por ejemplo, test HROA) hacia la piel del pulpejo de dedo o cara interna de antebrazo. El cambio en flux se mide de diversas formas: flux máximo hiperémico, diferencia entre flux máximo y basal o respecto del “cero biológico” (valor obtenido con FS cero), área bajo la curva de flux-tiempo; cambio relativo del flux máximo respecto del basal o del máximo flux obtenido por calentamiento cutáneo o administración local de fármacos, tiempo al flux máximo, etcétera(52,53). Los resultados generalmente se expresan en unidades arbitrarias de perfusión (PU; 1PU=10 mV). Además, se refieren como conductancia vascular cutánea (CVC, flux dividido por PA, mV/mmHg) o simplemente como flux (FS por unidad de área de piel estudiada)(2). Los niveles obtenidos dependen de la temperatura ambiente y/o cutánea, por lo que se requiere su estricto control. 

El LD incluye tres variantes principales que veremos: (a) flujometría LD (LDF, LD Flowmetry o LD Perfusion Monitoring); (b) imagenología (de perfusión) por LD (LDI, LD Imaging) y (c) Laser Speckle Contrast Imaging (LSCI). El equipo de LD más usado es el PeriCam PSI System/PeriFlux System 5000 (Perimed, Suecia), (tabla 1). 

  • 10.1) Flujometría láser Doppler (LDF) 

Primera técnica LD desarrollada, permite evaluar el FS microvascular cutáneo en un pequeño volumen tisular (< 1 mm3). El haz de luz emitido cambia en contacto con los eritrocitos y un foto-diodo mide el haz emergente, estando el cambio en el haz asociado a la concentración y velocidad media eritrocitaria. Entre sus ventajas se encuentran: ser no invasiva, poder cuantificar cambios rápidos en FS cutáneo en respuesta a estímulos(2), y su adecuada reproducibilidad si el sitio de medición se estandariza con precisión(53). Como limitación, no permite medir grandes áreas y arribar al valor real de FS; por esto último se emplea para evaluar RV microcirculatoria ante cambios inducidos por diversos tests (por ejemplo, HROA). Posicionado el sensor de LD sobre la piel y luego de un registro basal, se registra durante maniobras que estimulan cambios en FS. Los tests empleados son similares para las diferentes modalidades de LD. 

  • 10.2) Imagenología por láser Doppler (LDI) 

Variante de la LDF, se basa en obtener imágenes 2D(2). El haz láser se emite a una cierta distancia de la piel, siendo reflejado en un espejo (controlado electrónicamente) que al moverse escanea el área de interés. La fracción de luz retrodispersada se detecta y emplea para “mapear el flux” del tejido en 2D. Comparada con la LDF, la LDI reduce la variabilidad espacial por estudiar un área mayor, pero es más lenta, por lo que no sirve para estudiar cambios rápidos en FS (por ejemplo, ante test de HRA)(53,54).  

  • 10.3) Laser Speckle Contrast Imaging (LSCI) 

Cuando la luz láser incide sobre una superficie densa y heterogénea (variedad de dispersores) se genera un patrón granulado de elevado contraste, llamado patrón moteado o salpicado (speckle-pattern). EL LSCI es una técnica reciente, de nocontacto, basada en el análisis de la reducción en el contraste de patrón moteado. El movimiento de las partículas causa que el patrón moteado fluctúe y su contraste decae al aumentar la velocidad de los dispersores(55). Integra las virtudes del LDI y LDF al permitir medir cambios rápidos en FS (~100 imágenes/seg) en grandes áreas (~100 cm2). La penetrancia es menor que con LDF y LDI, y es muy sensible a movimientos, por lo que requiere la colaboración del paciente. 

Estudios con láser Doppler: pruebas para evaluar reactividad microcirculatoria cutánea 

Para generar cambios en los tejidos evaluados por LD(53,54) se emplea HROA, aplicación de presión sobre la piel, calentamiento/enfriamiento y estímulo farmacológico local (Iontoforesis). Estos difieren en reproducibilidad, facilidad de implementación, vías bioquímicas exploradas, entre otros. 

  • a) Test de hiperemia reactiva por oclusión arterial (HROA) 

La remoción de la oclusión arterial (cuff oclusor) se sigue de un pico de flux, y luego HR sostenida. La distancia entre el sitio de oclusión y de medición determina el tiempo al pico (figura 4, A). La HR es una compleja respuesta microvascular en la que el endotelio participa pero no tiene un rol preponderante, por lo que no debe considerarse per se un test de FE, sino un test de RV microcirculatoria(53,54)

  • b) Test de vasodilatación-presión-inducida 

La compresión indolora de la piel induce VD mantenida presión-inducida. Esta respuesta protege al tejido de daño isquémico inducido por presión(53,54)

  • c) Test de hiperemia reactiva térmica local (HRTL) 

El test de HRTL aumenta el FS cutáneo por generar VD local en respuesta a un aumento de temperatura local de la piel. La máxima VD se alcanza aplicando 42-44 °C sobre la piel(52); temperaturas mayores causan ardor y/o dolor(53,54). La HRTL permite analizar mecanismos de regulación neurovascular y endotelio-dependientes del FS. Para realizarlo se usan principalmente calentadores metálicos(54). La VD por calentamiento cutáneo es mediada por al menos dos vías independientes (figura 4, B): (a) un pico inicial en FS cutáneo, básicamente debido a un reflejo axonal(52), que se atenúa con anestésicos locales, y (b) luego del pico se observa un nadir y luego una meseta alcanzada a los 20-30 minutos de iniciarse la aplicación de calor. Si el calor se prolonga (>45 minutos) comienza a reducirse lentamente la meseta de flux (reversión)(54). La meseta es mediada principalmente por NO y EDHF y es insensible a anestésicos. La inhibición simultánea de NO y EDHF elimina la meseta, con un efecto sinérgico, sugiriendo complementariedad entre estas dos vías. Las ROS atenúan la meseta por limitar la biodisponibilidad de NO. Generalmente, se caracteriza la HRTL analizando: (a) el flux máximo inicial, reflejo-dependiente, y (b) la amplitud de la meseta endotelio y NO dependiente. La HRTL se deteriora en situaciones como diabetes, esclerosis sistémica e hipertensión arterial. Las estatinas restablecen la amplitud de la meseta por mejorar mecanismos NO dependientes(17)

  • d) Test de enfriado local (TEL) 

El TEL cutáneo (por ejemplo, 15 °C por 30 minutos) induce VC inicial noradrenalina-dependiente, seguida de VD transitoria refleja y finalmente VC prolongada por inhibición del sistema de NO (figura 4, C). La VD aumenta a mayor velocidad de enfriado. Para enfriar la piel se emplea inmersión de mano/dedos en agua fría, compresas frías flexibles, corriente de dióxido de carbono o sistemas termoeléctricos. 

  • e) Test farmacológico local (Iontoforesis) 

La Iontoforesis permite la migración transdérmica de moléculas cargadas en solución bajo la influencia de corriente eléctrica de baja intensidad aplicada directamente sobre la piel, posibilitando administrar drogas/fármacos de manera no invasiva y segura en áreas de piel localizadas. La cantidad de droga transferida depende de su concentración, pH de la solución, intensidad y duración de la corriente y la naturaleza de la piel (por ejemplo, espesor, vello). La administración no genera acciones sistémicas (54). Al combinarse con LD permite detectar el flux microcirculatorio en respuesta a drogas VD endotelio-dependientes (por ejemplo, Ach) e independientes (por ejemplo, nitroprusiato de sodio) colocadas en “parches” sobre la piel(54). La técnica se usa también para infundir fármacos en enfermedades que afectan la RV microcirculatoria cutánea (por ejemplo, esclerosis sistémica), (figura 4, D). 

La Iontoforesis con Ach resulta en un pico VD temprano (reflejo axonal; dependiente de las características de aplicación de la corriente; abolida por anestésicos), seguido de VD tardía prolongada, cuyo mecanismo es controversial, y del que no participaría el NO(2). La amplitud de la VD tardía es influenciada por el solvente, lo que debe considerarse al generar el registro “control” (infusión de solvente sin drogas). La respuesta a los VD está deteriorada en condiciones como enfermedad coronaria, apnea obstructiva del sueño, obesidad y/o diabetes. Algunos fármacos (por ejemplo, metformina) mejoran la respuesta. 

Considerando aspectos que influencian la Iontoforesis se recomienda medir con LDI (en lugar de LDF), utilizar baja intensidad de corriente (por ejemplo, <100 microA), emplear solución salina como control y vehículo, pretratar con anestésico local para limitar la RV refleja, limitar la densidad de corriente (por ejemplo, <0,01 mA/cm2) y la densidad de carga (por ejemplo, <7,8 mC/cm2), reportar la resistencia de la piel, normalizar el flux por la resistencia de la piel, y estandarizar la resistencia controlando la distancia entre los electrodos. 

11) Capilaroscopía o videocapilaroscopía (VCC) ungueal estructural y funcional 

La VCC consiste en la observación directa de capilares cutáneos mediante microscopio con sistema de epi-iluminación y transmisión de imágenes a videocámara/PC. El sitio de piel más estudiado es el lecho ungueal (periungueal); allí, los capilares se disponen paralelos a la superficie cutánea facilitando la visualización de los eritrocitos circulantes (no de las paredes vasculares). El patrón normal, consistente en distribución homogénea de loops capilares paralelos (6-15 mm de diámetro) se altera en diversas patologías (por ejemplo, esclerosis sistémica), en las que hay anormalidades morfológicas (por ejemplo, loops dilatados, baja densidad capilar). Si bien estos (y otros) cambios morfológicos son los clásicamente empleados para el diagnóstico mediante VCC, se han comenzado a desarrollar estudios funcionales. 

Al respecto, la VCC permite medir la densidad y el reclutamiento capilar ante un test de HROA (cuff digital)(53). El reclutamiento relativo (%) capilar puede valorarse relacionando (a) el aumento en densidad capilar (número de capilares perfundidos con eritrocitos/mm2) inducida por el test de HROA (densidad máxima en HR en función de la densidad basal), con (b) el nivel máximo de reclutamiento existente al generar una maniobra de obstrucción venosa transitoria (por ejemplo, cuff digital inflado 60 segundos a 60 mmHg). El porcentaje de capilares perfundidos representa la proporción de capilares que se encuentran funcionalmente activos y el grado de reclutamiento informa de la capacidad microcirculatoria para reaccionar. El reclutamiento basal y/o el máximo reclutamiento durante HROA se reduce (altera) en diversas condiciones (por ejemplo, hipertensión arterial, diabetes), a la vez que puede mejorar con tratamiento farmacológico. Actualmente esta técnica está siendo optimizada mediante mejoras en los sistemas de obtención de imágenes. 


Valores de referencia y/o normalidad

 

Se han publicado tablas internacionales con niveles de normalidad/referencia para VMF(25,57). Para las restantes técnicas no se han reportado valores consensuados internacionalmente, pero sí propios de países o laboratorios específicos, o de empresas comercializadoras de los sistemas de medición. En nuestro país existen niveles de referencia de parámetros de FE y/o RV generados en el centro CUiiDARTE.

 

 

Bibliografía

 

1.    Furchgott R, Zawadzki J. The obligatory role of endothelial cells in the relaxation of arterial smooth muscle by acetylcholine. Nature 1980; 288: 373-6.  

2.    Cracowski J, Minson C, Salvat-Melis M, Halliwill J. Methodological issues in the assessment of skin microvascular endothelial function in humans. Trends Pharmacol Sci 2006;27:503-8.  

3.    Deanfield J, Halcox J, Rabelink T. Endothelial function and dysfunction: testing and clinical relevance. Circulation 2007;115:1285-95.  

4.    Thijssen D, Black M, Pyke K, Padilla J, Atkinson G, Harris R, et al. Assessment of flow-mediated dilation in humans: a methodological and physiological guideline. Am J Physiol Heart Circ Physiol 2011;300(1):H2-12.  

5.    Xu Y, Arora RC, Hiebert BM, Lerner B, Szwajcer A, McDonald K, Rigatto C, Komenda P, Sood MM, Tangri N. Non-invasive endothelial function testing and the risk of adverse outcomes: a systematic review and meta-analysis. Eur Heart J Cardiovasc Imaging. 2014;15(7):736-46.  

6.    Ras RT, Streppel MT, Draijer R, Zock PL. Flow-mediated dilation and cardiovascular risk prediction: a systematic review with meta-analysis. Int J Cardiol 2013;168:344-51.  

7.    Nichols WW, O’Rourke MF, eds. McDonald’s Blood Flow in Arteries: Theoretical, Experimental and Clinical Principles. 5th Edn. London, Hodder Arnold, 2005. 

8.    Mudau M, Genis A, Lochner A, Strijdom H. Endothelial dysfunction: the early predictor of atherosclerosis. Cardiovasc J Afr. 2012;23(4):222-31.  

9.    Mordi I, Tzemos N. Is reversal of endothelial dysfunction still an attractive target in modern cardiology? World J Cardiol. 2014 Aug 26;6(8):824-35.  

10.    Radenkoviæ M, Stojanoviæ M, Potpara T, Prostran M. Therapeutic approach in the improvement of endothelial dysfunction: the current state of the art. Biomed Res Int. 2013;2013:252158.  

11.    Modena M, Bonetti L, Coppi F, Bursi F, Rossi R. Prognostic role of reversible endothelial dysfunction in hypertensive postmenopausal women. J Am Coll Cardiol 2002;40:505-10.  

12.    Takishima I, Nakamura T, Hirano M, Kitta Y, Kobayashi T, Fujioka D, et al. Predictive value of serial assessment of endothelial function in chronic heart failure. Int J Cardiol 2012;158:417-22.  

13.    Van Hoydonck P, Schouten E, Temme E. Reproducibility of blood markers of oxidative status and endothelial function in healthy individuals. Clin Chem 2003;49(6 Pt 1):963–5. 

14.    Lekakis J, Abraham P, Balbarini A, Blann A, Boulanger CM, Cockcroft J, et al. Methods for evaluating endothelial function: a position statement from the European Society of Cardiology Working Group on Peripheral Circulation. Eur J Cardiovasc Prev Rehabil. 2011;18(6):775-89.  

15.    Naghavi M. Asymptomatic Atherosclerosis. Pathophysiology, Detection and Treatment. Humana Press Editorial, U.S.A. 2011.  

16.    Arrebola-Moreno AL, Laclaustra M, Kaski JC. Noninvasive assessment of endothelial function in clinical practice. Rev Esp Cardiol (Engl Ed) 2012;65(1):80-90.  

17.    Holowatz L, Santhanam L, Webb A, Berkowitz D, Kenney W. Oral atorvastatin therapy restores cutaneous microvascular function by decreasing arginase activity in hypercholesterolaemic humans. J Physiol. 2011;589(Pt 8):2093-103.  

18.    IJzerman RG, de Jongh RT, Beijk MA, van Weissenbruch MM, Delemarre-van de Waal HA, Serné EH, Stehouwer CD. Individuals at increased coronary heart disease risk are characterized by an impaired microvascular function in skin. Eur J Clin Invest. 2003;33(7):536-42.  

19.    Yamamoto-Suganuma R, Aso Y. Relationship between post-occlusive forearm skin reactive hyperaemia and vascular disease in patients with Type 2 diabetes– a novel index for detecting micro and macrovascular dysfunction using laser Doppler flowmetry. Diabet Med. 2009;26(1):83-8. 

20.    Dhindsa M, Sommerlad S, DeVan A, Barnes J, Sugawara J, Ley O, et al. Interrelationships among noninvasive measures of postischemic macro and microvascular reactivity. J Appl Physiol 2008; 105:427-32.  

21.    Celermajer D, Sorensen K, Gooch V, Spiegelhalter D, Miller O, Sullivan I, et al. Non-invasive detection of endothelial dysfunction in children and adults at risk of atherosclerosis. Lancet. 1992;340: 1111-5.  

22.    Hamburg N, Benjamin E. Assessment of endothelial function using digital pulse amplitude tonometry. Trends Cardiovasc Med. 2009;19(1):6-11.  

23.    Huang A, Silver A, Shvenke E, Schopfer D, Jahangir E, Titas M, et al. Predictive value of reactive hyperemia for cardiovascular events in patients with peripheral arterial disease undergoing vascular surgery. Arterioscler Thromb Vasc Biol. 2007;27(10):2113-9.  

24.    Higashi Y, Sasaki S, Nakagawa K, Matsuura H, Kajiyama G, Oshima T. Effect of the angiotensin-converting enzyme inhibitor imidapril on reactive hyperemia in patients with essential hypertension: relationship between treatment periods and resistance artery endothelial function. J Am Coll Cardiol 2001;37(3):863-70.  

25.    Charakida M, Masi S, Luscher T, Kastelein J, Deanfield J. Assessment of atherosclerosis: the role of flow-mediated dilatation. Eur Heart J. 2010; 31:2854-61.  

26.    Tousoulis D, Antoniades C, Stefanadis C. Evaluating endothelial function in humans: a guide to invasive and non-invasive techniques. Heart. 2005;91(4):553-8.  

27.    Thijssen DH, Dawson EA, van den Munckhof I, Birk GK, Timothy Cable N, Green DJ. Response to: ‘Reshape of the arterial wall as a slow reacting vascular structure’. Atherosclerosis. 2014;233(1): 1-2. 

28.    Corretti M, Anderson T, Benjamin E, Celermajer D, Charbonneau F, Creager M, et al. Guidelines for the ultrasound assessment of endothelial-dependent flow-mediated vasodilation of the brachial artery: a report of the International Brachial Artery Reactivity Task Force. J Am Coll Cardiol 2002;39: 257-65.  

29.    Donald A, Halcox J, Charakida M, Storry C, Wallace S, Cole TJ, et al. Methodological approaches to optimize reproducibility and power in clinical studies of flow-mediated dilation. J Am Coll Cardiol 2008; 51:1959-64.  

30.    Mitchell G, Parise H, Vita J, Larson M, Warner E, Keaney J, et al. Local shear stress and brachial artery flow-mediated dilation: the Framingham Heart Study. Hypertension. 2004;44(2):134-9.  

31.    Stoner L, Tarrant MA, Fryer S, Faulkner J. How should flow-mediated dilation be normalized to its stimulus? Clin Physiol Funct Imaging. 2013; 33(1):75-8.  

32.    Harrison M, Parkhurst K, Tarumi T, Lin HF, Tanaka H. Low flow-mediated constriction: prevalence, impact and physiological determinant. Clin Physiol Funct Imaging. 2011;31(5):394-8.  

33.    Atkinson G, Batterham AM. Allometric scaling of diameter change in the original flow-mediated dilation protocol. Atherosclerosis 2013;226:425-7.  

34.    Atkinson G, Batterham A. The percentage flow-mediated dilation index: a large-sample investigation of its appropriateness, potential for bias and causal nexus in vascular medicine. Vasc Med 2013;18(6):354-65.  

35.    Stoner L, McCully KK. Velocity acceleration as a determinant of flow-mediated dilation. Ultrasound Med Biol. 2012;38(4):580-92.  

36.    Gori T, Dragoni S, Lisi M, Di Stolfo G, Sonnati S, Fineschi M, et al. Conduit artery constriction mediated by low flow a novel noninvasive method for the assessment of vascular function. J Am Coll Cardiol. 2008; 51(20):1953-8.  

37.    Humphreys R, Green D, Cable N, Thijssen D, Dawson E. Low-flow mediated constriction: the yin to FMD’s yang? Expert Rev Cardiovasc Ther. 2014;12(5):557-64. 

38.    Wilkinson I, Webb D. Venous occlusion plethysmography in cardiovascular research: methodology and clinical applications. Br J Clin Pharmacol. 2001; 52(6): 631-46.  

39.    Chowienczyk P, Kelly R, MacCallum H, Millasseau S, Andersson T, Gosling R, et al. Photoplethysmographic assessment of pulse wave reflection: blunted response to endothelium-dependent beta2-adrenergic vasodilation in type II diabetes mellitus. J Am Coll Cardiol 1999;34(7):2007-14.  

40.    Hayward C, Kraidly M, Webb C, Collins P. Assessment of endothelial function using peripheral waveform analysis: a clinical application. J Am Coll Cardiol 2002;40:521-8.  

41.    Wilkinson I, Hall I, MacCallum H, Mackenzie I, McEniery C, van der Arend B, et al. Pulse-wave analysis: clinical evaluation of a noninvasive, widely applicable method for assessing endothelial function. Arterioscler Thromb Vasc Biol. 2002;22(1):147-52.  

42.    Zócalo Y, Bia D. Presión aórtica central y parámetros clínicos derivados de la onda del pulso: evaluación no invasiva en la práctica clínica Importancia clínica y análisis de las bases metodológicas de los equipos disponibles para su evaluación. Rev Urug Cardiol 2014;29:215-30.  

43.    Torrado J, Bia D, Zócalo Y, Farro I, Farro F, Armentano R. Hyperemia-Related changes in arterial stiffness: comparison between pulse wave velocity and stiffness index in the vascular reactivity assessment. Int J Vasc Med. 2012;490742.  

44.    Millasseau S, Ritter J, Takazawa K, Chowienczyk P. Contour analysis of the photoplethysmographic pulse measured at the finger. J Hypertens. 2006;24:1449-56.  

45.    Bia D, Zócalo Y. Rigidez arterial: evaluación no invasiva en la práctica clínica. Rev Urug Cardiol 2014, 29(1): 39-59.  

46.    Rusak EJ, Bellido C, Iavicoli O, Vazquez S, Duarte M, Lerman J. Assessment of endothelial function by means of flow-mediated changes using pulse wave velocity. J Clin Hypertens. 2010;12(7): 495-501.  

47.    Naka K, Tweddel A, Doshi S, Goodfellow J, Henderson A. Flow-mediated changes in pulse wave velocity: a new clinical measure of endothelial function. Eur Heart J. 2006;27(3):302-9.  

48.    Lee V, Martin B, Fung M, Anderson T. The optimal measure of microvascular function with velocity time integral for cardiovascular risk prediction. Vasc Med. 2012;17(5):287-93.  

49.    Järhult S, Hall J, Lind L. Hyperaemic blood-flow velocities in systole and diastole relate to coronary risk in divergent ways. Clin Physiol Funct Imaging. 2008;28(3):189-95.  

50.    Hamburg N, Keyes M, Larson M, Vasan R, Schnabel R, Pryde M, et al. Cross-sectional relations of digital vascular function to cardiovascular risk factors in the Framingham Heart Study. Circulation. 2008;117:2467-74.  

51.    Gul K, Ahmadi N, Wang Z, Jamieson C, Nasir K, Metcalfe R, et al. Digital thermal monitoring of vascular function: a novel tool to improve cardiovascular risk assessment. Vasc Med 2009; 14:143-8.  

52.    Charkoudian N. Skin blood flow in adult human thermoregulation: how it works, when it does not, and why. Mayo Clin Proc 78: 603–612, 2003. 

53.    Roustit M, Cracowski J. Assessment of endothelial and neurovascular function in human skin microcirculation. Trends Pharmacol Sci. 2013;34(7): 373-84.  

54.    Roustit M, Cracowski J. Non-invasive assessment of skin microvascular function in humans: an insight into methods. Microcirculation. 2012;19(1):47-64.  

55.    Briers JD. Laser Doppler, speckle and related techniques for blood perfusion mapping and imaging. Physiol. Meas. 2001;22:R35-R66.  

56.    Cracowski J, Roustit M. Reproducibility of LDF blood flow measurements: dynamical characterization versus averaging. A response to the letter from Stefanovska. Microvasc Res. 2012;83(2):97.  

57.    Skaug E, Aspenes S, Oldervoll L, Mørkedal B, Vatten L, Wisløff U, et al. Age and gender differences of endothelial function in 4739 healthy adults: the HUNT3 Fitness Study. Eur J Prev Cardiol 2013;20(4):531-40.

Creative Commons License Todo el contenido de esta revista, excepto dónde está identificado, está bajo una Licencia Creative Commons